医療用医薬品 詳細表示

ウプトラビ錠0.2mg/ウプトラビ錠0.4mg/**ウプトラビ錠0.8mg

処方せん医薬品

添付文書番号
企業コード
作成又は改訂年月
日本標準商品分類番号
薬効分類名
承認等
一般的名称
2.禁忌(次の患者には投与しないこと)
3.組成・性状
3.1組成
3.2製剤の性状
4.効能又は効果
5.効能又は効果に関連する注意
6.用法及び用量
7.用法及び用量に関連する注意
8.重要な基本的注意
9.特定の背景を有する患者に関する注意
9.1合併症・既往歴等のある患者
9.2腎機能障害患者
9.3肝機能障害患者
9.5妊婦
9.6授乳婦
9.7小児等
9.8高齢者
10.相互作用
10.2併用注意(併用に注意すること)
11.副作用
11.1重大な副作用
11.2その他の副作用
13.過量投与
14.適用上の注意
15.その他の注意
15.2非臨床試験に基づく情報
16.薬物動態
16.1血中濃度
16.2吸収
16.3分布
16.4代謝
16.5排泄
16.6特定の背景を有する患者
16.7薬物相互作用
17.臨床成績
17.1有効性及び安全性に関する試験
18.薬効薬理
18.1作用機序
18.2肺高血圧モデルラットに対する作用
19.有効成分に関する理化学的知見
20.取扱い上の注意
21.承認条件
22.包装
23.主要文献
24.文献請求先及び問い合わせ先
26.製造販売業者等

ウプトラビ錠0.2mg/ウプトラビ錠0.4mg/**ウプトラビ錠0.8mg

添付文書番号

2190037F1020_1_13

企業コード

530263

作成又は改訂年月

**2026年2月改訂(第6版)
2024年12月改訂(第5版、用法及び用量変更)

日本標準商品分類番号

87219

薬効分類名

選択的プロスタサイクリン受容体(IP受容体)作動薬

承認等

ウプトラビ錠0.2mg

販売名コード

YJコード

2190037F1020

販売名英語表記

Uptravi Tablets

承認番号等

承認番号

22800AMX00702000

販売開始年月

2016年11月

貯法・有効期間

貯法

室温保存

有効期間

3年

ウプトラビ錠0.4mg

販売名コード

YJコード

2190037F2027

販売名英語表記

Uptravi Tablets

承認番号等

承認番号

22800AMX00703000

販売開始年月

2016年11月

貯法・有効期間

貯法

室温保存

有効期間

3年

**ウプトラビ錠0.8mg

販売名コード

YJコード

21900A6F4028

販売名英語表記

Uptravi Tablets

承認番号等

承認番号

30800AMX00069000

貯法・有効期間

貯法

室温保存

有効期間

3年

一般的名称

セレキシパグ錠

2. 禁忌(次の患者には投与しないこと)

  1. 2.1 本剤の成分に対し過敏症の既往歴のある患者
  2. 2.2 重度の肝障害患者,
  3. 2.3 肺静脈閉塞性疾患を有する肺高血圧症の患者[本剤の血管拡張作用により、肺水腫を誘発するおそれがある。]

3. 組成・性状

3.1 組成

ウプトラビ錠0.2mg

有効成分1錠中
セレキシパグ   0.2mg
添加剤黄色三二酸化鉄、カルナウバロウ、酸化チタン、ステアリン酸マグネシウム、トウモロコシデンプン、ヒドロキシプロピルセルロース、ヒプロメロース、プロピレングリコール、D-マンニトール

ウプトラビ錠0.4mg

有効成分1錠中
セレキシパグ   0.4mg
添加剤黄色三二酸化鉄、カルナウバロウ、酸化チタン、三二酸化鉄、ステアリン酸マグネシウム、トウモロコシデンプン、ヒドロキシプロピルセルロース、ヒプロメロース、プロピレングリコール、D-マンニトール

**ウプトラビ錠0.8mg

有効成分**1錠中
セレキシパグ   0.8mg
添加剤**黄色三二酸化鉄、カルナウバロウ、酸化チタン、ステアリン酸マグネシウム、トウモロコシデンプン、ヒドロキシプロピルセルロース、ヒプロメロース、プロピレングリコール、D-マンニトール

3.2 製剤の性状

ウプトラビ錠0.2mg

剤形円形のフィルムコーティング錠
色調黄色
外形表面
裏面
側面
識別コード 261
直径(mm)7.1
厚さ(mm)3.4
質量(mg)140

ウプトラビ錠0.4mg

剤形円形のフィルムコーティング錠
色調淡赤褐色
外形表面
裏面
側面
識別コード 262
直径(mm)7.1
厚さ(mm)3.4
質量(mg)140

**ウプトラビ錠0.8mg

剤形**円形のフィルムコーティング錠
色調**白色
外形表面**
裏面**
側面**
識別コード** 263
直径(mm)**7.1
厚さ(mm)**3.4
質量(mg)**140

4. 効能又は効果

  • 肺動脈性肺高血圧症
  • 外科的治療不適応又は外科的治療後に残存・再発した慢性血栓塞栓性肺高血圧症

5. 効能又は効果に関連する注意

  • 〈効能共通〉
    1. 5.1 本剤の使用にあたっては、最新の治療ガイドラインを参考に投与の要否を検討すること。
  • 〈肺動脈性肺高血圧症〉
    1. 5.2 *小児では、WHO機能分類クラスⅠ及びⅣにおける有効性及び安全性は確立していない。
    2. 5.3 *小児では、特発性又は遺伝性肺動脈性肺高血圧症及び先天性心疾患に伴う肺動脈性肺高血圧症以外の肺動脈性肺高血圧症における有効性及び安全性は確立していない。
  • 〈外科的治療不適応又は外科的治療後に残存・再発した慢性血栓塞栓性肺高血圧症〉
    1. 5.4 WHO機能分類クラスⅠ及びⅣにおける有効性及び安全性は確立していない。

