医療用医薬品 詳細表示

バルサルタン錠20mg「JG」/バルサルタン錠40mg「JG」/バルサルタン錠80mg「JG」/バルサルタン錠160mg「JG」

処方せん医薬品

添付文書番号
企業コード
作成又は改訂年月
日本標準商品分類番号
薬効分類名
承認等
一般的名称
2.禁忌(次の患者には投与しないこと)
3.組成・性状
3.1組成
3.2製剤の性状
4.効能又は効果
6.用法及び用量
7.用法及び用量に関連する注意
8.重要な基本的注意
9.特定の背景を有する患者に関する注意
9.1合併症・既往歴等のある患者
9.2腎機能障害患者
9.3肝機能障害患者
9.4生殖能を有する者
9.5妊婦
9.6授乳婦
9.7小児等
9.8高齢者
10.相互作用
10.1併用禁忌(併用しないこと)
10.2併用注意(併用に注意すること)
11.副作用
11.1重大な副作用
11.2その他の副作用
13.過量投与
14.適用上の注意
16.薬物動態
16.1血中濃度
16.4代謝
16.5排泄
16.6特定の背景を有する患者
16.8その他
17.臨床成績
17.1有効性及び安全性に関する試験
18.薬効薬理
18.1作用機序
18.2降圧作用
18.3血行動態並びに心臓に及ぼす作用
18.4腎機能に及ぼす作用
19.有効成分に関する理化学的知見
22.包装
23.主要文献
24.文献請求先及び問い合わせ先
26.製造販売業者等

バルサルタン錠20mg「JG」/バルサルタン錠40mg「JG」/バルサルタン錠80mg「JG」/バルサルタン錠160mg「JG」

添付文書番号

2149041F1080_1_12

企業コード

580591

作成又は改訂年月

**2025年9月改訂(第6版)
2025年4月改訂(第5版)

日本標準商品分類番号

872149

薬効分類名

選択的AT1受容体ブロッカー

承認等

バルサルタン錠20mg「JG」

販売名コード

YJコード

2149041F1080

販売名英語表記

Valsartan Tablets

販売名ひらがな

ばるさるたんじょう20mg「JG」

承認番号等

承認番号

22600AMX00333000

販売開始年月

2014年6月

貯法・有効期間

貯法

室温保存

有効期間

3年

基準名

日本薬局方

バルサルタン錠

バルサルタン錠40mg「JG」

販売名コード

YJコード

2149041F2086

販売名英語表記

Valsartan Tablets

販売名ひらがな

ばるさるたんじょう40mg「JG」

承認番号等

承認番号

22600AMX00334000

販売開始年月

2014年6月

貯法・有効期間

貯法

室温保存

有効期間

3年

基準名

日本薬局方

バルサルタン錠

バルサルタン錠80mg「JG」

販売名コード

YJコード

2149041F3082

販売名英語表記

Valsartan Tablets

販売名ひらがな

ばるさるたんじょう80mg「JG」

承認番号等

承認番号

22600AMX00335000

販売開始年月

2014年6月

貯法・有効期間

貯法

室温保存

有効期間

3年

基準名

日本薬局方

バルサルタン錠

バルサルタン錠160mg「JG」

販売名コード

YJコード

2149041F4089

販売名英語表記

Valsartan Tablets

販売名ひらがな

ばるさるたんじょう160mg「JG」

承認番号等

承認番号

22600AMX00336000

販売開始年月

2014年6月

貯法・有効期間

貯法

室温保存

有効期間

3年

基準名

日本薬局方

バルサルタン錠

一般的名称

バルサルタン錠

2. 禁忌(次の患者には投与しないこと)

  1. 2.1 本剤の成分に対し過敏症の既往歴のある患者
  2. 2.2 妊婦又は妊娠している可能性のある女性
  3. 2.3 アリスキレンフマル酸塩を投与中の糖尿病患者(ただし、他の降圧治療を行ってもなお血圧のコントロールが著しく不良の患者を除く)

