医療用医薬品 詳細表示

オラスポア小児用ドライシロップ10%

処方せん医薬品

添付文書番号
企業コード
作成又は改訂年月
日本標準商品分類番号
薬効分類名
承認等
一般的名称
2.禁忌(次の患者には投与しないこと)
3.組成・性状
3.1組成
3.2製剤の性状
4.効能又は効果
5.効能又は効果に関連する注意
6.用法及び用量
8.重要な基本的注意
9.特定の背景を有する患者に関する注意
9.1合併症・既往歴等のある患者
9.2腎機能障害患者
9.5妊婦
9.6授乳婦
9.8高齢者
11.副作用
11.1重大な副作用
11.2その他の副作用
12.臨床検査結果に及ぼす影響
14.適用上の注意
16.薬物動態
16.1血中濃度
16.3分布
16.4代謝
16.5排泄
16.6特定の背景を有する患者
17.臨床成績
17.1有効性及び安全性に関する試験
18.薬効薬理
18.1作用機序
18.2抗菌作用
19.有効成分に関する理化学的知見
20.取扱い上の注意
22.包装
23.主要文献
24.文献請求先及び問い合わせ先
26.製造販売業者等

オラスポア小児用ドライシロップ10%

添付文書番号

6132006R1093_1_09

企業コード

530258

作成又は改訂年月

2021年9月改訂(第1版)

日本標準商品分類番号

876132

薬効分類名

経口用セフェム系抗生物質製剤

承認等

オラスポア小児用ドライシロップ10%

販売名コード

YJコード

6132006R1093

販売名英語表記

ORASPOR Dry Syrup 10% for pediatric

販売名ひらがな

おらすぽあしょうにようどらいしろっぷ10%

承認番号等

承認番号

21900AMX01213

販売開始年月

1984年3月

貯法・有効期間

貯法

室温保存

有効期間

2年

基準名

日本薬局方

シロップ用セフロキサジン

一般的名称

シロップ用セフロキサジン

2. 禁忌(次の患者には投与しないこと)

本剤の成分に対し過敏症の既往歴のある患者

3. 組成・性状

3.1 組成

オラスポア小児用ドライシロップ10%

有効成分1g中セフロキサジン水和物(日局)   100mg(力価)
添加剤白糖、カルメロースナトリウム、結晶セルロース、フマル酸一ナトリウム、黄色5号、安息香酸ベンジル、プロピレングリコール、アラビアゴム、ゼラチン、デキストリン

3.2 製剤の性状

オラスポア小児用ドライシロップ10%

色・剤形等だいだい色の微細な粒子を含む粉末で、芳香を有す。

4. 効能又は効果

  • 〈適応菌種〉

    本剤に感性のブドウ球菌属、レンサ球菌属、肺炎球菌、大腸菌、クレブシエラ属、プロテウス・ミラビリス、インフルエンザ菌

  • 〈適応症〉

    表在性皮膚感染症、深在性皮膚感染症、咽頭・喉頭炎、扁桃炎、急性気管支炎、慢性呼吸器病変の二次感染、膀胱炎、腎盂腎炎、麦粒腫、中耳炎、猩紅熱

5. 効能又は効果に関連する注意

  • 〈咽頭・喉頭炎、扁桃炎、急性気管支炎、中耳炎〉

    「抗微生物薬適正使用の手引き」を参照し、抗菌薬投与の必要性を判断した上で、本剤の投与が適切と判断される場合に投与すること1)

6. 用法及び用量

通常、幼小児には体重kg当りセフロキサジン水和物として1日30mg(力価)を3回に分割し、用時懸濁して経口投与する。
なお、症状に応じて適宜増減する。

8. 重要な基本的注意

  1. 8.1 ショックがあらわれるおそれがあるので、十分な問診を行うこと。
  2. 8.2 本剤の使用にあたっては、耐性菌の発現等を防ぐため、原則として感受性を確認し、疾病の治療上必要な最小限の期間の投与にとどめること。

9. 特定の背景を有する患者に関する注意

9.1 合併症・既往歴等のある患者

  1. 9.1.1 セフェム系抗生物質に対し過敏症の既往歴のある患者(ただし、本剤に対し過敏症の既往歴のある患者には投与しないこと)
  2. 9.1.2 ペニシリン系抗生物質に対し過敏症の既往歴のある患者