6. 用法及び用量

  • *〈肺動脈性肺高血圧症〉

    通常、成人にはセレキシパグとして1回0.2mgを1日2回食後経口投与から開始する。忍容性を確認しながら、7日以上の間隔で1回量として0.2mgずつ最大耐用量まで増量して維持用量を決定する。なお、最高用量は1回1.6mgとし、いずれの用量においても、1日2回食後に経口投与する。
    通常、2歳以上の幼児又は小児には、セレキシパグとして下表の開始用量を1日2回食後に経口投与する。忍容性を確認しながら、7日以上の間隔で、下表の増量幅で最大耐用量まで増量して維持用量を決定する。なお、下表の最高用量は超えないこととし、いずれの用量においても1日2回食後に経口投与する。

    体重

    開始用量
    (1回量)

    増量幅
    (1回量)

    最高用量
    (1回量)

    9kg以上
    25kg未満

    0.1mg

    0.1mg

    0.8mg

    25kg以上
    50kg未満

    0.15mg

    0.15mg

    1.2mg

    50kg以上

    0.2mg

    0.2mg

    1.6mg

  • *〈外科的治療不適応又は外科的治療後に残存・再発した慢性血栓塞栓性肺高血圧症〉

    通常、成人にはセレキシパグとして1回0.2mgを1日2回食後経口投与から開始する。忍容性を確認しながら、7日以上の間隔で1回量として0.2mgずつ最大耐用量まで増量して維持用量を決定する。なお、最高用量は1回1.6mgとし、いずれの用量においても、1日2回食後に経口投与する。

7. 用法及び用量に関連する注意

  1. 7.1 *投与初期に頭痛、下痢等の副作用が多く報告されており、特に小児においては嘔吐も多く認められていることから、患者の状態を十分観察しながら慎重に用量の漸増を行うこと。
  2. 7.2 *忍容性に問題があり減量する場合は、成人又は体重50kg以上の小児では原則として1回0.2mgずつ漸減すること。減量後に再増量する場合は、再増量までに8日以上の間隔をあけ、忍容性を確認しながら漸増すること。
  3. 7.3 3日以上投与を中断した場合、再開時には中断前より低い用量からの投与を考慮すること。
  4. 7.4 投与を中止する場合は、症状の増悪に留意しながら投与量を漸減すること。
  5. 7.5 中等度の肝障害患者には、1日1回に減量して投与を開始し、投与間隔や増量間隔の延長、最高用量の減量を考慮すること。,
  6. 7.6 *小児用0.05mg錠と組み合わせて使用しないこと。
  7. 7.7 **,*体重50kg未満の小児に投与する場合は、維持用量に到達するまでは小児用0.05mg錠を使用すること。維持用量が0.2mg錠、0.4mg錠及び0.8mg錠を用いて調整可能な場合には、0.2mg錠、0.4mg錠及び0.8mg錠に切り替えて投与することができる。

8. 重要な基本的注意

  1. 8.1 本剤は、肺動脈性肺高血圧症又は慢性血栓塞栓性肺高血圧症の治療に十分な知識及び経験を有する医師のもとで使用すること。
  2. 8.2 本剤の投与により肺水腫の徴候がみられた場合は肺静脈閉塞性疾患の可能性を考慮すること。肺静脈閉塞性疾患が疑われた場合には、本剤の投与を中止すること。
  3. 8.3 本剤は血管拡張作用を有するため、本剤の投与に際しては、血管拡張作用により患者が有害な影響を受ける可能性がある状態(降圧剤投与中、安静時低血圧、血液量減少、重度の左室流出路閉塞、自律神経機能障害等)にあるのかを十分検討すること。
  4. 8.4 甲状腺機能異常があらわれることがあるので、本剤投与中は必要に応じて甲状腺機能検査を実施するなど観察を十分に行うこと。
  5. 8.5 意識障害等があらわれることがあるので、自動車の運転等、危険を伴う機械の操作に従事する際には注意するよう患者に十分に説明すること。

9. 特定の背景を有する患者に関する注意

9.1 合併症・既往歴等のある患者

  1. 9.1.1 低血圧の患者

    血圧を更に低下させるおそれがある。本剤は血管拡張作用を有する。

  2. 9.1.2 出血傾向並びにその素因のある患者

    出血傾向を助長するおそれがある。本剤は血小板凝集抑制作用を有する。

9.2 腎機能障害患者

  1. 9.2.1 重度の腎障害(eGFR:15~29mL/min/1.73m2)のある患者(透析中の患者を含む)

    本剤の血中濃度が上昇することが認められている。また、透析中の患者を対象とした有効性及び安全性を指標とした臨床試験は実施していない。

9.3 肝機能障害患者

  1. 9.3.1 重度の肝障害患者(Child-Pughスコア:10~15)

    投与しないこと。本剤の血中濃度が著しく上昇するおそれがある。,

  2. 9.3.2 軽度又は中等度の肝障害患者(Child-Pughスコア:5~9)