3. 組成・性状

3.1 組成

バルサルタン錠20mg「JG」

有効成分
(1錠中)
日局 バルサルタン  20mg
添加剤  軽質無水ケイ酸、低置換度ヒドロキシプロピルセルロース、結晶セルロース、タルク、ステアリン酸マグネシウム、ヒプロメロース、マクロゴール6000、酸化チタン、黄色三二酸化鉄、カルナウバロウ

バルサルタン錠40mg「JG」

有効成分
(1錠中)
日局 バルサルタン  40mg
添加剤  軽質無水ケイ酸、低置換度ヒドロキシプロピルセルロース、結晶セルロース、タルク、ステアリン酸マグネシウム、ヒプロメロース、マクロゴール6000、酸化チタン、カルナウバロウ

バルサルタン錠80mg「JG」

有効成分
(1錠中)
日局 バルサルタン  80mg
添加剤  軽質無水ケイ酸、低置換度ヒドロキシプロピルセルロース、結晶セルロース、タルク、ステアリン酸マグネシウム、ヒプロメロース、マクロゴール6000、酸化チタン、カルナウバロウ

バルサルタン錠160mg「JG」

有効成分
(1錠中)
日局 バルサルタン  160mg
添加剤  軽質無水ケイ酸、低置換度ヒドロキシプロピルセルロース、結晶セルロース、タルク、ステアリン酸マグネシウム、ヒプロメロース、マクロゴール6000、酸化チタン、カルナウバロウ

3.2 製剤の性状

バルサルタン錠20mg「JG」

色・剤形淡黄色の割線入りのフィルムコーティング錠
外形・大きさ・重量表面
裏面
側面
直径6.1mm
厚さ2.5mm
重量62mg
識別コードJG 72

バルサルタン錠40mg「JG」

色・剤形白色の割線入りのフィルムコーティング錠
外形・大きさ・重量表面
裏面
側面
直径7.1mm
厚さ3.5mm
重量121mg
識別コードJG 73

バルサルタン錠80mg「JG」

色・剤形白色の割線入りのフィルムコーティング錠
外形・大きさ・重量表面
裏面
側面
直径8.6mm
厚さ4.3mm
重量240mg
識別コードJG 74

バルサルタン錠160mg「JG」

色・剤形白色の長楕円形をした割線入りのフィルムコーティング錠
外形・大きさ・重量表面
裏面
側面
長径15.5mm
短径6.9mm
厚さ5.6mm
重量476mg
識別コードJG 75

4. 効能又は効果

高血圧症

6. 用法及び用量

通常、成人にはバルサルタンとして40~80mgを1日1回経口投与する。なお、年齢、症状に応じて適宜増減するが、1日160mgまで増量できる。
通常、6歳以上の小児には、バルサルタンとして、体重35kg未満の場合、20mgを、体重35kg以上の場合、40mgを1日1回経口投与する。なお、年齢、体重、症状により適宜増減する。ただし、1日最高用量は、体重35kg未満の場合、40mgとする。

7. 用法及び用量に関連する注意

国内においては小児に対して、1日80mgを超える使用経験がない。

8. 重要な基本的注意

  1. 8.1 本剤を含むアンジオテンシンⅡ受容体拮抗剤投与中に肝炎等の重篤な肝障害があらわれたとの報告があるので、肝機能検査を実施するなど観察を十分に行うこと。
  2. 8.2 手術前24時間は投与しないことが望ましい。アンジオテンシンⅡ受容体拮抗剤投与中の患者は、麻酔及び手術中にレニン-アンジオテンシン系の抑制作用による低血圧を起こす可能性がある。
  3. 8.3 降圧作用に基づくめまい、ふらつきがあらわれることがあるので、高所作業、自動車の運転等危険を伴う機械を操作する際には注意させること。

9. 特定の背景を有する患者に関する注意

9.1 合併症・既往歴等のある患者

  1. 9.1.1 両側性腎動脈狭窄のある患者又は片腎で腎動脈狭窄のある患者

    治療上やむを得ないと判断される場合を除き、投与は避けること。腎血流量の減少や糸球体濾過圧の低下により急速に腎機能を悪化させるおそれがある。

  2. 9.1.2 高カリウム血症の患者

    治療上やむを得ないと判断される場合を除き、投与は避けること。高カリウム血症を増悪させるおそれがある。
    また、腎機能障害、コントロール不良の糖尿病等により血清カリウム値が高くなりやすい患者では、血清カリウム値に注意すること。

