医療用医薬品 詳細表示

サンドールP点眼液

処方せん医薬品以外の医薬品

添付文書番号
企業コード
作成又は改訂年月
日本標準商品分類番号
薬効分類名
承認等
一般的名称
2.禁忌(次の患者には投与しないこと)
3.組成・性状
3.1組成
3.2製剤の性状
4.効能又は効果
6.用法及び用量
8.重要な基本的注意
9.特定の背景を有する患者に関する注意
9.1合併症・既往歴等のある患者
9.5妊婦
9.6授乳婦
9.7小児等
9.8高齢者
10.相互作用
10.2併用注意(併用に注意すること)
11.副作用
11.1重大な副作用
11.2その他の副作用
14.適用上の注意
17.臨床成績
17.1有効性及び安全性に関する試験
18.薬効薬理
18.1作用機序
18.2調節麻痺作用
18.3生物学的同等性試験
19.有効成分に関する理化学的知見
20.取扱い上の注意
22.包装
23.主要文献
24.文献請求先及び問い合わせ先
26.製造販売業者等

サンドールP点眼液

添付文書番号

1319810Q1061_1_09

企業コード

530304

作成又は改訂年月

2023年6月改訂(第1版)

日本標準商品分類番号

871319

薬効分類名

検査用散瞳点眼剤

承認等

サンドールP点眼液

販売名コード

YJコード

1319810Q1061

販売名英語表記

SANDOL P Ophthalmic Solution

販売名ひらがな

さんどーるぴーてんがんえき

承認番号等

承認番号

21900AMX00999000

販売開始年月

1999年7月

貯法・有効期間

貯法

室温保存

有効期間

3年

一般的名称

トロピカミド・フェニレフリン塩酸塩点眼液

2. 禁忌(次の患者には投与しないこと)

  1. 2.1 本剤の成分に対し過敏症の既往歴のある患者
  2. 2.2 緑内障及び狭隅角や前房が浅いなどの眼圧上昇の素因のある患者[急性閉塞隅角緑内障の発作を起こすおそれがある]

3. 組成・性状

3.1 組成

サンドールP点眼液

有効成分1mL中 日局 トロピカミド   5mg
1mL中 日局 フェニレフリン塩酸塩   5mg
添加剤イプシロン-アミノカプロン酸、ホウ酸、ベンザルコニウム塩化物、クロロブタノール、pH調節剤

3.2 製剤の性状

サンドールP点眼液

pH4.5~5.8
浸透圧比0.9~1.1
性状無色~微黄色澄明、無菌水性点眼剤

4. 効能又は効果

診断及び治療を目的とする散瞳と調節麻痺

6. 用法及び用量

  • 〈散瞳〉

    通常、1回1~2滴を点眼するか、又は1回1滴を3~5分おきに2回点眼する。
    なお、症状により適宜増減する。

  • 〈調節麻痺〉

    通常、1回1滴を3~5分おきに2~3回点眼する。
    なお、症状により適宜増減する。

8. 重要な基本的注意

  1. 8.1 本剤の点眼後、散瞳又は調節麻痺が起こるので、その症状が回復するまで機械類の操作や自動車等の運転には従事させないよう注意すること。また、サングラスを着用する等太陽光や強い光を直接見ないよう指導すること。