    本剤の血中濃度が上昇する。,

9.5 妊婦

妊婦又は妊娠している可能性のある女性には、治療上の有益性が危険性を上回ると判断される場合にのみ投与すること。

9.6 授乳婦

治療上の有益性及び母乳栄養の有益性を考慮し、授乳の継続又は中止を検討すること。動物試験(ラット)で乳汁中へ移行することが報告されている。

9.7 小児等

  • 〈肺動脈性肺高血圧症〉
    1. 9.7.1 *低出生体重児、新生児、乳児、2歳未満又は体重9kg未満の幼児を対象とした有効性及び安全性を指標とした臨床試験は実施していない。
  • 〈外科的治療不適応又は外科的治療後に残存・再発した慢性血栓塞栓性肺高血圧症〉
    1. 9.7.2 小児等を対象とした有効性及び安全性を指標とした臨床試験は実施していない。

9.8 高齢者

一般に、生理機能が低下していることが多い。

10. 相互作用

  • 本剤及び本剤の活性代謝物である脱メチルスルホニルアミド体(MRE-269)はCYP2C8とCYP3A4により代謝される。また、MRE-269はUGT1A3とUGT2B7によりグルクロン酸抱合される。

10.2 併用注意(併用に注意すること)

薬剤名等臨床症状・措置方法機序・危険因子

降圧作用を有する薬剤

  • カルシウム拮抗剤
  • アンジオテンシン変換酵素阻害剤
  • アンジオテンシンⅡ受容体拮抗剤
  • 利尿剤
  • プロスタグランジンE1、E2、I2誘導体製剤

過度の血圧低下が起こるおそれがある。併用薬もしくは本剤を増量する場合は血圧を十分観察すること。

相互に降圧作用を増強することが考えられる。

抗凝血剤

  • ワルファリン等

血栓溶解剤

  • ウロキナーゼ等

血小板凝集抑制作用を有する薬剤

  • アスピリン
  • チクロピジン
  • プロスタグランジンE1、E2、I2誘導体製剤
  • 非ステロイド性抗炎症剤

出血の危険性が増大するおそれがある。定期的にプロトロンビン時間等の血液検査を行うなど、患者の状態を十分に観察すること。

本剤はin vitroで血小板凝集抑制作用を有するため、相互に抗凝血作用を増強することが考えられる。

CYP2C8の阻害作用を有する薬剤

  • クロピドグレル含有製剤
  • デフェラシロクス

クロピドグレルとの併用で、本剤の活性代謝物のCmax及びAUCが増加したとの報告がある。本剤の投与中にこれらの薬剤を開始する場合には、本剤の減量を考慮すること。これらの薬剤の投与中に本剤を開始する場合には、本剤を1日1回に減量して投与を開始すること。

CYP2C8を阻害することにより、本剤の活性代謝物の代謝が抑制されると考えられる。

ロピナビル・リトナビル

本剤の血中濃度が上昇したとの報告があり、本剤の副作用が発現するおそれがある。

本剤の代謝酵素であるCYP3A4や、本剤が基質となるOATP1B1、OATP1B3及びP糖タンパクを阻害することにより、本剤の血中濃度が上昇すると考えられる。

CYP2C8の誘導作用を有する薬剤

  • リファンピシン 等

本剤の活性代謝物のAUCが低下するおそれがある。

CYP2C8を誘導することにより、本剤及び活性代謝物の代謝が促進されると考えられる。

11. 副作用

次の副作用があらわれることがあるので、観察を十分に行い、異常が認められた場合には投与を中止するなど適切な処置を行うこと。

11.1 重大な副作用

  1. 11.1.1 *低血圧

    過度の血圧低下〔低血圧(3.6%)、起立性低血圧(0.7%)等〕があらわれることがある。

  2. 11.1.2 出血

    出血〔鼻出血(1.6%)、網膜出血(0.3%)等〕があらわれることがある。

  3. 11.1.3 *甲状腺機能異常

    甲状腺機能異常〔甲状腺機能亢進症(0.7%)、甲状腺機能低下症(0.4%)等〕があらわれることがある。

11.2 その他の副作用

5%以上

0.5~5%未満

0.5%未満

頻度不明

血液

貧血

鉄欠乏性貧血、血小板数減少

ヘモグロビン減少

代謝異常

食欲減退、体液貯留

低カリウム血症、脱水

精神神経系

*頭痛(58.3%)、浮動性めまい

*失神、体位性めまい、頭部不快感、傾眠、不眠症、灼熱感、感覚鈍麻、嗜眠

*錯感覚、味覚消失、片頭痛

眼痛

羞明、霧視、眼瞼浮腫、流涙増加

回転性めまい

耳鳴

循環器

*潮紅(12.3%)

ほてり、動悸

*頻脈、心房細動、心不全、右室不全、心室性期外収縮、狭心症、心電図QT延長、紅痛症(四肢の熱感・発赤・痛みを伴う腫れ)