  3. 9.1.3 脳血管障害のある患者

    過度の降圧が脳血流不全を引き起こし、病態を悪化させるおそれがある。

  4. 9.1.4 厳重な減塩療法中の患者

    低用量から投与を開始し、増量する場合は徐々に行うこと。初回投与後、一過性の急激な血圧低下(失神及び意識消失等を伴う)を起こすおそれがある。

9.2 腎機能障害患者

  1. 9.2.1 重篤な腎機能障害(血清クレアチニン値が3.0mg/dL以上)のある患者

    投与量を減らすなど慎重に投与すること。腎機能障害を悪化させるおそれがある1)

  2. 9.2.2 血液透析中の患者

    低用量から投与を開始し、増量する場合は徐々に行うこと。初回投与後、一過性の急激な血圧低下(失神及び意識消失等を伴う)を起こすおそれがある。

9.3 肝機能障害患者

  1. 9.3.1 肝障害のある患者、特に胆汁性肝硬変及び胆汁うっ滞のある患者

    投与量を減らすなど慎重に投与すること。本剤は主に胆汁中に排泄されるため、血中濃度が上昇するおそれがある。外国において、軽度~中等度の肝障害患者でバルサルタンの血漿中濃度が、健康成人と比較して約2倍に上昇することが報告されている。

9.4 生殖能を有する者

  1. 9.4.1 妊娠する可能性のある女性

    妊娠していることが把握されずアンジオテンシン変換酵素阻害剤又はアンジオテンシンⅡ受容体拮抗剤を使用し、胎児・新生児への影響(腎不全、頭蓋・肺・腎の形成不全、死亡等)が認められた例が報告されている2),3)

    本剤の投与に先立ち、代替薬の有無等も考慮して本剤投与の必要性を慎重に検討し、治療上の有益性が危険性を上回ると判断される場合にのみ投与すること。また、投与が必要な場合には次の注意事項に留意すること。

    1. (1) 本剤投与開始前に妊娠していないことを確認すること。本剤投与中も、妊娠していないことを定期的に確認すること。投与中に妊娠が判明した場合には、直ちに投与を中止すること。
    2. (2) 次の事項について、本剤投与開始時に患者に説明すること。また、投与中も必要に応じ説明すること。
      • 妊娠中に本剤を使用した場合、胎児・新生児に影響を及ぼすリスクがあること。
      • 妊娠が判明した又は疑われる場合は、速やかに担当医に相談すること。
      • 妊娠を計画する場合は、担当医に相談すること。

9.5 妊婦

妊婦又は妊娠している可能性のある女性には投与しないこと。投与中に妊娠が判明した場合には、直ちに投与を中止すること。本剤を含むアンジオテンシンⅡ受容体拮抗剤並びにアンジオテンシン変換酵素阻害剤で、妊娠中期~末期に投与された患者に胎児・新生児死亡、羊水過少症、胎児・新生児の低血圧、腎不全、高カリウム血症、頭蓋の形成不全、羊水過少症によると推測される四肢の拘縮、脳、頭蓋顔面の奇形、肺の発育形成不全等があらわれたとの報告がある1),4) 。また、海外で実施されたアンジオテンシン変換酵素阻害剤におけるレトロスペクティブな疫学調査で、妊娠初期にアンジオテンシン変換酵素阻害剤を投与された患者群において、胎児奇形の相対リスクは降圧剤が投与されていない患者群に比べ高かったとの報告がある5),

9.6 授乳婦

授乳しないことが望ましい。動物実験(ラットの授乳期経口投与)の3mg/kg/日で、乳汁中へ移行するとの報告がある。また、動物実験(ラットの周産期及び授乳期経口投与)の600mg/kg/日で出生児の低体重及び生存率の低下が認められており、200mg/kg/日以上で外表分化の遅延が認められている。