    類似の化学構造を有しており、交差過敏反応を起こすおそれがある。

  3. 9.1.3 本人又は両親、兄弟に気管支喘息、発疹、蕁麻疹等のアレルギー症状を起こしやすい体質を有する患者
  4. 9.1.4 経口摂取の不良な患者又は非経口栄養の患者、全身状態の悪い患者

    ビタミンK欠乏症状があらわれることがある。

9.2 腎機能障害患者

  1. 9.2.1 高度の腎障害のある患者

    腎障害の程度に応じて用量並びに投与間隔を適宜調節するなど、慎重に投与すること。血中濃度の上昇が認められる。

9.5 妊婦

妊婦又は妊娠している可能性のある女性には、治療上の有益性が危険性を上回ると判断される場合にのみ投与すること。

9.6 授乳婦

治療上の有益性及び母乳栄養の有益性を考慮し、授乳の継続又は中止を検討すること。

9.8 高齢者

次の点に注意し、用量並びに投与間隔に留意するなど患者の状態を観察しながら慎重に投与すること。

  1. 9.8.1 生理機能が低下していることが多く副作用が発現しやすい。
  2. 9.8.2 ビタミンK欠乏による出血傾向があらわれることがある。

11. 副作用

次の副作用があらわれることがあるので、観察を十分に行い、異常が認められた場合には投与を中止するなど適切な処置を行うこと。

11.1 重大な副作用

  1. 11.1.1 ショック(頻度不明)

    初期症状:不快感、口内異常感、喘鳴、眩暈、便意、耳鳴、発汗等

  2. 11.1.2 血便を伴う重篤な大腸炎(偽膜性大腸炎等)(頻度不明)

    症状:腹痛、頻回の下痢等

  3. 11.1.3 間質性肺炎、PIE症候群(いずれも頻度不明)

    症状・検査所見:発熱、咳嗽、呼吸困難、胸部X線異常、好酸球増多等
    処置:副腎皮質ホルモン剤の投与等

  4. 11.1.4 中毒性表皮壊死融解症(Toxic Epidermal Necrolysis:TEN)、皮膚粘膜眼症候群(Stevens-Johnson症候群)(いずれも頻度不明)
  5. 11.1.5 急性腎障害等の重篤な腎障害(頻度不明)
  6. 11.1.6 溶血性貧血(頻度不明)

11.2 その他の副作用

0.1~5%未満

0.1%未満

頻度不明

過敏症

発疹

蕁麻疹、発熱

紅斑、そう痒、リンパ腺腫脹、関節痛

血 液

好酸球増多

顆粒球減少

貧血

肝 臓

AST、ALT上昇

Al-P上昇

-

消化器

下痢

悪心、嘔吐、腹痛、食欲不振

便秘、胃部不快感

菌交代症

-

-

口内炎、カンジダ症

ビタミン欠乏症

-

-

ビタミンK欠乏症状(低プロトロンビン血症、出血傾向等)、ビタミンB群欠乏症状(舌炎、口内炎、食欲不振、神経炎等)

その他

-

顔面浮腫感、頭痛

舌炎、めまい

12. 臨床検査結果に及ぼす影響

  1. 12.1 テステープ反応を除くベネディクト試薬、フェーリング試薬による尿糖検査では、偽陽性を呈することがあるので注意すること。
  2. 12.2 直接クームス試験陽性を呈することがあるので注意すること。

14. 適用上の注意

14.1 薬剤調製時の注意

  1. 14.1.1 懸濁液に調製後やむを得ず保存を必要とする場合は、冷所に保存し、7日以内に使用すること。
  2. 14.1.2 他剤配合時の注意

    他剤との配合はできるだけ避けることが望ましいが、やむを得ず配合した場合には、冷所に保存し7日以内に使用すること。特に下記の品目と配合した場合には5日以内に使用すること。

    • S・M配合散、ビオフェルミン配合散、ポララミンシロップ0.04%
  • またアスピリンと配合し、液剤とした場合には、冷所に保存し、3日以内に使用すること。

14.2 薬剤投与時の注意

使用時、十分に振り混ぜること。

16. 薬物動態

16.1 血中濃度

肝・腎機能正常患児に10mg/kg又は20mg/kgを食前30分に1回経口投与後の血中濃度は図1のとおりで、用量依存性を示す2)

図1 血中濃度

16.3 分布

成人にカプセル剤注)を投与した場合、喀痰、扁桃組織、涙液、耳漏等への移行が認められている3),4),5),6),7),8),9),10),11)

16.4 代謝

尿中には抗菌活性代謝物は認められていない12)