呼吸器

呼吸困難、鼻閉、咳嗽

低酸素症、口腔咽頭不快感

消化器

*下痢(37.9%)、悪心(27.2%)、嘔吐(15.0%)、腹痛

腹部不快感、消化不良、胃食道逆流性疾患、腹部膨満、便秘、排便回数増加、胃炎

口内乾燥、胃拡張、消化性潰瘍

肝臓

肝酵素上昇、肝機能異常

*血中ビリルビン増加、Al-P増加

皮膚

*発疹、紅斑、そう痒症

光線過敏性反応、脱毛症、多汗症

蕁麻疹、血管性浮腫

筋骨格系

*顎痛(23.6%)、筋肉痛(13.2%)、四肢痛(12.1%)、関節痛

*背部痛、顎関節症候群、頚部痛、筋痙縮、骨痛、四肢不快感、関節腫脹、筋骨格硬直

*開口障害、筋力低下、筋肉疲労、脊椎痛

腎臓

腎機能障害

頻尿

その他

*倦怠感、浮腫(末梢性浮腫、顔面浮腫等)、疼痛、無力症、疲労、胸部不快感、体重減少、胸痛

*異常感、発熱、胃腸炎、上咽頭炎、副鼻腔炎、インフルエンザ様疾患、転倒、月経過多、非心臓性胸痛、血中甲状腺刺激ホルモン増加

血中甲状腺刺激ホルモン減少、過敏症

13. 過量投与

  1. 13.1 症状

    本剤を1回3.2mg投与された成人患者に一過性の悪心が発現したとの報告がある(外国人データ)。

  2. 13.2 処置

    特異的な解毒薬はない。本剤はタンパク結合率が高いため、透析が有効である可能性は低い。

14. 適用上の注意

14.1 薬剤交付時の注意

PTP包装の薬剤はPTPシートから取り出して服用するよう指導すること。PTPシートの誤飲により、硬い鋭角部が食道粘膜へ刺入し、更には穿孔を起こして縦隔洞炎等の重篤な合併症を併発することがある。

15. その他の注意

15.2 非臨床試験に基づく情報

*イヌを用いた毒性試験において、本剤の薬理作用に起因する、腸管の蠕動運動の抑制によると考えられる腸重積が認められた。

16. 薬物動態

16.1 血中濃度

  1. 16.1.1 単回投与

    健康成人男性6例にセレキシパグ0.2及び0.4mgを食後に単回経口投与したとき、セレキシパグ及び活性代謝物MRE-269の薬物動態パラメータは下表のとおりであった。セレキシパグ及びMRE-269のCmax及びAUC0-∞は、いずれも用量とともに増加した1)

    セレキシパグ0.2及び0.4mgを単回経口投与後のセレキシパグ及びMRE-269の血漿中濃度推移
    □:0.2mg、●:0.4mg(平均値±標準偏差、n=6)
    セレキシパグ0.2及び0.4mgを単回経口投与したときの薬物動態パラメータ

    Cmax
    (ng/mL)

    tmax
    (hr)

    t1/2
    (hr)

    AUC0-∞
    (ng・hr/mL)

    セレキシパグ

    0.2 mg

    3.30±0.81

    1.75 (1.00, 2.50)

    0.849±0.133

    8.59±2.64

    0.4 mg

    8.55±1.33

    1.50 (1.50, 2.00)

    1.03±0.26

    18.8±2.9

    MRE-269

    0.2 mg

    4.06±0.94

    4.50 (2.50, 5.00)

    10.5±4.0

    24.0±5.5

    0.4 mg

    7.40±1.23

    3.50 (2.00, 5.00)

    7.84±2.43

    45.7±8.9

    n=6、平均値±標準偏差、tmaxは中央値(最小値, 最大値)

  2. 16.1.2 反復投与

    健康成人男性6例にセレキシパグ0.2~0.6mgを1日2回食後反復経口投与したとき、セレキシパグ及びMRE-269の定常状態における薬物動態パラメータは下表のとおりであった。セレキシパグ及びMRE-269の血漿中濃度は投与3日目にほぼ定常状態に達した1)

    セレキシパグ0.2~0.6mgを1日2回反復経口投与したときの定常状態における薬物動態パラメータ

    1回投与量

    Cmax
    (ng/mL)

    tmax
    (hr)

    t1/2
    (hr)

    AUC0-12hr
    (ng・hr/mL)

    セレキシパグ

    0.2 mg

    2.98±0.85

    1.50 (1.00, 3.00)

    0.855±0.204

    6.53±2.36

    0.4 mg

    8.71±0.79

    1.50 (1.00, 1.50)

    1.38±0.62

    17.5±3.5

    0.6 mg

    10.7±3.0

    1.50 (1.50, 2.50)

    1.89±0.53

    24.8±3.7

    MRE-269

    0.2 mg

    4.24±0.81

    3.00 (2.50, 4.00)

    10.7±3.7

    22.8±5.8

    0.4 mg

    10.2±1.6

    2.75 (2.00, 4.00)

    11.2±4.0

    60.5±8.0

    0.6 mg

    12.4±2.0

    3.00 (2.50, 5.00)

    7.89±2.36

    69.7±12.3

    n=6、平均値±標準偏差、tmaxは中央値(最小値, 最大値)

16.2 吸収

  1. 16.2.1 バイオアベイラビリティ

    健康成人男性15例にセレキシパグ0.2mgを空腹時に単回静脈内投与したとき、セレキシパグの全身クリアランス及び定常状態の分布容積の幾何平均値はそれぞれ17.9L/hr及び11.7Lであった。また、セレキシパグ0.4mgを空腹時に単回経口投与したとき、セレキシパグの絶対バイオアベイラビリティは49.4%であった2)(外国人データ)。

  2. 16.2.2 食事の影響
    1. (1) 標準食

      健康成人男性4例にセレキシパグ0.4mgを空腹時及び食後30分に単回経口投与したとき、空腹時と比較してセレキシパグのCmaxは32%、AUC0-∞は15%低下した。MRE-269のCmaxは7%、AUC0-∞は12%低下した1)

