医療用医薬品 詳細表示

プロスコープ300注シリンジ50mL/プロスコープ300注シリンジ80mL/プロスコープ300注シリンジ100mL/プロスコープ370注シリンジ50mL/プロスコープ370注シリンジ80mL/プロスコープ370注シリンジ100mL

処方せん医薬品

添付文書番号
企業コード
作成又は改訂年月
日本標準商品分類番号
薬効分類名
承認等
一般的名称
1.警告
2.禁忌(次の患者には投与しないこと)
3.組成・性状
3.1組成
3.2製剤の性状
4.効能又は効果
6.用法及び用量
8.重要な基本的注意
9.特定の背景を有する患者に関する注意
9.1合併症・既往歴等のある患者
9.2腎機能障害患者
9.3肝機能障害患者
9.5妊婦
9.6授乳婦
9.7小児等
9.8高齢者
10.相互作用
10.2併用注意(併用に注意すること)
11.副作用
11.1重大な副作用
11.2その他の副作用
12.臨床検査結果に及ぼす影響
14.適用上の注意
16.薬物動態
16.1血中濃度
16.5排泄
17.臨床成績
17.1有効性及び安全性に関する試験
18.薬効薬理
18.1測定法
19.有効成分に関する理化学的知見
20.取扱い上の注意
22.包装
23.主要文献
24.文献請求先及び問い合わせ先
26.製造販売業者等

プロスコープ300注シリンジ50mL/プロスコープ300注シリンジ80mL/プロスコープ300注シリンジ100mL/プロスコープ370注シリンジ50mL/プロスコープ370注シリンジ80mL/プロスコープ370注シリンジ100mL

添付文書番号

7219418G1037_2_08

企業コード

530258

作成又は改訂年月

2024年2月改訂(第1版)

日本標準商品分類番号

877219

薬効分類名

非イオン性尿路・血管造影剤

承認等

プロスコープ300注シリンジ50mL

販売名コード

YJコード

7219418G2025

販売名英語表記

PROSCOPE Injection 300 Syringes 50mL

販売名ひらがな

ぷろすこーぷ300ちゅうしりんじ50mL

承認番号等

承認番号

21900AMX00430

販売開始年月

2007年10月

貯法・有効期間

貯法

室温保存

有効期間

3年

プロスコープ300注シリンジ80mL

販売名コード

YJコード

7219418G3021

販売名英語表記

PROSCOPE Injection 300 Syringes 80mL

販売名ひらがな

ぷろすこーぷ300ちゅうしりんじ80mL

承認番号等

承認番号

21900AMX00431

販売開始年月

2007年10月

貯法・有効期間

貯法

室温保存

有効期間

3年

プロスコープ300注シリンジ100mL

販売名コード

YJコード

7219418G1037

販売名英語表記

PROSCOPE Injection 300 Syringes 100mL

販売名ひらがな

ぷろすこーぷ300ちゅうしりんじ100mL

承認番号等

承認番号

21900AMX00240

販売開始年月

1999年8月

貯法・有効期間

貯法

室温保存

有効期間

3年

プロスコープ370注シリンジ50mL

販売名コード

YJコード

7219418G4036

販売名英語表記

PROSCOPE Injection 370 Syringes 50mL

販売名ひらがな

ぷろすこーぷ370ちゅうしりんじ50mL

承認番号等

承認番号

21900AMX00432

販売開始年月

2012年8月

貯法・有効期間

貯法

室温保存

有効期間

3年

プロスコープ370注シリンジ80mL

販売名コード

YJコード

7219418G5032

販売名英語表記

PROSCOPE Injection 370 Syringes 80mL

販売名ひらがな

ぷろすこーぷ370ちゅうしりんじ80mL

承認番号等

承認番号

21900AMX00433

販売開始年月

2012年8月

貯法・有効期間

貯法

室温保存

有効期間

3年

プロスコープ370注シリンジ100mL

販売名コード

YJコード

7219418G6039

販売名英語表記

PROSCOPE Injection 370 Syringes 100mL

販売名ひらがな

ぷろすこーぷ370ちゅうしりんじ100mL

承認番号等

承認番号

21900AMX00406

販売開始年月

2012年8月

貯法・有効期間

貯法

室温保存

有効期間

3年

一般的名称

イオプロミド

1. 警告

  1. 1.1 ショック等の重篤な副作用があらわれることがある。,,,,,,,,
  2. 1.2 本剤は尿路・血管用造影剤であり、特に高濃度製剤(370mgI/mL)については脳・脊髄腔内に投与すると重篤な副作用が発現するおそれがあるので、脳槽・脊髄造影には使用しないこと。

