医療用医薬品 詳細表示

日点アトロピン点眼液1%

処方せん医薬品以外の医薬品

添付文書番号
企業コード
作成又は改訂年月
日本標準商品分類番号
薬効分類名
承認等
一般的名称
2.禁忌(次の患者には投与しないこと)
3.組成・性状
3.1組成
3.2製剤の性状
4.効能又は効果
6.用法及び用量
8.重要な基本的注意
9.特定の背景を有する患者に関する注意
9.1合併症・既往歴等のある患者
9.5妊婦
9.6授乳婦
9.7小児等
9.8高齢者
10.相互作用
10.2併用注意(併用に注意すること)
11.副作用
11.2その他の副作用
14.適用上の注意
15.その他の注意
15.1臨床使用に基づく情報
18.薬効薬理
18.1作用機序
18.2散瞳作用
18.3調節麻痺作用
19.有効成分に関する理化学的知見
20.取扱い上の注意
22.包装
23.主要文献
24.文献請求先及び問い合わせ先
26.製造販売業者等

日点アトロピン点眼液1%

添付文書番号

1311706Q2022_1_08

企業コード

530304

作成又は改訂年月

2026年3月改訂(第2版)
2022年4月改訂(第1版)

日本標準商品分類番号

871311

薬効分類名

散瞳・調節麻痺点眼剤

承認等

日点アトロピン点眼液1%

販売名コード

YJコード

1311706Q2022

販売名英語表記

Nitten ATROPINE Ophthalmic Solution

販売名ひらがな

にってんあとろぴんてんがんえき

承認番号等

承認番号

14300AMZ00956000

販売開始年月

1976年9月

貯法・有効期間

貯法

室温保存

有効期間

3年

規制区分

劇薬

一般的名称

アトロピン硫酸塩水和物点眼液

2. 禁忌(次の患者には投与しないこと)

緑内障及び狭隅角や前房が浅いなどの眼圧上昇の素因のある患者[急性閉塞隅角緑内障の発作を起こすことがある。]

3. 組成・性状

3.1 組成

日点アトロピン点眼液1%

有効成分1mL中 日局 アトロピン硫酸塩水和物   10mg
添加剤亜硫酸水素ナトリウム、ベンザルコニウム塩化物、リン酸二水素ナトリウム水和物、無水リン酸一水素ナトリウム、等張化剤

3.2 製剤の性状

日点アトロピン点眼液1%

pH5.0~6.5
浸透圧比約1
性状無色澄明、無菌水性点眼剤

4. 効能又は効果

診断または治療を目的とする散瞳と調節麻痺

6. 用法及び用量

通常、1日1~3回、1回1~2滴宛点眼する。

8. 重要な基本的注意

散瞳又は調節麻痺が起こるので、その症状が回復するまで機械類の操作や自動車等の運転には従事させないよう注意すること。また、サングラスを着用する等太陽光や強い光を直接見ないよう指導すること。

9. 特定の背景を有する患者に関する注意

9.1 合併症・既往歴等のある患者

  1. 9.1.1 *本剤の成分に対し過敏症の既往歴のある患者

9.5 妊婦

妊婦又は妊娠している可能性のある女性には診断又は治療上の有益性が危険性を上回ると判断される場合にのみ投与すること。

9.6 授乳婦

診断又は治療上の有益性及び母乳栄養の有益性を考慮し、授乳の継続又は中止を検討すること。

9.7 小児等

幼児・小児には0.25%液を使用することが望ましい。全身の副作用が起こりやすい。

9.8 高齢者

一般に生理機能が低下している。

10. 相互作用

    10.2 併用注意(併用に注意すること)

    薬剤名等臨床症状・措置方法機序・危険因子

    抗コリン作用を有する薬剤

    • 三環系及び四環系抗うつ剤
      フェノチアジン系薬剤
      抗ヒスタミン剤等

    循環器系、精神神経系等の全身性の副作用があらわれるおそれがある。

    相加的に作用(抗コリン作用)を増強させる。

    11. 副作用

    次の副作用があらわれることがあるので、観察を十分に行い、異常が認められた場合には投与を中止するなど適切な処置を行うこと。

    11.2 その他の副作用

    頻度不明

    過敏症

    アレルギー性結膜炎、眼瞼結膜炎

    続発性緑内障、眼圧上昇

    循環器

    血圧上昇、心悸亢進

    精神神経系

    幻覚、痙攣、興奮

    消化器

    悪心・嘔吐、口渇、便秘

    その他

    顔面潮紅、頭痛、発熱

    14. 適用上の注意

    14.1 薬剤交付時の注意

    患者に対し以下の点に注意するよう指導すること。

    • 薬液汚染防止のため、点眼のとき、容器の先端が直接目に触れないように注意すること。
    • 患眼を開瞼して結膜囊内に点眼し、1~5分間閉瞼して涙囊部を圧迫させた後、開瞼すること。
    • 点眼後結膜嚢からあふれ出たものは拭きとること。
    • 他の点眼剤を併用する場合には、少なくとも5分以上間隔をあけてから点眼すること。

    15. その他の注意

    15.1 臨床使用に基づく情報

    *本剤は添加剤として亜硫酸塩を含有している。喘息患者では非喘息患者よりも亜硫酸塩に対する過敏症が多く認められるとの報告がある。

    18. 薬効薬理

    18.1 作用機序

    アトロピンはコリン作動性刺激に対する虹彩括約筋及び毛様体筋の反応を遮断する1)

    18.2 散瞳作用

    散瞳は点眼後数分から始まり、約40分で最大となる。作用は7~10日間持続する2),3)

    18.3 調節麻痺作用

    調節麻痺は散瞳にやや遅れて発現し、作用の持続は3~5日である。調節と瞳孔反射は、7~12日間は完全には回復しない1),3)

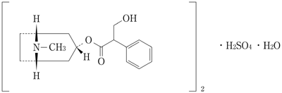
    19. 有効成分に関する理化学的知見

    一般的名称

    アトロピン硫酸塩水和物(Atropine Sulfate Hydrate)

    化学名

    (1R,3r,5S)-8-Methyl-8-azabicyclo[3.2.1]oct-3-yl[(2RS)-3-hydroxy-2-phenyl]propanoate hemisulfate hemihydrate

    分子式

    (C17H23NO32・H2SO4・H2O

    分子量

    694.83

    性状

    無色の結晶又は白色の結晶性の粉末で、においはない。水又は酢酸(100)に極めて溶けやすく、エタノール(95)に溶けやすく、ジエチルエーテルにほとんど溶けない。光によって変化する。
    融点:188~194℃(分解)

    化学構造式

    20. 取扱い上の注意

    外箱開封後は、遮光して保存すること。

    22. 包装

    プラスチック点眼容器 5mL×10本

    24. 文献請求先及び問い合わせ先

    ロートニッテン株式会社 医薬情報問合せ窓口

    〒457-0038 名古屋市南区桜本町40番地の2

    TEL:0120-691-910 FAX:052-823-9115

    26. 製造販売業者等

    26.1 製造販売元

    ロートニッテン株式会社

    名古屋市南区桜本町40番地の2

    〒100-0013 東京都千代田区霞が関3-3-2 新霞が関ビル

    画面を閉じる

    Copyright © Pharmaceuticals and Medical Devices Agency, All Rights reserved.