    2. (2) 高脂肪食

      健康成人男性12例にセレキシパグ0.4mgを空腹時及び食後に単回経口投与したとき、空腹時と比較してセレキシパグのCmaxは35%低下し、AUC0-∞は10%増大した。MRE-269のCmaxは48%、AUC0-∞は27%低下した3)(外国人データ)。

16.3 分布

14C-セレキシパグ及び14C-MRE-269の血清タンパクに対する結合率は、0.1~1μg/mLの範囲でいずれも98~99%であった4)

16.4 代謝

セレキシパグは、主に生体内でカルボン酸アミド部位が加水分解され、活性代謝物MRE-269を生成した。MRE-269はその後複数種の酸化的代謝物やアシルグルクロン酸抱合体に代謝された。
加水分解にはカルボキシルエステラーゼ1が、酸化的代謝にはCYP2C8及びCYP3A4が、グルクロン酸抱合にはUGT1A3及びUGT2B7が主に関与していた4)

16.5 排泄

健康成人男性6例にセレキシパグ0.2~0.6mgを空腹時に単回経口投与したとき、投与後48時間までに尿中には未変化体は検出されず、MRE-269及びそのグルクロン酸抱合体として、投与量の0.22~0.27%が排泄された1)
健康成人男性6例に14C-セレキシパグ0.4mgを単回経口投与した場合、投与後168時間までに投与された放射能の12%が尿中に、93%が糞中に排泄された5)(外国人データ)。

16.6 特定の背景を有する患者

  1. 16.6.1 腎障害患者

    重度の腎障害患者8例(eGFR:15~29mL/min/1.73m2)及び健康成人8例にセレキシパグ0.4mgを単回経口投与したとき、重度の腎障害患者では、健康成人と比較してセレキシパグのCmax及びAUC0-∞は1.7倍に、MRE-269のCmaxは1.4倍、AUC0-∞は1.6倍に増加した。また、セレキシパグ及びMRE-269の血漿中非結合型分率に大きな相違はなかった6)(外国人データ)。

  2. 16.6.2 肝障害患者

    軽度の肝障害患者8例(Child-Pughスコア:5~6)、中等度の肝障害患者8例(Child-Pughスコア:7~9)及び重度の肝障害患者2例(Child-Pughスコア:10~15)並びに健康成人8例にセレキシパグ0.2~0.4mgを単回経口投与した。軽度の肝障害患者は健康成人と比較して、セレキシパグのCmax及びAUC0-∞が2倍に増加し、MRE-269のCmax及びAUC0-∞に大きな相違はなかった。また、セレキシパグ及びMRE-269の血漿中非結合型分率にも大きな相違はなかった。中等度の肝障害患者では健康成人と比較して、セレキシパグのCmaxは2倍以上、AUC0-∞は4倍以上に増加した。MRE-269のCmaxに大きな相違はなく、AUC0-∞は2倍以上に増加した。また、セレキシパグ及びMRE-269の血漿中非結合型分率は1.3倍に増加した。重度の肝障害患者は、中等度の肝障害患者と同様の血漿中濃度推移の傾向を示したが、セレキシパグ及びMRE-269の血漿中非結合型分率は2倍に増加した6)(外国人データ)。,,,

  3. 16.6.3 *小児

    小児の肺動脈性肺高血圧症患者6例にセレキシパグ0.1、0.15又は0.2mgを1日2回食後反復経口投与したとき、セレキシパグ及びMRE-269の定常状態における薬物動態パラメータは下表のとおりであった7)

    小児の肺動脈性肺高血圧症患者にセレキシパグ0.1、0.15又は0.2mgを1日2回反復経口投与したときの定常状態における薬物動態パラメータ

    体重

    1回
    投与量

    Cmax
    (ng/mL)

    tmax
    (hr)

    t1/2
    (hr)

    AUC0-12hr
    (ng・hr/mL)

    セレキシパグ

    9kg以上25kg未満

    0.1mg

    2.37,
    2.97

    1.98

    0.771,
    1.11

    9.31,
    9.65

    25kg以上50kg未満

    0.15mg

    2.73,
    5.10

    1.45

    0.888,
    1.32

    8.74,
    12.9

    50kg以上

    0.2mg

    1.49,
    1.70

    1.89

    0.824,
    1.20

    4.57,
    6.03

    MRE-269

    9kg以上25kg未満

    0.1mg

    3.44,
    3.79

    4.01

    2.86,
    3.18

    17.8,
    28.5

    25kg以上50kg未満

    0.15mg

    4.96,
    10.9

    2.92

    2.68,
    5.36

    45.4,
    48.2

    50kg以上

    0.2mg

    2.39,
    2.81

    3.90

    2.74,
    3.25

    14.8,
    17.1

    各体重分類でn=2、個別値、tmaxは中央値

  4. 16.6.4 高齢者

    健康高齢男性6例(65~74歳)にセレキシパグ0.2mgを空腹時に単回経口投与したとき、健康非高齢者6例(20~26歳)と比較してセレキシパグ及びMRE-269のCmax及びAUC0-∞が低下する傾向が認められた。健康高齢男性6例(67~74歳)にセレキシパグ0.4mgを1日2回10日間食後経口投与したとき、血漿中セレキシパグ及びMRE-269の薬物動態パラメータは健康非高齢者6例(21~29歳)と類似した値を示した1)

16.7 薬物相互作用

  1. 16.7.1 In vitro試験

    セレキシパグ及びMRE-269は、OATP1B1及びOATP1B3の基質であることが示された。また、セレキシパグはP糖タンパク、MRE-269はBCRPの基質であることが示された4),8)