2. 禁忌(次の患者には投与しないこと)

  1. 2.1 ヨード又はヨード造影剤に過敏症の既往歴のある患者
  2. 2.2 重篤な甲状腺疾患のある患者[ヨード過剰に対する自己調節メカニズムが機能できず、症状が悪化するおそれがある。]

3. 組成・性状

3.1 組成

プロスコープ300注シリンジ50mL

有効成分イオプロミド   1シリンジ中623.4mg/mL
ヨード含有量   1シリンジ中300mg/mL
(1シリンジ中のヨード含有量   15g )
添加剤トロメタモール   121mg/シリンジ
エデト酸Ca/Na水和物   5mg/シリンジ
希塩酸   適量
水酸化ナトリウム   適量

プロスコープ300注シリンジ80mL

有効成分イオプロミド   1シリンジ中623.4mg/mL
ヨード含有量   1シリンジ中300mg/mL
(1シリンジ中のヨード含有量   24g )
添加剤トロメタモール   193.6mg/シリンジ
エデト酸Ca/Na水和物   8mg/シリンジ
希塩酸   適量
水酸化ナトリウム   適量

プロスコープ300注シリンジ100mL

有効成分イオプロミド   1シリンジ中623.4mg/mL
ヨード含有量   1シリンジ中300mg/mL
(1シリンジ中のヨード含有量   30g )
添加剤トロメタモール   242mg/シリンジ
エデト酸Ca/Na水和物   10mg/シリンジ
希塩酸   適量
水酸化ナトリウム   適量

プロスコープ370注シリンジ50mL

有効成分イオプロミド   1シリンジ中768.9mg/mL
ヨード含有量   1シリンジ中370mg/mL
(1シリンジ中のヨード含有量   18.5g )
添加剤トロメタモール   121mg/シリンジ
エデト酸Ca/Na水和物   5mg/シリンジ
希塩酸   適量
水酸化ナトリウム   適量

プロスコープ370注シリンジ80mL

有効成分イオプロミド   1シリンジ中768.9mg/mL
ヨード含有量   1シリンジ中370mg/mL
(1シリンジ中のヨード含有量   29.6g )
添加剤トロメタモール   193.6mg/シリンジ
エデト酸Ca/Na水和物   8mg/シリンジ
希塩酸   適量
水酸化ナトリウム   適量

プロスコープ370注シリンジ100mL

有効成分イオプロミド   1シリンジ中768.9mg/mL
ヨード含有量   1シリンジ中370mg/mL
(1シリンジ中のヨード含有量   37g )
添加剤トロメタモール   242mg/シリンジ
エデト酸Ca/Na水和物   10mg/シリンジ
希塩酸   適量
水酸化ナトリウム   適量

3.2 製剤の性状

プロスコープ300注シリンジ50mL

pH6.3~7.8
浸透圧比2.3~2.9(生理食塩液に対する比)
性状無色~微黄色澄明の液で、わずかに粘性がある
粘稠度(37℃)4.6mPa・s

プロスコープ300注シリンジ80mL

pH6.3~7.8
浸透圧比2.3~2.9(生理食塩液に対する比)
性状無色~微黄色澄明の液で、わずかに粘性がある
粘稠度(37℃)4.6mPa・s

プロスコープ300注シリンジ100mL

pH6.3~7.8
浸透圧比2.3~2.9(生理食塩液に対する比)
性状無色~微黄色澄明の液で、わずかに粘性がある
粘稠度(37℃)4.6mPa・s

プロスコープ370注シリンジ50mL

pH6.3~7.8
浸透圧比3.3~4.3(生理食塩液に対する比)
性状無色~微黄色澄明の液で、わずかに粘性がある
粘稠度(37℃)9.5mPa・s

プロスコープ370注シリンジ80mL

pH6.3~7.8
浸透圧比3.3~4.3(生理食塩液に対する比)
性状無色~微黄色澄明の液で、わずかに粘性がある
粘稠度(37℃)9.5mPa・s

プロスコープ370注シリンジ100mL

pH6.3~7.8
浸透圧比3.3~4.3(生理食塩液に対する比)
性状無色~微黄色澄明の液で、わずかに粘性がある
粘稠度(37℃)9.5mPa・s

4. 効能又は効果

  • 〈プロスコープ300注シリンジ〉

    脳血管撮影、胸部血管撮影、腹部血管撮影、四肢血管撮影、ディジタルX線撮影法による静脈性血管撮影、ディジタルX線撮影法による動脈性血管撮影、コンピューター断層撮影における造影、静脈性尿路撮影