16.5 排泄

主として腎より未変化体として排泄され、小児に10mg/kg又は20mg/kgを食後1時間に1回経口投与後、6時間までの尿中排泄率は88.3~94.3%である13)

16.6 特定の背景を有する患者

  1. 16.6.1 腎機能障害患者

    腎機能障害患者(成人)に1回500mg(カプセル剤注))を経口投与して得られた血中濃度は図2のとおりであり、腎機能の低下に伴い、血中濃度の上昇、半減期の延長及び尿中排泄率の低下が認められている14)

    図2 腎機能障害度と血中濃度

注)本剤の承認された剤型は「ドライシロップ」である。

17. 臨床成績

17.1 有効性及び安全性に関する試験

一般臨床試験974例の疾患別臨床効果は下表のとおりである。1日投与量は30mg/kgを中心に分布し、投与期間は7日以内が多くを占める。

疾患別臨床効果

疾 患 名

有効率(%)
(著効+有効/症例数)

皮膚科領域
感染症

表在性皮膚
感染症

毛のう炎

100 ( 7/ 7)

膿痂疹

90.2(185/205)

深在性皮膚
感染症

せつ

80.0( 28/ 35)

蜂窩織炎

50.0( 1/ 2)

呼吸器
感染症

咽頭・喉頭炎

93.3( 98/105)

扁桃炎

93.8(195/208)

急性気管支炎、
慢性呼吸器病変の二次感染

91.2( 62/ 68)

尿路感染症

膀胱炎

95.8( 46/ 48)

腎盂腎炎

97.4( 75/ 77)

眼科領域
感染症

麦粒腫

88.9( 8/ 9)

耳鼻科領域
感染症

中耳炎

76.9( 93/121)

猩紅熱

97.8( 87/ 89)

合 計

90.9(885/974)

18. 薬効薬理

18.1 作用機序

本剤は強い殺菌作用を持ち、殺菌・溶菌のメカニズムにはペニシリン結合蛋白画分の1A及び1Bsに対する強い親和性が関与していると考えられている(in vitro15)

18.2 抗菌作用

ブドウ球菌属等のグラム陽性菌及び大腸菌、クレブシエラ属、インフルエンザ菌等のグラム陰性菌に対して幅広い抗菌スペクトルを有している(in vitro16)。黄色ブドウ球菌、大腸菌、肺炎桿菌を感染菌としたマウス実験的感染症において、セファレキシンより数倍優れた治療効果を示し17),18)、その作用は殺菌的である。セファレキシンより優れた増殖阻止効果が認められている(in vitro19)

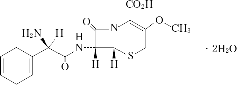
19. 有効成分に関する理化学的知見

一般的名称

セフロキサジン水和物(Cefroxadine Hydrate)

化学名

(6R, 7R)-7-[(2R)-2-Amino-2-cyclohexa-1, 4-dienylacetylamino]-3-methoxy-8-oxo-5-thia-1-azabicyclo[4.2.0]oct-2-ene-2-carboxylic acid dihydrate

分子式

C16H19N3O5S・2H2O

分子量

401.43

性状

微黄白色~淡黄色の結晶性の粒又は粉末である。
ギ酸に極めて溶けやすく、水又はメタノールに溶けにくく、エタノール(95)に極めて溶けにくい。
0.001mol/L塩酸試液又は希酢酸に溶ける。

化学構造式

略号

CXD

力価

力価はセフロキサジン(C16H19N3O5S)としての量を質量(力価)で示す。
セフロキサジン標準品(C16H19N3O5S・2H2O)の1.099mgが1mg(力価)に対応する。

20. 取扱い上の注意

  1. 20.1 使用期限内であっても、開封後はなるべく速やかに使用すること。

22. 包装

100g[プラスチック瓶、乾燥剤入り]
1g×120[3包×40]

24. 文献請求先及び問い合わせ先

アルフレッサ ファーマ株式会社 製品情報部

〒540-8575 大阪市中央区石町二丁目2番9号

TEL 06-6941-0306 FAX 06-6943-8212

26. 製造販売業者等

26.1 製造販売元

アルフレッサ ファーマ株式会社

大阪市中央区石町二丁目2番9号

〒100-0013 東京都千代田区霞が関3-3-2 新霞が関ビル

画面を閉じる

Copyright © Pharmaceuticals and Medical Devices Agency, All Rights reserved.