9.7 小児等

  1. 9.7.1 低出生体重児、新生児、乳児又は6歳未満の幼児を対象とした臨床試験は実施していない。
  2. 9.7.2 糸球体濾過量(GFR)が30mL/min/1.73m2未満もしくは透析を受けている小児等を対象とした臨床試験は実施していない。
  3. 9.7.3 腎機能及び血清カリウム値を注意深く観察すること。小児等の高血圧では腎機能異常を伴うことが多い。特に、腎機能に影響を及ぼす状態(発熱、脱水)の患者に本剤を投与する場合や血清カリウム値を上昇させる可能性がある他の薬剤と併用する場合は注意すること。,

9.8 高齢者

  1. 9.8.1 低用量から投与を開始するなど慎重に投与すること。一般に過度の降圧は好ましくないとされている。脳梗塞等が起こるおそれがある。
  2. 9.8.2 高齢者の薬物動態試験で、本剤の血漿中濃度が非高齢者に比べて高くなることが認められている。

10. 相互作用

    10.1 併用禁忌(併用しないこと)

    薬剤名等臨床症状・措置方法機序・危険因子

    アリスキレンフマル酸塩

    • ラジレス

    (糖尿病患者に使用する場合。ただし、他の降圧治療を行ってもなお血圧のコントロールが著しく不良の患者を除く。)

    非致死性脳卒中、腎機能障害、高カリウム血症及び低血圧のリスク増加が報告されている。

    レニン-アンジオテンシン系阻害作用が増強される可能性がある。

    10.2 併用注意(併用に注意すること)

    薬剤名等臨床症状・措置方法機序・危険因子

    アリスキレンフマル酸塩

    腎機能障害、高カリウム血症及び低血圧を起こすおそれがある。
    なお、eGFRが60mL/min/1.73m2未満の腎機能障害のある患者へのアリスキレンフマル酸塩との併用については、治療上やむを得ないと判断される場合を除き避けること。

    レニン-アンジオテンシン系阻害作用が増強される可能性がある。

    アンジオテンシン変換酵素阻害剤

    腎機能障害、高カリウム血症及び低血圧を起こすおそれがある。

    レニン-アンジオテンシン系阻害作用が増強される可能性がある。

    利尿降圧剤

    • フロセミド
      トリクロルメチアジド等

    初回投与後、一過性の急激な血圧低下(失神及び意識消失等を伴う)を起こすおそれがある。低用量から本剤の投与を開始し、増量する場合は徐々に行うこと。

    利尿降圧剤で治療を受けている患者にはレニン活性が亢進している患者が多く、本剤が奏効しやすい。
    重度のナトリウムないし体液量の減少した患者では、まれに症候性の低血圧が生じることがある。

    カリウム保持性利尿剤

    • スピロノラクトン
      トリアムテレン等

    カリウム補給製剤

    • 塩化カリウム

    血清カリウム値が上昇することがある。

    本剤のアルドステロン分泌抑制によりカリウム貯留作用が増強する可能性がある。
    危険因子:腎機能障害

    ドロスピレノン・エチニルエストラジオール

    血清カリウム値が上昇することがある。

    本剤による血清カリウム値の上昇とドロスピレノンの抗ミネラルコルチコイド作用によると考えられる。
    危険因子:腎障害患者、血清カリウム値の高い患者

    シクロスポリン

    血清カリウム値が上昇することがある。

    高カリウム血症の副作用が相互に増強されると考えられる。

    トリメトプリム含有製剤

    • スルファメトキサゾール・トリメトプリム

    血清カリウム値が上昇することがある。

    ⾎清カリウム値の上昇が増強されるおそれがある。

    非ステロイド性消炎鎮痛剤(NSAIDs)

    • インドメタシン等

    本剤の降圧作用が減弱することがある。

    NSAIDsの腎プロスタグランジン合成阻害作用により、本剤の降圧作用が減弱することがある。

    非ステロイド性消炎鎮痛剤(NSAIDs)