  • 〈プロスコープ370注シリンジ〉

    血管心臓撮影、胸部血管撮影、腹部血管撮影、四肢血管撮影、ディジタルX線撮影法による静脈性血管撮影、ディジタルX線撮影法による動脈性血管撮影、コンピューター断層撮影における造影、静脈性尿路撮影

6. 用法及び用量

通常、成人1回下記量を使用する。
なお、年齢、体重、症状、目的により適宜増減するが、複数回投与する場合の総投与量は260mLまでとする。

プロスコープ300注シリンジ

プロスコープ370注シリンジ

脳血管撮影

5~15mL

血管心臓撮影

3~40mL

胸部血管撮影

5~50mL

5~50mL

腹部血管撮影

5~50mL

5~50mL

四肢血管撮影

10~50mL

10~40mL

ディジタルX線撮影法による静脈性血管撮影

20~40mL

20~40mL

ディジタルX線撮影法による動脈性血管撮影

3~30mL

3~30mL

コンピューター断層撮影における造影

50~100mL

50~100mL

静脈性尿路撮影

50~100mL

50~100mL

8. 重要な基本的注意

  1. 8.1 ショック等の発現に備え、十分な問診を行うこと。,,,,,
  2. 8.2 投与量と投与方法の如何にかかわらず過敏反応を示すことがある。本剤によるショック等の重篤な副作用は、ヨード過敏反応によるものとは限らず、それを確実に予知できる方法はないので、投与に際しては必ず救急処置の準備を行うこと。,,
  3. 8.3 投与にあたっては、開始時より患者の状態を観察しながら、過敏反応の発現に注意し、慎重に投与すること。また、異常が認められた場合には、直ちに投与を中止し、適切な処置を行うこと。,,
  4. 8.4 重篤な遅発性副作用(ショックを含む)等があらわれることがあるので、投与中及び投与後も、患者の状態を十分に観察すること。,,,
  5. 8.5 外来患者に使用する場合には、本剤投与開始より1時間~数日後にも遅発性副作用の発現の可能性があることを患者に説明した上で、発疹、蕁麻疹、そう痒感、丘疹、悪心、嘔気、嘔吐、頭痛、発熱等の副作用と思われる症状が発現した場合には、速やかに主治医に連絡するように指示するなど適切な対応をとること。,,,
  6. 8.6 ヨード造影剤の投与により腎機能の低下があらわれるおそれがあるので、適切な水分補給を行うこと。,,,,,,,,,
  7. 8.7 「用法及び用量」欄中の複数回投与する場合の「総投与量」は、臨床試験での使用経験に基づくものであり、安全性は確立されていないので、複数回の投与に際しては患者の状態を十分に観察すること。

9. 特定の背景を有する患者に関する注意

9.1 合併症・既往歴等のある患者

  1. 9.1.1 一般状態の極度に悪い患者

    診断上やむを得ないと判断される場合を除き、投与しないこと。

  2. 9.1.2 気管支喘息の患者

    診断上やむを得ないと判断される場合を除き、投与しないこと。類薬で副作用の発現頻度が高いとの報告がある。

  3. 9.1.3 本人又は両親、兄弟に気管支喘息、発疹、蕁麻疹等のアレルギーを起こしやすい体質を有する患者

    ,,,

  4. 9.1.4 重篤な心障害のある患者

    診断上やむを得ないと判断される場合を除き、投与しないこと。症状が悪化するおそれがある。冠動脈造影により徐脈、心室細動、心停止を起こすおそれがある。

  5. 9.1.5 マクログロブリン血症の患者

    診断上やむを得ないと判断される場合を除き、投与しないこと。類薬において、静脈性胆囊造影で血液のゲル様変化、沈殿を起こし死亡した例が報告されている。

  6. 9.1.6 多発性骨髄腫の患者

    診断上やむを得ないと判断される場合を除き、投与しないこと。特に脱水症状のある場合、腎不全(無尿等)を起こすおそれがある。,

  7. 9.1.7 テタニーのある患者

    診断上やむを得ないと判断される場合を除き、投与しないこと。血中カルシウム低下により、症状が悪化するおそれがある。

  8. 9.1.8 *褐色細胞腫又はパラガングリオーマのある患者及びその疑いのある患者

    診断上やむを得ないと判断される場合を除き、投与しないこと。やむを得ず検査を実施する場合には、静脈確保の上、フェントラミンメシル酸塩等のα遮断薬及びプロプラノロール塩酸塩等のβ遮断薬の十分な量を用意するなど、これらの発作に対処できるよう十分な準備を行い、慎重に投与すること。血圧上昇、頻脈、不整脈等の発作が起こるおそれがある。