9. 特定の背景を有する患者に関する注意

9.1 合併症・既往歴等のある患者

  1. 9.1.1 高血圧症又は動脈硬化症の患者

    血圧上昇作用により症状が増悪するおそれがある。

  2. 9.1.2 冠不全又は心不全などの心臓疾患のある患者

    β1作用により症状が増悪するおそれがある。

  3. 9.1.3 糖尿病の患者

    糖新生促進作用により症状が増悪するおそれがある。

  4. 9.1.4 甲状腺機能亢進症の患者

    心悸亢進、頻脈等の交感神経刺激症状が増悪するおそれがある。

9.5 妊婦

  • 妊婦又は妊娠している可能性のある女性には診断又は治療上の有益性が危険性を上回ると判断される場合にのみ投与すること。

9.6 授乳婦

  • 診断又は治療上の有益性及び母乳栄養の有益性を考慮し、授乳の継続又は中止を検討すること。

9.7 小児等

  1. 9.7.1 全身の副作用が起こりやすい。
  2. 9.7.2 低出生体重児では、必要に応じて本剤を希釈して使用することが望ましい。低出生体重児の眼底検査において、徐脈、無呼吸、消化管運動低下(腹部膨満、哺乳量低下等)等が起こるとの報告がある。
  3. 9.7.3 小児等を対象とした臨床試験は実施していない。

9.8 高齢者

  • 一般に生理機能が低下している。

10. 相互作用

    10.2 併用注意(併用に注意すること)

    薬剤名等臨床症状・措置方法機序・危険因子

    MAO阻害剤:

    • セレギリン塩酸塩
      ラサギリンメシル酸塩
      サフィナミドメシル酸塩

    MAO阻害薬で治療中又は治療後3週間以内の患者では急激な血圧上昇を起こすおそれがあるので、慎重に投与すること。

    本剤の代謝酵素を阻害することにより、カテコールアミン感受性が亢進すると考えられている。

    三環系及び四環系抗うつ剤:

    • イミプラミン
      アミトリプチリン
      マプロチリン塩酸塩等

    本剤の作用が増強され、急激な血圧上昇を起こすおそれがあるので、慎重に投与すること。

    交感神経終末でのノルアドレナリン再取り込みを阻害し、受容体のアドレナリン濃度を上昇させる。

    11. 副作用

    次の副作用があらわれることがあるので、観察を十分に行い、異常が認められた場合には投与を中止するなど適切な処置を行うこと。

    11.1 重大な副作用

    1. 11.1.1 ショック、アナフィラキシー(いずれも頻度不明)

      紅斑、発疹、呼吸困難、血圧低下、眼瞼浮腫等の症状があらわれることがある。

    11.2 その他の副作用

    頻度不明

    結膜炎(結膜充血・浮腫、眼脂等)、角膜上皮障害、眼圧上昇、眼瞼炎、眼のそう痒感

    皮膚

    そう痒、発疹、蕁麻疹

    消化器

    口渇、悪心・嘔吐

    その他

    顔面潮紅、頻脈、血圧上昇、頭痛

    14. 適用上の注意

    14.1 薬剤交付時の注意

    患者に対し以下の点に注意するよう指導すること。

    • 液が変色、あるいは沈殿を生じたものを使用しないこと。
    • 本剤に含まれているベンザルコニウム塩化物はソフトコンタクトレンズに吸着されることがあるので、ソフトコンタクトレンズを装用している場合には、点眼前にレンズを外し、点眼後少なくとも5~10分間の間隔をあけて再装用すること。
    • 薬液汚染防止のため、点眼のとき、容器の先端が直接目に触れないように注意すること。
    • 患眼を開瞼して結膜嚢内に点眼し、1~5分間閉瞼して涙嚢部を圧迫させた後、開瞼すること。
    • 他の点眼剤を併用する場合には、少なくとも5分以上間隔をあけてから点眼すること。

    17. 臨床成績

    17.1 有効性及び安全性に関する試験

    1. 17.1.1 国内一般臨床試験(散瞳作用)

      一般に高齢者では瞳孔径が小さい傾向にあり、トロピカミド単独の点眼では十分な散瞳が得られないことがあるが、フェニレフリン塩酸塩を配合した0.5%トロピカミド/0.5%フェニレフリン塩酸塩点眼液では年齢に関係なく散瞳が得られ、特に40歳以上では散瞳効果の増強が著明であった1),2)

    2. 17.1.2 国内一般臨床試験(調節麻痺作用)

      屈折異常のほかは眼疾患を認めない成人8名の各1眼に0.5%トロピカミド/0.5%フェニレフリン塩酸塩点眼液を1回1滴、3分毎に3回点眼すると、点眼終了後20~30分で調節麻痺効果は最高に達し、点眼終了5~6時間後に、調節機能は正常に復した3)