    • インドメタシン等

    腎機能を悪化させるおそれがある。

    NSAIDsの腎プロスタグランジン合成阻害作用により、腎血流量が低下するためと考えられる。
    危険因子:高齢者

    ビキサロマー

    本剤の血中濃度が約30~40%に低下したとの報告がある。本剤の作用が減弱するおそれがある。

    リン酸結合性ポリマーにより、同時に服用した場合、本剤の吸収を遅延あるいは減少させる可能性がある。

    リチウム

    リチウム中毒を起こすことが報告されている。

    本剤のナトリウム排泄作用により、リチウムの蓄積が起こると考えられている。

    11. 副作用

    次の副作用があらわれることがあるので、観察を十分に行い、異常が認められた場合には投与を中止するなど適切な処置を行うこと。

    11.1 重大な副作用

    1. 11.1.1 **血管性浮腫(頻度不明)

      **顔面、口唇、咽頭、舌の腫脹等が症状としてあらわれることがある。また、腹痛、嘔気、嘔吐、下痢等を伴う腸管血管性浮腫があらわれることがある。

    2. 11.1.2 肝炎(頻度不明)

    3. 11.1.3 腎不全(0.1%未満)
    4. 11.1.4 高カリウム血症(0.1%未満)
    5. 11.1.5 ショック(頻度不明)、失神(頻度不明)、意識消失(0.1%未満)

      冷感、嘔吐、意識消失等があらわれた場合には、直ちに適切な処置を行うこと。,,

    6. 11.1.6 無顆粒球症(頻度不明)、白血球減少(頻度不明)、血小板減少(0.1%未満)
    7. 11.1.7 間質性肺炎(頻度不明)

      発熱、咳嗽、呼吸困難、胸部X線異常等を伴う間質性肺炎があらわれることがあるので、このような場合には投与を中止し、副腎皮質ホルモン剤の投与等の適切な処置を行うこと。

    8. 11.1.8 低血糖(頻度不明)

      脱力感、空腹感、冷汗、手の震え、集中力低下、痙攣、意識障害等があらわれた場合には投与を中止し、適切な処置を行うこと。糖尿病治療中の患者であらわれやすい。

    9. 11.1.9 横紋筋融解症(0.1%未満)

      筋肉痛、脱力感、CK上昇、血中及び尿中ミオグロビン上昇を特徴とする横紋筋融解症があらわれることがあるので、このような場合には直ちに投与を中止し、適切な処置を行うこと。

    10. 11.1.10 中毒性表皮壊死融解症(Toxic Epidermal Necrolysis:TEN)、皮膚粘膜眼症候群(Stevens-Johnson症候群)、多形紅斑(いずれも頻度不明)
    11. 11.1.11 天疱瘡、類天疱瘡(いずれも頻度不明)

      水疱、びらん等があらわれた場合には、皮膚科医と相談すること。

    11.2 その他の副作用

    0.1~5%未満

    0.1%未満

    頻度不明

    過敏症

    発疹、そう痒

    蕁麻疹、紅斑

    光線過敏症

    精神神経系

    めまい、頭痛

    眠気、不眠

    血液

    白血球減少、好酸球増多、貧血

    循環器

    低血圧、動悸

    頻脈、心房細動

    消化器

    嘔気、腹痛

    嘔吐、下痢、便秘、口渇、食欲不振

    肝臓

    AST、ALT、LDH、ALP、ビリルビン値の上昇

    呼吸器

    咳嗽

    咽頭炎

    腎臓

    血中尿酸値上昇、BUN上昇、血清クレアチニン上昇

    電解質

    血清カリウム値上昇

    低ナトリウム血症

    その他

    けん怠感、浮腫、CK上昇

    胸痛、疲労感、しびれ、味覚異常、ほてり、血糖値上昇、血清コレステロール上昇、血清総蛋白減少、腰背部痛、脱力感、耳鳴

    筋肉痛、関節痛、発熱

    注)発現頻度は使用成績調査の結果を含む。

    13. 過量投与

    1. 13.1 症状

      本剤の過量投与により、著しい血圧低下が生じ、意識レベルの低下、循環虚脱に至るおそれがある。

    2. 13.2 処置

      著しい低血圧の場合には、患者を仰臥位にし、速やかに生理食塩液等の静脈注射など適切な処置を行うこと。
      なお、バルサルタンの血漿タンパクとの結合率は93%以上であり、血液透析によって除去できない。

