医療用医薬品 詳細表示

トラメラスPF点眼液0.5%

処方せん医薬品以外の医薬品

添付文書番号
企業コード
作成又は改訂年月
日本標準商品分類番号
薬効分類名
承認等
一般的名称
2.禁忌(次の患者には投与しないこと)
3.組成・性状
3.1組成
3.2製剤の性状
4.効能又は効果
6.用法及び用量
8.重要な基本的注意
9.特定の背景を有する患者に関する注意
9.5妊婦
9.7小児等
11.副作用
11.2その他の副作用
14.適用上の注意
16.薬物動態
16.1血中濃度
16.4代謝
17.臨床成績
17.1有効性及び安全性に関する試験
18.薬効薬理
18.1作用機序
18.2アレルギー性結膜炎抑制作用
18.3生物学的同等性試験
19.有効成分に関する理化学的知見
20.取扱い上の注意
22.包装
23.主要文献
24.文献請求先及び問い合わせ先
26.製造販売業者等

トラメラスPF点眼液0.5%

添付文書番号

1319736Q1068_1_09

企業コード

530304

作成又は改訂年月

2023年5月改訂(第1版)

日本標準商品分類番号

871319

薬効分類名

アレルギー性結膜炎治療剤

承認等

トラメラスPF点眼液0.5%

販売名コード

YJコード

1319736Q1068

販売名英語表記

TRAMELAS PF Ophthalmic Solution

販売名ひらがな

とらめらすぴーえふてんがんえき

承認番号等

承認番号

21800AMZ10315000

販売開始年月

2006年9月

貯法・有効期間

貯法

室温保存

有効期間

3年

基準名

日本薬局方

トラニラスト点眼液

一般的名称

トラニラスト点眼液

2. 禁忌(次の患者には投与しないこと)

本剤の成分に対し過敏症の既往歴のある患者

3. 組成・性状

3.1 組成

トラメラスPF点眼液0.5%

有効成分1mL中 日局 トラニラスト   5mg
添加剤ホウ酸、モノエタノールアミン

3.2 製剤の性状

トラメラスPF点眼液0.5%

pH7.0~8.0
浸透圧比0.9~1.1
性状微黄色澄明、無菌水性点眼剤

4. 効能又は効果

アレルギー性結膜炎

6. 用法及び用量

通常、1回1~2滴を1日4回(朝、昼、夕方及び就寝前)点眼する。

8. 重要な基本的注意

重症例には本剤単独では十分な効果が得られないので、他の適切な治療法への切替えあるいはそれとの併用を考慮し、本剤のみを漫然と長期に使用しないこと。

9. 特定の背景を有する患者に関する注意

9.5 妊婦

  1. 9.5.1 妊婦(特に約3カ月以内)又は妊娠している可能性のある女性

    投与しないことが望ましい。動物実験(マウス)で、本剤の経口大量投与により、骨格異常例の増加が認められている。

9.7 小児等

低出生体重児、新生児、乳児又は6歳未満の幼児を対象とした臨床試験は実施していない。

11. 副作用

次の副作用があらわれることがあるので、観察を十分に行い、異常が認められた場合には投与を中止するなど適切な処置を行うこと。

11.2 その他の副作用

0.1~1%未満

頻度不明

過敏症

眼瞼皮膚炎、眼瞼炎

接触性皮膚炎(眼周囲)

刺激感

結膜充血、眼瞼腫脹、そう痒感

14. 適用上の注意

14.1 薬剤交付時の注意

患者に対し以下の点に注意するよう指導すること。

  • 薬液汚染防止のため、点眼のとき、容器の先端が直接目に触れないように注意すること。
  • 患眼を開瞼して結膜囊内に点眼し、1~5分間閉瞼して涙囊部を圧迫させた後、開瞼すること。
  • 眼周囲等に流出した液は拭き取ること。
  • 他の点眼剤を併用する場合には、少なくとも5分以上間隔をあけてから点眼すること。
  • 遮光して保存すること。

16. 薬物動態

16.1 血中濃度

  1. 16.1.1 単回投与

    健康成人男子にトラニラスト点眼液0.5%を単回点眼(両眼に2滴ずつ)したところ、最高血中濃度は17.8ng/mLであった。血中からの消失半減期は3.6時間であった1)

    速度論的パラメーター(単回点眼)

    Tmax(hr)

    Cmax(ng/mL)

    AUC0-4hr(ng・hr/mL)

    T1/2(hr)

    単回点眼
    (1回投与)

    1.2±0.4

    17.8±7.1

    50.8±17.6

    3.6±1.3

    n=6:mean±S.E.

  2. 16.1.2 反復投与

    健康成人男子にトラニラスト点眼液0.5%を反復点眼(両眼に2滴ずつ、投与1、8日目は1日1回、投与2~7日目は1日4回)したところ、最高血中濃度は25.0ng/mLであった。血中からの消失半減期は3.9時間であった1)

    速度論的パラメーター(反復点眼)

    Tmax(hr)

    Cmax(ng/mL)

    AUC0-4hr(ng・hr/mL)

    T1/2(hr)

    反復点眼
    (8日間投与)

    0.8±0.3

    25.0±12.2

    75.6±31.3

    3.9±1.2

    n=6:mean±S.E.

