医療用医薬品 詳細表示

ヒアルロン酸ナトリウム点眼液0.1%「ニッテン」/ヒアルロン酸ナトリウム点眼液0.3%「ニッテン」

処方せん医薬品以外の医薬品

添付文書番号
企業コード
作成又は改訂年月
日本標準商品分類番号
薬効分類名
承認等
一般的名称
3.組成・性状
3.1組成
3.2製剤の性状
4.効能又は効果
6.用法及び用量
9.特定の背景を有する患者に関する注意
9.5妊婦
9.6授乳婦
9.7小児等
11.副作用
11.2その他の副作用
14.適用上の注意
16.薬物動態
16.1血中濃度
17.臨床成績
17.1有効性及び安全性に関する試験
18.薬効薬理
18.1作用機序
18.2角膜創傷治癒促進作用
18.3角膜上皮伸展促進作用
18.4保水作用
18.5生物学的同等性試験
19.有効成分に関する理化学的知見
22.包装
23.主要文献
24.文献請求先及び問い合わせ先
26.製造販売業者等

ヒアルロン酸ナトリウム点眼液0.1%「ニッテン」/ヒアルロン酸ナトリウム点眼液0.3%「ニッテン」

添付文書番号

1319720Q3124_1_07

企業コード

531077

作成又は改訂年月

2023年4月改訂(第1版)

日本標準商品分類番号

871319

薬効分類名

角結膜上皮障害治療用点眼剤

承認等

ヒアルロン酸ナトリウム点眼液0.1%「ニッテン」

販売名コード

YJコード

1319720Q3124

販売名英語表記

Sodium Hyaluronate Ophthalmic Solution

承認番号等

承認番号

22300AMX00012000

販売開始年月

2011年6月

貯法・有効期間

貯法

室温保存

有効期間

3年

基準名

日本薬局方

精製ヒアルロン酸ナトリウム点眼液

ヒアルロン酸ナトリウム点眼液0.3%「ニッテン」

販売名コード

YJコード

1319720Y2144

販売名英語表記

Sodium Hyaluronate Ophthalmic Solution

承認番号等

承認番号

23000AMX00623000

販売開始年月

2018年12月

貯法・有効期間

貯法

室温保存

有効期間

3年

基準名

日本薬局方

精製ヒアルロン酸ナトリウム点眼液

一般的名称

精製ヒアルロン酸ナトリウム

3. 組成・性状

3.1 組成

ヒアルロン酸ナトリウム点眼液0.1%「ニッテン」

有効成分1mL中 日局 精製ヒアルロン酸ナトリウム   1mg
添加剤ベンザルコニウム塩化物、イプシロン-アミノカプロン酸、エデト酸ナトリウム水和物、ポリソルベート80、pH調節剤、等張化剤

ヒアルロン酸ナトリウム点眼液0.3%「ニッテン」

有効成分1mL中 日局 精製ヒアルロン酸ナトリウム   3mg
添加剤ホウ酸、ホウ砂、クロルヘキシジングルコン酸塩、等張化剤

3.2 製剤の性状

ヒアルロン酸ナトリウム点眼液0.1%「ニッテン」

pH6.0~7.0
浸透圧比0.9~1.1
性状無色澄明、粘稠性のある無菌水性点眼剤

ヒアルロン酸ナトリウム点眼液0.3%「ニッテン」

pH6.8~7.8
浸透圧比0.9~1.1
性状無色澄明、粘稠性のある無菌水性点眼剤

4. 効能又は効果

下記疾患に伴う角結膜上皮障害

  • シェーグレン症候群、スティーブンス・ジョンソン症候群、眼球乾燥症候群(ドライアイ)等の内因性疾患
  • 術後、薬剤性、外傷、コンタクトレンズ装用等による外因性疾患