    14. 適用上の注意

    14.1 薬剤交付時の注意

    PTP包装の薬剤はPTPシートから取り出して服用するよう指導すること。PTPシートの誤飲により、硬い鋭角部が食道粘膜へ刺入し、更には穿孔をおこして縦隔洞炎等の重篤な合併症を併発することがある。

    16. 薬物動態

    16.1 血中濃度

    1. 16.1.1 単回投与

      健康成人男子にバルサルタン20、40、80及び160mg(80mg×2)を単回経口投与した場合、速やかに吸収され、血漿中の未変化体は投与後2~3時間で最高濃度に到達した。また、Cmax及びAUCは160mg投与まで投与量の増加に比例して増大し、消失半減期は4~6時間であった6)

      投与量

      Tmax
      (h

      Cmax
      (μg/mL)

      AUC
      (μg・h/mL)

      T1/2
      (h)

      20mg

      2

      0.86±0.53

      5.2±3.1

      3.7±0.8

      40mg

      3

      1.37±0.53

      8.9±4.0

      4.0±1.3

      80mg

      3

      2.83±0.92

      18.0±5.8

      3.9±0.6

      160mg

      3

      5.26±2.30

      33.9±18.9

      5.7±1.8

      n=6、平均±標準偏差 ※:中央値

      体重が35kg未満又は35kg以上の小児患者(7から14歳の高血圧症、慢性腎臓病、もしくはネフローゼ症候群の患者)にそれぞれ20mg又は40mgのバルサルタンを単回投与したときのCmax及びAUCは以下のとおりであった7)

      投与量

      体重
      (kg

      Cmax
      (μg/mL)

      AUC
      (μg・h/mL)

      20mg

      20.2~31.3

      2.45±0.86

      12.0±3.9

      40mg

      38.8~61.5

      2.11±0.84

      11.3±6.1

      n=6、平均±標準偏差 ※:範囲(最小値~最大値)

    2. 16.1.2 反復投与

      健康成人男子にバルサルタン160mg(80mg×2)を1日1回7日間反復経口投与したとき、血漿中の未変化体濃度の投与回数に伴う上昇は認められなかった。また、初回及び投与7日目の薬物動態パラメータはほぼ同等であり、蓄積性は認められなかった8)

    3. 16.1.3 生物学的同等性試験
      • 〈バルサルタン錠40mg「JG」〉

        バルサルタン錠40mg「JG」とディオバン錠40mgを、クロスオーバー法によりそれぞれ1錠(バルサルタンとして40mg)健康成人男子に絶食単回経口投与して血漿中未変化体濃度を測定し、得られた薬物動態パラメータ(AUC、Cmax)について90%信頼区間法にて統計解析を行った結果、log(0.80)~log(1.25)の範囲内であり、両剤の生物学的同等性が確認された9)

        薬物動態パラメータ

        判定パラメータ

        参考パラメータ

        AUC0-24
        (μg・hr/mL)

        Cmax
        (μg/mL)

        Tmax
        (hr)

        T1/2
        (hr)

        バルサルタン錠40mg「JG」

        13.41±3.89

        2.22±0.65

        2.8±0.9

        5.9±0.8

        ディオバン錠40mg

        12.33±3.63

        2.04±0.60

        2.8±0.9

        5.9±0.9

        (Mean±S.D., n=75)

        血漿中濃度並びにAUC、Cmax等のパラメータは、被験者の選択、体液の採取回数・時間等の試験条件によって異なる可能性がある。

      • 〈バルサルタン錠80mg「JG」〉

        バルサルタン錠80mg「JG」とディオバン錠80mgを、クロスオーバー法によりそれぞれ1錠(バルサルタンとして80mg)健康成人男子に絶食単回経口投与して血漿中未変化体濃度を測定し、得られた薬物動態パラメータ(AUC、Cmax)について90%信頼区間法にて統計解析を行った結果、log(0.80)~log(1.25)の範囲内であり、両剤の生物学的同等性が確認された10)

        薬物動態パラメータ

        判定パラメータ

        参考パラメータ

        AUC0-24
        (μg・hr/mL)

        Cmax
        (μg/mL)

        Tmax
        (hr)