16.4 代謝

ヒト肝ミクロソーム及びP450発現系ミクロソームを用いたin vitro試験の結果、トラニラストの酸化的代謝反応はCYP2C9、CYP2C18、CYP2C8、CYP1A2、CYP3A4、CYP2D6で確認され、主としてCYP2C9が代謝に関与することが示された2)

17. 臨床成績

17.1 有効性及び安全性に関する試験

  1. 17.1.1 国内第Ⅲ相二重盲検比較試験

    I型アレルギーの関与が明らかなアレルギー性結膜炎の患者200例を対象にトラニラスト点眼液0.5%又はクロモグリク酸ナトリウム点眼液2%を1回1~2滴、1日4回朝、昼、夕方及び就寝前に4週間投与した。全般改善度を著明改善、中等度改善、軽度改善、不変、悪化の5段階にて評価した結果、中等度改善以上の改善率はトラニラスト点眼液群63.4%、クロモグリク酸ナトリウム点眼液群52.7%であり、同等性検定により同等であった。副作用の発現割合はトラニラスト点眼液群1.0%(1/98例)であり、しみるが1.0%(1/98例)であった3)

18. 薬効薬理

18.1 作用機序

抗原刺激による肥満細胞及び各種炎症細胞からのケミカルメディエーター(ヒスタミン、ロイコトリエン等)の遊離を抑制することにより、抗アレルギー作用を示す(ラット、モルモット、in vitro4),5),6),7),8),9),10),11),12)

18.2 アレルギー性結膜炎抑制作用

動物結膜炎モデルにおいて、血管透過性の亢進に対し、点眼投与で用量依存的な抑制作用を示す(ラット)13)。また、血管透過性の亢進及び結膜組織への炎症細胞の浸潤に対し、点眼投与で用量依存的な抑制作用を示す(モルモット)14)

18.3 生物学的同等性試験

  1. 18.3.1 実験的IgE誘発アレルギー性結膜炎モデル

    トラメラスPF点眼液0.5%とリザベン点眼液0.5%をラットにおける実験的IgE誘発アレルギー性結膜炎モデルを用いて比較した。結膜浮腫重量及び色素漏出量を指標とし、トラメラスPF点眼液0.5%はそれぞれ60.55mg、16.74μg/siteであり、リザベン点眼液0.5%はそれぞれ69.50mg、17.44μg/siteであった。いずれの指標においても両剤に有意差は認められず、生物学的同等性が確認された15)

  2. 18.3.2 Compound 48/80 誘発結膜炎モデル

    トラメラスPF点眼液0.5%とリザベン点眼液0.5%をラットにおけるCompound 48/80 誘発結膜炎モデルを用いて比較した。結膜浮腫重量及び色素漏出量を指標とし、トラメラスPF点眼液0.5%はそれぞれ41.01mg、11.18μg/siteであり、リザベン点眼液0.5%はそれぞれ43.33mg、11.28μg/siteであった。いずれの指標においても両剤に有意差は認められず、生物学的同等性が確認された16)

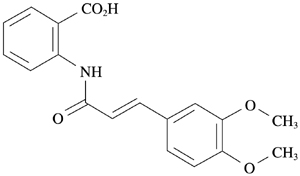
19. 有効成分に関する理化学的知見

一般的名称

トラニラスト(Tranilast)

化学名

2-{[(2E)-3-(3,4-Dimethoxyphenyl)prop-2-enoyl]amino}benzoic acid

分子式

C18H17NO5

分子量

327.33

性状

淡黄色の結晶又は結晶性の粉末である。N,N-ジメチルホルムアミドに溶けやすく、アセトニトリル、メタノール又はエタノール(99.5)に溶けにくく、水にほとんど溶けない。光によって徐々に淡い黄褐色となる。結晶多形が認められる。

化学構造式

融点

207~210℃

20. 取扱い上の注意

  1. 20.1 アルミピロー包装開封後は、遮光して保存すること。
  2. 20.2 開栓後4週間経過した場合は、残液を使用しないこと。

22. 包装

プラスチック点眼容器 5mL×10本

24. 文献請求先及び問い合わせ先

ロートニッテン株式会社 医薬情報問合せ窓口

〒457-0038 名古屋市南区桜本町40番地の2

TEL:0120-691-910 FAX:052-823-9115

26. 製造販売業者等

26.1 製造販売元

ロートニッテン株式会社

名古屋市南区桜本町40番地の2

〒100-0013 東京都千代田区霞が関3-3-2 新霞が関ビル

画面を閉じる

Copyright © Pharmaceuticals and Medical Devices Agency, All Rights reserved.