6. 用法及び用量

1回1滴、1日5~6回点眼し、症状により適宜増減する。
なお、通常は0.1%製剤を投与し、重症疾患等で効果不十分の場合には、0.3%製剤を投与する。

9. 特定の背景を有する患者に関する注意

9.5 妊婦

妊婦又は妊娠している可能性のある女性には診断又は治療上の有益性が危険性を上回ると判断される場合にのみ投与すること。

9.6 授乳婦

診断又は治療上の有益性及び母乳栄養の有益性を考慮し、授乳の継続又は中止を検討すること。

9.7 小児等

小児等を対象とした臨床試験は実施していない。

11. 副作用

次の副作用があらわれることがあるので、観察を十分に行い、異常が認められた場合には投与を中止するなど適切な処置を行うこと。

11.2 その他の副作用

1%~5%未満

1%未満

頻度不明

眼のそう痒感

眼刺激、眼脂、結膜充血、眼の異物感、眼瞼炎、結膜炎

びまん性表層角膜炎等の角膜障害、眼痛

14. 適用上の注意

14.1 薬剤交付時の注意

患者に対し以下の点に注意するよう指導すること。

  • 〈製剤共通〉

    ・薬液汚染防止のため、点眼のとき、容器の先端が直接目に触れないように注意すること。
    ・他の点眼剤を併用する場合には、少なくとも5分以上間隔をあけてから点眼すること。

  • 〈0.1%製剤〉

    ・ソフトコンタクトレンズを装用したまま使用しないこと。

16. 薬物動態

16.1 血中濃度

健康成人男性の片眼に1日目0.1%、2日目0.5%ヒアルロン酸ナトリウム点眼液1)を1回1滴、1日5回点眼し、3日目より0.5%点眼液を1日13回1)7日間点眼した。点眼開始前、3日目、9日目(最終日)及びその翌日の血清中ヒアルロン酸濃度を測定したとき、全ての被験者における全測定時点で点眼前と同様に定量下限(10μg/mL)以下であった1)

1) 本剤が承認されている濃度は0.1%及び0.3%であり、用法用量は1日5~6回点眼で、症状により適宜増減である。

17. 臨床成績

17.1 有効性及び安全性に関する試験

  1. 17.1.1 国内第Ⅲ相試験①

    ドライアイ等に伴う角結膜上皮障害患者115例を対象に、人工涙液を少なくとも1週間点眼後、0.1%ヒアルロン酸ナトリウム点眼液又はグルタチオン点眼液を1日5回、両眼に4週間点眼した結果、0.1%ヒアルロン酸ナトリウム点眼液群の改善率は71.4%(40/56例)であり、グルタチオン点眼液群の31.5%(17/54例)と比較し、有意な改善が認められた。副作用は0.1%ヒアルロン酸ナトリウム点眼液群の55例中1例(1.8%)に認められ、しみる1例のみであった2)

  2. 17.1.2 国内第Ⅲ相試験②

    ドライアイ(シェーグレン症候群を含む)に伴う中等度以上の角結膜上皮障害患者104例208眼を対象に、人工涙液を2週間1日6回点眼後、0.1%ヒアルロン酸ナトリウム点眼液(保存剤なし、ディスポーザブル製剤)及び基剤をそれぞれ片眼に1日6回、4週間点眼した結果、0.1%ヒアルロン酸ナトリウム点眼液群の改善率は51.6%(47/91眼)であり、基剤群の41.8%(38/91眼)と比較し、有意な改善が認められた。
    副作用は2例に認められ、結膜浮腫及びアレルギー性結膜炎が各1例であった3)

  3. 17.1.3 国内第Ⅲ相試験③

    難治性又は重症の角結膜上皮障害患者35例を対象に、0.3%ヒアルロン酸ナトリウム点眼液(保存剤なし、ディスポーザブル製剤)を1日6回、4週間点眼した結果、改善率は76.7%(23/30例)であった。
    副作用は35例中1例(2.9%)に認められ、かゆみ1例のみであった4)

18. 薬効薬理

18.1 作用機序

ヒアルロン酸ナトリウムはフィブロネクチンと結合し、その作用を介して上皮細胞の接着、伸展を促進すると考えられる5),6)。また、その分子内に多数の水分子を保持することによって優れた保水性を示す7)

18.2 角膜創傷治癒促進作用

外科的に角膜上皮下の基底膜まで剥離したウサギ角膜上皮剥離モデルに対し、0.1~0.5%ヒアルロン酸ナトリウムを点眼したとき、剥離24時間後より基剤点眼群と比較し有意な創傷面積の減少が認められた8)