        T1/2
        (hr)

        バルサルタン錠80mg「JG」

        20.84±6.41

        3.44±1.09

        3.0±0.9

        6.1±1.0

        ディオバン錠80mg

        21.06±6.74

        3.54±1.08

        3.0±0.9

        6.1±0.8

        (Mean±S.D., n=59)

        血漿中濃度並びにAUC、Cmax等のパラメータは、被験者の選択、体液の採取回数・時間等の試験条件によって異なる可能性がある。

      • 〈バルサルタン錠160mg「JG」〉

        バルサルタン錠160mg「JG」とディオバン錠160mgを、クロスオーバー法によりそれぞれ1錠(バルサルタンとして160mg)健康成人男子に絶食単回経口投与して血漿中未変化体濃度を測定し、得られた薬物動態パラメータ(AUC、Cmax)について90%信頼区間法にて統計解析を行った結果、log(0.80)~log(1.25)の範囲内であり、両剤の生物学的同等性が確認された11)

        薬物動態パラメータ

        判定パラメータ

        参考パラメータ

        AUC0-24
        (μg・hr/mL)

        Cmax
        (μg/mL)

        Tmax
        (hr)

        T1/2
        (hr)

        バルサルタン錠160mg「JG」

        38.18±13.91

        6.55±1.99

        2.4±1.1

        6.8±1.8

        ディオバン錠160mg

        39.07±11.22

        6.41±1.67

        3.4±0.9

        6.2±1.3

        (Mean±S.D., n=17)

        血漿中濃度並びにAUC、Cmax等のパラメータは、被験者の選択、体液の採取回数・時間等の試験条件によって異なる可能性がある。

    16.4 代謝

    健康成人男子に14Cバルサルタン80mgを空腹時単回経口投与8時間後の血漿中には、主として未変化体が存在し、その他に代謝物として4-ヒドロキシ体が認められ12)in vitroの試験において主としてCYP2C9の関与が示唆されている13) (外国人のデータ)。

    16.5 排泄

    健康成人男子に14Cバルサルタン80mgを空腹時単回経口投与した後の排泄率は以下のとおりであった12) (外国人のデータ)。

    糞中

    尿中

    総排泄率

    86%(168時間値)

    13%(168時間値)

    未変化体

    71%(12~72時間値)

    10%(48時間値)

    4-ヒドロキシ体

    8%(12~72時間値)

    1%(48時間値)

    健康成人男子にバルサルタン20、40、80及び160mg(80mg×2)を空腹時単回経口投与した際、投与後48時間までに投与量の9~14%が未変化体として尿中に排泄された6)

    16.6 特定の背景を有する患者

    1. 16.6.1 高齢者

      65歳以上の健康成人にバルサルタン80mgを単回経口投与したときの血漿中の未変化体濃度推移は、65歳未満の健康成人に投与した場合に比べてCmaxが1.2倍、AUCが1.7倍高く、AUC及び消失半減期において有意な差(P<0.05)が認められた14) (外国人のデータ)。

    16.8 その他

    バルサルタン錠20mg「JG」は、「含量が異なる経口固形製剤の生物学的同等性試験ガイドライン(平成24年2月29日 薬食審査発0229第10号 別紙2)」に基づき、バルサルタン錠40mg「JG」を標準製剤とした溶出試験の結果、溶出挙動は同等と判定され、生物学的に同等とみなされた15)

    17. 臨床成績

    17.1 有効性及び安全性に関する試験

    1. 17.1.1 国内臨床試験(第Ⅱ相及び第Ⅲ相)

      疾患名

      下降(降圧率)

      「判定不能」を含む

      「判定不能」を除く

      本態性高血圧症16),17),18),19),20),21),22),23),24)

      74.1%
      (366/494)

      79.7%
      (366/459)

      腎障害を伴う高血圧症25)

      82.8%
      (24/29)

      82.8%
      (24/29)

      重症高血圧症26)

      77.4%
      (24/31)

      85.7%
      (24/28)

      合計

      74.7%
      (414/554)

      80.2%
      (414/516)