  9. 9.1.9 薬物過敏症の既往歴のある患者

    ,,,

  10. 9.1.10 脱水症状のある患者

    急性腎障害を起こすおそれがある。,

  11. 9.1.11 高血圧症の患者

    血圧上昇等、症状が悪化するおそれがある。

  12. 9.1.12 動脈硬化のある患者

    心・循環器系に影響を及ぼすことがある。

  13. 9.1.13 糖尿病の患者

    急性腎障害を起こすおそれがある。,

  14. 9.1.14 甲状腺疾患のある患者(重篤な甲状腺疾患のある患者を除く)

    ヨード過剰に対する自己調節メカニズムが機能できず、症状が悪化するおそれがある。

  15. 9.1.15 急性膵炎の患者

    本剤投与前後にはガイドライン等を参考にして十分な輸液を行うこと。症状が悪化するおそれがある。,,

9.2 腎機能障害患者

  1. 9.2.1 重篤な腎障害のある患者

    診断上やむを得ないと判断される場合を除き、投与しないこと。本剤の主たる排泄臓器は腎臓であり、急性腎障害等の症状が悪化するおそれがある。,,

  2. 9.2.2 腎機能が低下している患者(重篤な腎障害のある患者を除く)

    腎機能が悪化するおそれがある。,,

9.3 肝機能障害患者

  1. 9.3.1 重篤な肝障害のある患者

    診断上やむを得ないと判断される場合を除き、投与しないこと。症状が悪化するおそれがある。

  2. 9.3.2 肝機能が低下している患者(重篤な肝障害のある患者を除く)

    肝機能が悪化するおそれがある。

9.5 妊婦

妊婦又は妊娠している可能性のある女性には、診断上の有益性が危険性を上回ると判断される場合にのみ投与すること。本剤投与の際にはX線照射を伴う。

9.6 授乳婦

診断上の有益性及び母乳栄養の有益性を考慮し、授乳の継続又は授乳の中止を検討すること。動物(ラット静脈内投与)で乳汁中への移行が報告されている。本剤のヒトでのデータはないが、ヨード造影剤は乳汁移行および経口吸収はわずかであるため、乳児への影響は少ないと考えられる。

9.7 小児等

小児等を対象とした有効性及び安全性を指標とした臨床試験は実施していない。

9.8 高齢者

患者の状態を観察しながら使用量を必要最小限にするなど慎重に投与すること。本剤は主として、腎臓から排泄されるが、高齢者では腎機能が低下していることが多いため、高い血中濃度が持続するおそれがある。,,

10. 相互作用

    10.2 併用注意(併用に注意すること)

    薬剤名等臨床症状・措置方法機序・危険因子

    ビグアナイド系糖尿病薬

    • メトホルミン塩酸塩
      ブホルミン塩酸塩等

    乳酸アシドーシスがあらわれることがある。
    本剤を使用する場合は、ビグアナイド系糖尿病薬の投与を一時的に中止するなど適切な処置を行う。

    ビグアナイド系糖尿病薬の腎排泄が減少し、血中濃度が上昇すると考えられる。

    11. 副作用

    次の副作用があらわれることがあるので、観察を十分に行い、異常が認められた場合には投与を中止するなど適切な処置を行うこと。

    11.1 重大な副作用

    • 〈効能共通〉
      1. 11.1.1 ショック(遅発性を含む)(頻度不明)

        ショック(遅発性を含む)により失神、意識消失、呼吸困難、呼吸停止、心停止等の症状があらわれることがある。また、軽度の過敏症状も重篤な症状に進展する場合があるので、観察を十分に行うこと。,,,,,,,,

      2. 11.1.2 アナフィラキシー(遅発性を含む)(頻度不明)

        呼吸困難、チアノーゼ、咽・喉頭浮腫、眼瞼浮腫、顔面浮腫、気管支喘息様発作等のアナフィラキシー(遅発性を含む)があらわれることがあるので、観察を十分に行い、必要に応じ適切な処置を行うこと。,,,,,,,,