18.3 角膜上皮伸展促進作用

ウサギ摘出角膜片の培養系において、ヒアルロン酸ナトリウムは対照群(培養液のみ)と比較して有意に角膜上皮細胞層の伸展を促進した(in vitro9)

18.4 保水作用

0.1%~1.0%ヒアルロン酸ナトリウム溶液を寒天平板に滴下したとき、水分蒸発による寒天重量の減少は濃度依存的に抑制された(in vitro7)

18.5 生物学的同等性試験

  1. 18.5.1 家兎実験的角膜上皮損傷モデルに対する効果

    家兎における実験的1-Heptanol誘発角膜上皮損傷モデルを用いて、ヒアルロン酸ナトリウム点眼液0.1%「ニッテン」及びヒアルロン酸ナトリウム点眼液0.3%「ニッテン」についてそれぞれヒアレイン点眼液0.1%及びヒアレインミニ点眼液0.3%と比較して角膜上皮創傷治癒効果を治癒率速度又は治癒率で評価した結果、両剤に有意差は認められず、生物学的に同等であると判断された10),11),2)
    〔ヒアルロン酸ナトリウム点眼液0.1%「ニッテン」の結果〕

  2. 18.5.2 家兎外科的角膜上皮損傷モデルに対する効果

    家兎における外科的角膜上皮損傷モデルを用いて、ヒアルロン酸ナトリウム点眼液0.1%「ニッテン」とヒアレイン点眼液0.1%の角膜上皮創傷治癒効果を治癒率-時間曲線下面積(AUC0-60hr)で評価した結果、両剤に有意差は認められず、生物学的に同等であると判断された12)

    治癒率-時間曲線下面積(AUC0-60hr

    治癒率のAUC0-60hr(%・hr)

    ヒアルロン酸ナトリウム点眼液0.1%「ニッテン」

    3086.44±103.66

    ヒアレイン点眼液0.1%

    3055.23±94.70

    対照

    2395.82±175.22

    (mean±S.E. n=8)

  3. 18.5.3 家兎ドライアイモデルに対する効果

    家兎強制開瞼ドライアイモデルを用いて、ヒアルロン酸ナトリウム点眼液0.3%「ニッテン」とヒアレインミニ点眼液0.3%の角膜上皮障害に対する効果を色素量で評価した結果、両剤に有意差は認められず、生物学的に同等であると判断された13),2)

    2) ヒアルロン酸ナトリウム点眼液0.3%「ニッテン」の生物学的同等性に関しては、平成23年承認のヒアルロン酸ナトリウム点眼液0.3%「TS」の申請時添付資料により評価された。

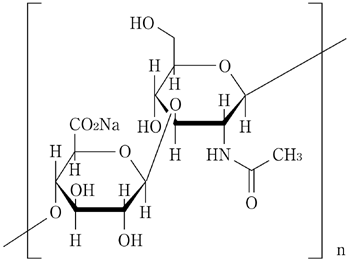
19. 有効成分に関する理化学的知見

一般的名称

精製ヒアルロン酸ナトリウム(Purified Sodium Hyaluronate)

分子式

(C14H20NNaO11)n

分子量

平均分子量50万~149万

性状

白色の粉末、粒又は繊維状の塊である。水にやや溶けにくく、エタノール(99.5)にほとんど溶けない。吸湿性である。

化学構造式

22. 包装

  • 〈ヒアルロン酸ナトリウム点眼液0.1%「ニッテン」〉
  • プラスチック点眼容器 5mL×10本、5mL×50本
  • 〈ヒアルロン酸ナトリウム点眼液0.3%「ニッテン」〉
  • プラスチック点眼容器 5mL×10本

24. 文献請求先及び問い合わせ先

ロートニッテン株式会社 医薬情報問合せ窓口

〒457-0038 名古屋市南区桜本町40番地の2

TEL:0120-691-910 FAX:052-823-9115

26. 製造販売業者等

26.1 製造販売元

ロートニッテンファーマ株式会社

名古屋市南区桜本町40番地の2

26.2 販売元

ロートニッテン株式会社

名古屋市南区桜本町40番地の2

〒100-0013 東京都千代田区霞が関3-3-2 新霞が関ビル

画面を閉じる

Copyright © Pharmaceuticals and Medical Devices Agency, All Rights reserved.