  2. 16.7.2 クロピドグレル

    健康成人男性22例にセレキシパグ0.2mgを1日2回10日間経口投与し、CYP2C8の阻害作用を有するクロピドグレルを投与4日目に300mg(n=21)、投与5日目から10日目に75mg(n=20)を経口投与したとき、単独投与と比較して、セレキシパグのCmax及びAUC0-12は、投与4日目では1.3倍及び1.4倍に増加し、投与10日目では0.98倍及び1.1倍であった。同様に、MRE-269のCmax及びAUC0-12は、投与4日目では1.7倍及び2.2倍、投与10日目では1.9倍及び2.7倍に増加した9)(外国人データ)。

  3. 16.7.3 ゲムフィブロジル

    健康成人男性20例に強いCYP2C8の阻害剤であるゲムフィブロジル(国内未承認)600mgを1日2回9日間経口投与し、投与4日目にセレキシパグ0.4mgを単回経口投与したとき、単独投与と比較して、セレキシパグのCmaxは1.4倍、AUC0-∞は2.0倍に増加した。MRE-269のCmaxは3.6倍、AUC0-∞は11倍に増加した10)(外国人データ)。

  4. 16.7.4 ワルファリン

    健康成人男性17例にセレキシパグ0.4mgを1日2回12日間経口投与し、投与8日目にワルファリン20mgを経口投与したとき、セレキシパグ及びMRE-269の薬物動態に及ぼすワルファリンの影響は認められなかった。ワルファリンの薬物動態に及ぼすセレキシパグの影響は認められなかった11)(外国人データ)。

  5. 16.7.5 ロピナビル・リトナビル

    健康成人男性20例にロピナビル・リトナビル配合錠400mg/100mgを1日2回12日間経口投与し、投与10日目にセレキシパグ0.4mgを単回経口投与したとき、単独投与と比較して、セレキシパグのCmaxは2.07倍、AUC0-∞は2.24倍に増加した。MRE-269のCmaxは1.33倍、AUC0-∞は1.08倍に増加した12)(外国人データ)。

  6. 16.7.6 リファンピシン

    健康成人男性19例にCYP2C8の誘導剤であるリファンピシン600mgを1日1回9日間経口投与し、投与7日目にセレキシパグ0.4mgを単回経口投与したとき、単独投与と比較して、セレキシパグのCmaxは1.8倍、AUC0-∞は1.3倍に増加した。MRE-269のCmaxは1.3倍に増加し、AUC0-∞は0.52倍に減少した10)(外国人データ)。

17. 臨床成績

17.1 有効性及び安全性に関する試験

  • 〈肺動脈性肺高血圧症〉
    1. 17.1.1 国内第Ⅱ相試験(成人)

      非盲検非対照試験として、日本人肺動脈性肺高血圧症患者37例を対象に、セレキシパグ0.2~1.6mgを1日2回投与した。有効性主要評価項目であるベースラインから16週時までの肺血管抵抗の変化量(平均値±標準偏差、中央値)は、-122.9±115.2、-120.9dyn・sec/cm5であり、有意に低下した(Wilcoxon符号付順位検定:P<0.0001)13),14)
      副作用発現頻度は100.0%(37例中37例)であった。主な副作用は、頭痛27例(73.0%)、下痢、顎痛 各17例(45.9%)、悪心14例(37.8%)、潮紅12例(32.4%)、筋肉痛7例(18.9%)、低血圧、関節痛、倦怠感、ほてり 各6例(16.2%)、四肢痛5例(13.5%)、背部痛、嘔吐 各4例(10.8%)であった。

      ベースラインから投与16週時までの肺血管抵抗の変化(PPS)

      肺血管抵抗
      (dyn・sec/cm5

      平均値±標準偏差
      中央値

      【投与開始前からの変化量】
      平均値±標準偏差
      中央値
      [中央値の95%信頼区間]
      P値1)

      【投与開始前からの変化率(%)】
      幾何平均値
      [95%信頼区間]

      投与開始前

      683.2±237.3
      671.8

      -122.9±115.2
      -120.9
      [-184.5, -59.5]
      <0.0001

      79.7
      [74.0, 86.0]

      投与16週時

      560.3±238.7
      491.4

      評価例数:33例

      1) Wilcoxon符号付順位検定

    2. 17.1.2 海外第Ⅲ相試験(成人)

      プラセボ対照二重盲検比較試験として、肺動脈性肺高血圧症の患者1156例を対象に、プラセボ又はセレキシパグ0.2~1.6mgを1日2回投与した。
      有効性主要評価項目である最初のmorbidity/mortalityイベントが発現するまでの期間におけるプラセボ群に対するセレキシパグ群のハザード比は0.60(99%信頼区間:0.46~0.78)であり、セレキシパグ群はプラセボ群と比較してmorbidity/mortalityイベントの発現を有意に低下させた(P<0.0001、片側ログランク検定、有意水準は片側0.005)15),16)
      副作用発現頻度は89.6%(575例中515例)であった。主な副作用は、頭痛353例(61.4%)、下痢207例(36.0%)、悪心155例(27.0%)、顎痛143例(24.9%)、筋肉痛80例(13.9%)、嘔吐78例(13.6%)、四肢痛77例(13.4%)、潮紅67例(11.7%)であった。

      最初のmorbidity/mortalityイベントが発現するまでの期間のKaplan-Meier曲線(FAS)