      3. 11.1.3 急性腎障害(頻度不明)

        発見が遅れると慢性腎不全に移行することがあるので、観察を十分に行うこと。,,,,,

      4. 11.1.4 肺水腫(頻度不明)
      5. 11.1.5 痙攣発作(頻度不明)

        発現した場合には、バルビタール等バルビツール酸誘導体又はジアゼパム等を投与すること。

      6. 11.1.6 心室細動(頻度不明)
      7. 11.1.7 血小板減少(頻度不明)
      8. 11.1.8 肝機能障害、黄疸(いずれも頻度不明)

        AST、ALT、Al-P、LDH、γ-GTPの上昇等を伴う肝機能障害や黄疸があらわれることがある。,

      9. 11.1.9 ショックを伴わない意識障害、失神(いずれも頻度不明)

        検査終了後も意識レベル等の観察を十分に行い、必要に応じ適切な処置を行うこと。

      10. 11.1.10 麻痺、せん妄、錯乱、健忘症等の精神神経系症状(頻度不明)
      11. 11.1.11 脳血管障害(頻度不明)
      12. 11.1.12 皮膚粘膜眼症候群(Stevens-Johnson症候群)等の皮膚障害(頻度不明)
    • 〈脳血管撮影、胸部血管撮影、血管心臓撮影〉
      1. 11.1.13 造影剤脳症(頻度不明)

        本剤が脳血管外に漏出し、意識障害、麻痺、失語、皮質盲等の中枢神経症状があらわれることがあるので投与量は必要最小限とし、異常が認められた場合には適切な処置を行うこと。

    11.2 その他の副作用

    0.1~5%未満

    0.1%未満

    頻度不明

    過敏症

    蕁麻疹、発疹、そう痒感、丘疹

    膨疹、顔面紅斑、発赤、皮膚潮紅

    ──

    循環器

    血圧低下

    頻脈

    動悸、血圧上昇、不整脈

    呼吸器

    くしゃみ過多、咽・喉頭異和感

    鼻閉、嗄声

    精神神経系

    頭痛

    頭重感、ボーとした感じ、気の遠くなる感じ、ふらつき、めまい、羞明感、霧視

    一過性盲等の視力障害、振戦、しびれ感、脱力感、あくび

    消化器

    悪心、嘔吐

    胃不快感、腹痛

    ──

    内分泌系

    ──

    ──

    甲状腺機能低下症

    その他

    発熱

    心窩部不快感、苦味

    気分不良、冷感、胸内苦悶、眼の充血、味覚障害、熱感、胸部不快感、疼痛、悪寒、浮腫・腫脹、冷汗

    12. 臨床検査結果に及ぼす影響

    甲状腺機能検査等の放射性ヨードによる診断が必要な場合には、本剤の投与前に実施すること。

    14. 適用上の注意

    14.1 薬剤投与前の注意

    • 〈効能共通〉
      1. 14.1.1 内容液に明らかな着色又は結晶(白濁、沈殿物、浮遊物)が認められた場合には使用しないこと。
      2. 14.1.2 投与前に体温まで温めること。
      3. 14.1.3 投与前には極端な水分制限をしないこと。,
    • 〈静脈性尿路撮影〉
      1. 14.1.4 検査前に腸内ガスを排除し、検査終了まで絶食すること。

    14.2 薬剤投与時の注意

    1. 14.2.1 静脈内投与により、血管痛、血栓性静脈炎があらわれることがある。
    2. 14.2.2 本剤は同一濃度のイオン性造影剤に比べ、血液凝固抑制作用が弱いとのin vitro試験の報告があるので、血管撮影にあたってはカテーテル内をよくフラッシュすること。また、注入器やカテーテル内で本剤と血液とを長時間にわたって接触させることを避け、直ちに使用すること。
    3. 14.2.3 抗ヒスタミン剤又は副腎皮質ホルモン剤と混合すると析出の可能性があるので、併用する場合には別々に使用すること。
    4. 14.2.4 注入装置の洗浄が不十分な場合には、注入器内部に付着する残存液に由来する銅イオン溶出等によって、生成物を生じるおそれがあるので、使い捨て以外の器具を用いる場合には内部の汚れに注意し、洗浄、滅菌を十分に行うこと。
    5. 14.2.5 誤って血管外に造影剤が漏出した場合には、発赤、腫脹、水疱、血管痛等があらわれることがあるので、注入時に十分注意すること。
    6. 14.2.6 本剤を自動注入器にて使用する際には、注入圧力は13kg/cm2(185PSI)以下とすること。