    18. 薬効薬理

    18.1 作用機序

    トロピカミドはムスカリン受容体遮断薬である4)。コリン作動性刺激に対する虹彩括約筋の反応を遮断することで散瞳効果を示す。また毛様体筋の反応を遮断することで調節麻痺を発現させる5)
    フェニレフリン塩酸塩はアドレナリン受容体のうちα1受容体をほぼ選択的に刺激する6)。瞳孔散大筋の収縮作用により散瞳効果を示す7)
    トロピカミドにフェニレフリン塩酸塩を加えると、散瞳効果は増強される2)

    18.2 調節麻痺作用

    視力障害及び内斜視の小児の屈折検査のため、0.5%トロピカミド/0.5%フェニレフリン塩酸塩点眼液を1~2回点眼し、その調節麻痺効果を0.5%又は1%アトロピンの1日3回、3日間点眼の効果と比較すると、0.5%トロピカミド/0.5%フェニレフリン塩酸塩点眼液の調節麻痺作用はアトロピンより弱かった8)

    18.3 生物学的同等性試験

    1. 18.3.1 家兎における散瞳作用

      サンドールP点眼液とミドリンP点眼液を用いて、家兎眼の瞳孔面積に及ぼす効果を比較した結果、すべての観察時点において両剤に有意差は認められず、生物学的に同等であると判断された(Tukeyの多重比較)9)

    2. 18.3.2 ラットにおける散瞳作用

      サンドールP点眼液とミドリンP点眼液を用いて、ラット眼の瞳孔面積に及ぼす効果を比較した結果、すべての観察時点において両剤に有意差は認められず、生物学的に同等であると判断された(Tukeyの多重比較)10)

    19. 有効成分に関する理化学的知見

    19.1 トロピカミド

    一般的名称

    トロピカミド(Tropicamide)

    化学名

    (2RS)-N-Ethyl-3-hydroxy-2-phenyl-N-(pyridin-4-ylmethyl)propanamide

    分子式

    C17H20N2O2

    分子量

    284.35

    性状

    白色の結晶性の粉末で、においはなく、味は苦い。エタノール(95)又はクロロホルムに溶けやすく、水又はジエチルエーテルに溶けにくく、石油エーテルにほとんど溶けない。希塩酸に溶ける。1.0gを水500mLに溶かした液のpHは6.5~8.0である。

    化学構造式

    融点

    96~99℃

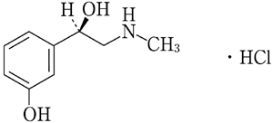
    19.2 フェニレフリン塩酸塩

    一般的名称

    フェニレフリン塩酸塩(Phenylephrine Hydrochloride)

    化学名

    (1R)-1-(3-Hydroxyphenyl)-2-methylaminoethanol monohydrochloride

    分子式

    C9H13NO2・HCl

    分子量

    203.67

    性状

    白色の結晶又は結晶性の粉末で、においはなく、味は苦い。水に極めて溶けやすく、エタノール(95)に溶けやすく、ジエチルエーテルにほとんど溶けない。1.0gを水100mLに溶かした液のpHは4.5~5.5である。

    化学構造式

    融点

    140~145℃

    20. 取扱い上の注意

    • 液が変色、あるいは沈殿を生じたものを使用しないこと。

    22. 包装

    プラスチック点眼容器 5mL×10本

    24. 文献請求先及び問い合わせ先

    ロートニッテン株式会社 医薬情報問合せ窓口

    〒457-0038 名古屋市南区桜本町40番地の2

    TEL:0120-691-910 FAX:052-823-9115

    26. 製造販売業者等

    26.1 製造販売元

    ロートニッテン株式会社

    名古屋市南区桜本町40番地の2

    〒100-0013 東京都千代田区霞が関3-3-2 新霞が関ビル

    画面を閉じる

    Copyright © Pharmaceuticals and Medical Devices Agency, All Rights reserved.