      バーは95%信頼区間を示す

      注)morbidity/mortalityイベントの定義:死亡、肺動脈性肺高血圧症悪化による入院、肺移植・心房中隔裂開術を要する肺動脈性肺高血圧症の悪化、プロスタサイクリン製剤の静脈内/皮下投与・長期酸素療法の開始、又は疾患進行[6分間歩行距離が投与前から15%以上短縮、及び(WHO機能分類クラスⅡ/Ⅲのとき)WHO機能分類クラスの悪化、(Ⅲ/Ⅳのとき)肺動脈性肺高血圧症治療薬の追加]

    3. 17.1.3 *国内第Ⅱ相試験(小児)

      非盲検非対照試験として、2歳以上15歳未満の肺動脈性肺高血圧症患者6例を対象に、セレキシパグ0.1~0.8mg(体重9kg以上25kg未満)、0.15~1.2mg(体重25kg以上50kg未満)又は0.2~1.6mg(体重50kg以上)を1日2回投与した。主要評価項目であるベースラインから16週時までの肺血管抵抗係数の個別値は下表のとおりであり、全症例(n=6)の変化量(平均値±標準偏差、中央値)は、-5.548±6.876、-4.310Wood単位・m2であった7)
      副作用発現頻度は100.0%(6例中6例)であった。主な副作用は、嘔吐5例(83.3%)、頭痛4例(66.7%)、下痢3例(50.0%)、顎痛、悪心、便秘 各2例(33.3%)であった。

      ベースラインから投与16週時までの肺血管抵抗係数の変化

      体重

      肺血管抵抗係数(Wood単位・m2

      投与開始前

      投与16週時

      投与開始前からの変化量

      9kg以上
      25kg未満

      14.00

      7.67

      -6.33

      16.79

      7.19

      -9.60

      25kg以上
      50kg未満

      17.05

      16.01

      -1.04

      37.50

      20.89

      -16.61

      50kg以上

      9.52

      7.23

      -2.29

      12.90

      15.48

      2.58

  • 〈外科的治療不適応又は外科的治療後に残存・再発した慢性血栓塞栓性肺高血圧症〉
    1. 17.1.4 国内第Ⅲ相試験

      肺動脈血栓内膜摘除術不適応又は本手術後に残存・再発した慢性血栓塞栓性肺高血圧症の患者78例を対象に、プラセボ又はセレキシパグ0.2~1.6mgを1日2回、二重盲検にて投与した。その後、セレキシパグ0.2~1.6mgを1日2回長期投与した。
      有効性主要評価項目である肺血管抵抗のベースラインから20週時までの変化量(平均値±標準偏差、中央値)は、セレキシパグ群-98.2±111.3、-89.0dyn・sec/cm5、プラセボ群-4.6±163.6、-18.0dyn・sec/cm5であった。肺血管抵抗の20週時までの変化量のプラセボ群との平均値の差は-93.5dyn・sec/cm5(95%信頼区間:-156.8~-30.3)であり、セレキシパグ群ではプラセボ群と比較して肺血管抵抗が有意に低下した(P=0.006、Wilcoxon順位和検定)17),18)
      セレキシパグを投与された74例の患者における副作用発現頻度は90.5%(67/74例)であった。主な副作用は下痢39例(52.7%)、頭痛38例(51.4%)、悪心22例(29.7%)、倦怠感14例(18.9%)、顎痛12例(16.2%)、嘔吐、食欲減退 各10例(13.5%)、筋肉痛9例(12.2%)、関節痛8例(10.8%)であった。

      ベースラインから二重盲検終了時(20週)までの肺血管抵抗の変化(FAS)

      評価例数

      肺血管抵抗(dyn・sec/cm5

      平均値±標準偏差
      中央値

      【投与開始前からの変化量】
      平均値±標準偏差
      中央値
      [中央値の95%信頼区間]

      【投与開始前からの変化量の群間差】
      平均値の群間差2)
      [95%信頼区間]
      P値3)

      セレキシパグ群

      39

      投与開始前

      523.4±132.8
      493.0

      -98.2±111.3
      -89.0
      [-132.0, -30.0]

      -93.5
      [-156.8, -30.3]
      0.006

      投与20週時

      425.3±158.6
      400.0

      プラセボ群

      39

      投与開始前

      553.1±184.0
      473.0

      -4.6±163.6
      -18.0
      [-62.0, 0.0]

      投与20週時

      548.5±288.4
      440.0

      2) セレキシパグ群-プラセボ群
      3) Wilcoxon順位和検定

18. 薬効薬理

18.1 作用機序

  1. 18.1.1 セレキシパグはヒトプロスタサイクリン受容体に選択的な結合能を有し、cyclic AMP生成量を濃度依存的に増加させ、アゴニスト作用を示した19),20)
  2. 18.1.2 セレキシパグは、プロスタグランジンFによる摘出ラット肺葉内動脈標本の収縮を濃度依存的に抑制した21)
  3. 18.1.3 主代謝物であるMRE-269も上記18.1.1及び18.1.2の作用を示し、その効力(EC50又はIC50)はセレキシパグと比較して18.1.1では15~33倍、18.1.2では約4倍高かった19),20),21)