    14.3 薬剤投与後の注意

    1. 14.3.1 投与後は造影剤の速やかな排泄を促すため、水分補給等を行うこと。,
    2. 14.3.2 1回の検査にのみ使用し、開封後の余剰の溶液は廃棄すること。

    16. 薬物動態

    16.1 血中濃度

    健康成人男子(12名)にイオプロミド注射液(370mgI/mL)50mL又は100mLを静脈内投与したところ、血漿中濃度は投与後4分(分布相)、85分(消失相)の半減期で減少し、24時間後には血漿中にヨウ素は検出されなかった1)

    16.5 排泄

    健康成人男子(12名)にイオプロミド注射液(370mgI/mL)50mL又は100mLを静脈内投与したところ、8時間後に投与量のそれぞれ98.9±5.1%、92.3±7.0%が、12時間後には投与量のそれぞれ101.5±4.2%、94.8±6.7%が尿中に排泄された1)

    17. 臨床成績

    17.1 有効性及び安全性に関する試験

    1. 17.1.1 国内臨床試験

      プロスコープ300注、370注による一般臨床試験及び比較臨床試験における総症例1,137例(造影効果が判定された症例)の造影効果の有効率は99.4%(1,130例)であった。

      造影効果が判定された症例

      有効例数/症例数

      有効率

      プロスコープ300注

      630/635

      99.2%

        〃   370注

      500/502

      99.6%

      1,130/1,137

      99.4%

      遅発性副作用:投与後1時間以上経過して発現した遅発性副作用は次表の通りであった。,,,

      総症例数:1,536 発現例数:13(0.8)  (  )内%

      副作用発現までの時間

      1~3h

      ~6h

      ~12h

      ~24h

      3day

      10day

      発現件数

      15(1.0)

      1(0.1)

      4(0.3)

      4(0.3)

      4(0.3)

      1(0.1)

      1(0.1)






      過敏症

      発 疹

      5(0.3)

      1

      3

      1

      蕁麻疹

      1(0.1)

      1

      そう痒感

      1(0.1)

      1

      丘 疹

      1(0.1)

      1

      消化器

      悪 心

      1(0.1)

      1

      嘔 気

      1(0.1)

      1

      嘔 吐

      1(0.1)

      1

      精神
      神経系

      頭 痛

      2(0.1)

      1

      1

      その他

      発 熱

      2(0.1)

      2

    18. 薬効薬理

    18.1 測定法

    本剤中のヨウ素原子のX線吸収が人体の組織よりはるかに大きいことによりX線写真上にコントラストを生じさせる。

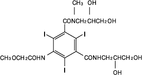
    19. 有効成分に関する理化学的知見

    一般的名称

    イオプロミド(Iopromide)

    化学名

    N, N′-bis(2, 3-dihydroxypropyl)-2, 4, 6-triiodo-5-(2-methoxyacetamido)-N-methylisophthalamide

    分子式

    C18H24I3N3O8

    分子量

    791.11

    性状

    白色の粉末である。
    水又はジメチルスルホキシドに溶けやすく、アセトン又はエタノール(99.5)に極めて溶けにくく、ジエチルエーテルにほとんど溶けない。

    化学構造式

    20. 取扱い上の注意

    外箱開封後は、遮光して保存すること。

    22. 包装

    • 〈300注シリンジ50mL〉50mL[5シリンジ]
    • 〈300注シリンジ80mL〉80mL[5シリンジ]
    • 〈300注シリンジ100mL〉100mL[5シリンジ]
    • 〈370注シリンジ50mL〉50mL[5シリンジ]
    • 〈370注シリンジ80mL〉80mL[5シリンジ]
    • 〈370注シリンジ100mL〉100mL[5シリンジ]

    24. 文献請求先及び問い合わせ先

    アルフレッサ ファーマ株式会社 製品情報部

    〒540-8575 大阪市中央区石町二丁目2番9号

    TEL 06-6941-0306 FAX 06-6943-8212

    26. 製造販売業者等

    26.1 製造販売元(輸入)

    アルフレッサ ファーマ株式会社

    大阪市中央区石町二丁目2番9号

    26.2 提携先

    Bayer

    〒100-0013 東京都千代田区霞が関3-3-2 新霞が関ビル

    画面を閉じる

    Copyright © Pharmaceuticals and Medical Devices Agency, All Rights reserved.