18.2 肺高血圧モデルラットに対する作用

  1. 18.2.1 トロンボキサンA2受容体アゴニストであるU46619誘発肺高血圧モデルラットにおいて、セレキシパグの投与は右心室圧の上昇を抑制した22)
  2. 18.2.2 モノクロタリン誘発肺高血圧モデルラットにおいて、セレキシパグの投与は右心肥大を抑制した23)
  3. 18.2.3 モノクロタリン誘発肺高血圧モデルラットにおいて、セレキシパグの投与は肺動脈圧を低下させた。反復投与による肺動脈圧低下効果の減弱は認められなかった23)

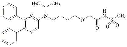
19. 有効成分に関する理化学的知見

一般的名称

セレキシパグ(Selexipag)(JAN)

化学名

2-{4-[(5,6-Diphenylpyrazin-2-yl)(propan-2-yl)amino]butoxy}-N-(methanesulfonyl)acetamide

分子式

C26H32N4O4S

分子量

496.62

性状

本品は白色~黄色の結晶又は結晶性の粉末である。
本品はジメチルスルホキシドに溶けやすく、アセトニトリルにやや溶けにくく、エタノール(99.5)に極めて溶けにくく、水にほとんど溶けない。

化学構造式

分配係数

3.0[1-オクタノール・第1液(pH1.2)]
2.1[1-オクタノール・第2液(pH6.8)]
2.2[1-オクタノール・水]

20. 取扱い上の注意

アルミピローの開封後は湿気を避けて保管すること。

21. 承認条件

*医薬品リスク管理計画を策定の上、適切に実施すること。

22. 包装

  • 〈ウプトラビ錠0.2mg〉

    30錠[10錠(PTP)×3]、100錠[10錠(PTP)×10]

  • 〈ウプトラビ錠0.4mg〉

    30錠[10錠(PTP)×3]、100錠[10錠(PTP)×10]

  • 〈ウプトラビ錠0.8mg〉

    30錠[10錠(PTP)×3]

23. 主要文献

1) 社内資料:国内第Ⅰ相:健康成人男性及び健康高齢男性における単回・反復投与試験(2016年9月28日承認、CTD2.7.6.2)

2) Kaufmann P, et al. Eur J Clin Pharmacol. 2017;73:151-6

3) Kaufmann P, et al. Am J Cardiovasc Drugs. 2015;15:195-203

4) 社内資料:セレキシパグの非臨床薬物動態試験(2016年9月28日承認、CTD2.6.4.4及びCTD2.6.4.5)

5) 社内資料:海外第Ⅰ相:単回投与時の吸収、代謝及び排泄の検討(2016年9月28日承認、CTD2.7.6.5)

6) Kaufmann P, et al. Br J Clin Pharmacol. 2016;82:369-79

7) *社内資料:国内第Ⅱ相:小児PAH患者を対象としたオープンラベル試験(2024年12月27日承認、CTD2.7.6.3)

8) 社内資料:トランスポーター相互作用試験(2016年9月28日承認、CTD2.6.4.7)

9) Axelsen L, et al. Br J Clin Pharmacol. 2021;87(1):119-28

10) Bruderer S, et al. Br J Clin Pharmacol. 2017;83:2778-88

11) Bruderer S, et al. Clin Ther. 2016;38(5):1228-36

12) Kaufmann P, et al. Br J Clin Pharmacol. 2015;80(4):670-7

13) 社内資料:国内第Ⅱ相:肺動脈性肺高血圧症患者対象の非盲検非対照試験(2016年9月28日承認、CTD2.7.6.14)

14) Tanabe N, et al. Circulation Journal. 2017;81:1360-7

15) 社内資料:海外第Ⅲ相:肺動脈性肺高血圧症患者対象の二重盲検比較試験(2016年9月28日承認、CTD2.7.6.13)

16) Sitbon O, et al. N Engl J Med. 2015;373:2522-33

17) 社内資料:国内第Ⅲ相:慢性血栓塞栓性肺高血圧症患者対象の二重盲検比較試験(2021年8月25日承認、CTD2.7.6.2)

18) *Ogo T, et al. Eur Respir J. 2022;60:2101694

19) Kuwano K, et al. J Pharmacol Exp. Ther. 2007;322(3):1181-8

20) 社内資料:ヒトプロスタサイクリン受容体過剰発現CHO細胞におけるセレキシパグ及びMRE-269のcyclic AMP産生増加作用(2016年9月28日承認、CTD2.6.2.2.1.3)

21) 社内資料:セレキシパグ及びMRE-269のラット肺葉内動脈に対する弛緩作用(2016年9月28日承認、CTD2.6.2.2.3.1)

22) 社内資料:U46619誘発肺高血圧症ラットにおけるセレキシパグの右心室圧低下作用(2016年9月28日承認、CTD2.6.2.2.6.4)

23) Kuwano K, et al. J Pharmacol Exp Ther. 2008;326(3):691-9

24. 文献請求先及び問い合わせ先

日本新薬株式会社 製品情報担当

〒601-8550 京都市南区吉祥院西ノ庄門口町14

フリーダイヤル 0120-321-372
TEL 075-321-9064
FAX 075-321-9061

26. 製造販売業者等

26.1 製造販売元

日本新薬株式会社

京都市南区吉祥院西ノ庄門口町14

26.2 販売提携先

ヤンセンファーマ株式会社

東京都千代田区西神田3-5-2
(小児適応を除く)



ウプトラビ/UptraviはActelion Pharmaceuticals Ltd.の登録商標であり、Actelion Pharmaceuticals Ltd.から使用許諾を受けています。

〒100-0013 東京都千代田区霞が関3-3-2 新霞が関ビル

画面を閉じる

Copyright © Pharmaceuticals and Medical Devices Agency, All Rights reserved.