      なお、本態性高血圧症(軽症~中等症)患者を対象とした二重盲検比較試験で、本剤の有用性が認められている。
      本態性高血圧症(軽症~中等症)患者に、1日1回40~160mgを12~36週間経口投与した際、心ポンプ機能に有意な変動を認めず、末梢血管抵抗を減少させ安定した降圧作用を示した23)
      本態性高血圧症(軽症~中等症)患者に、1日1回40~160mgを12週間経口投与した際、血清脂質・糖代謝に有意な変動を認めず、良好な降圧効果を示した24)

    2. 17.1.2 国内第Ⅱ相試験

      本態性高血圧症(軽症~中等症)患者に、1日1回20~160mgを52週間経口投与した際、バルサルタン単独療法、利尿降圧薬併用療法及びCa拮抗薬併用療法のいずれにおいても耐薬性を認めることなく、安定した降圧作用が維持された27)

      下降(降圧率)

      「判定不能」を含む

      「判定不能」を除く

      単独療法

      64.3%
      (45/70)

      78.9%
      (45/57)

      利尿降圧薬併用

      77.3%
      (17/22)

      77.3%
      (17/22)

      Ca拮抗薬併用

      66.7%
      (8/12)

      66.7%
      (8/12)

      合計

      67.3%
      (70/104)

      76.9%
      (70/91)

      副作用発現頻度は、単独療法で20.0%(14/70例)、利尿降圧薬併用療法で18.2%(4/22例)及びCa拮抗薬併用療法で25.0%(3/12例)であった。主な副作用は、単独療法で動悸及びLDH上昇がいずれも4.3%(3/70例)、利尿降圧薬併用療法で頭重感、鼻水、咳、AST上昇、ALT上昇及び尿酸上昇がいずれも4.5%(1/22例)、Ca拮抗薬併用療法で咳、夜間頻尿、ALT上昇、BUN上昇、血清クレアチニン上昇及び尿酸上昇がいずれも8.3%(1/12例)であった。

    18. 薬効薬理

    18.1 作用機序

    バルサルタンはアンジオテンシンⅡ受容体のサブタイプであるAT1受容体に選択的に結合し、昇圧系として作用するアンジオテンシンⅡに対して受容体レベルでは競合的に拮抗することが明らかにされている28)

    1. 18.1.1 バルサルタンはラット大動脈平滑筋において、AT1受容体に対するアンジオテンシンⅡの結合を競合的に阻害する29) 。また、AT1受容体以外の受容体に対してほとんど親和性を示さない。
    2. 18.1.2 バルサルタンはウサギ摘出大動脈リング標本において、ノルアドレナリン、セロトニン及び塩化カリウムによる収縮に対しては抑制作用を示さず、アンジオテンシンⅡによる収縮を特異的に抑制する30)
    3. 18.1.3 バルサルタンは経口投与により、脊髄破壊ラットにおける交感神経刺激及びノルアドレナリンによる昇圧反応の抑制作用を示さず、アンジオテンシンⅡによる昇圧反応を特異的に抑制する30)
    4. 18.1.4 バルサルタンはウシ副腎球状層細胞におけるアンジオテンシンⅡによるアルドステロンの産生を有意に抑制する28),30)
    5. 18.1.5 バルサルタンはヒト気管支上皮細胞のACE活性とブラジキニン分解に影響を及ぼさない31)

    18.2 降圧作用

    1. 18.2.1 バルサルタンは経口投与により、腎性高血圧ラット、自然発症高血圧ラット(SHR)、ナトリウム枯渇マーモセットの血圧を用量依存的に下降させるが、DOCA/salt型高血圧ラットの血圧には影響を及ぼさない32)
    2. 18.2.2 バルサルタンは連続(4週)経口投与後に休薬しても、腎性高血圧ラット、自然発症高血圧ラット(SHR)において、リバウンド現象を示さない32)
    3. 18.2.3 バルサルタンは長期連続(44週)経口投与により、脳卒中易発症性自然発症高血圧ラット(SHR-SP)の血圧を持続的に下降させるが、心拍数の著変を示さない。また、長期連続(48週)経口投与により、大動脈血管の肥厚を抑制する32)

    18.3 血行動態並びに心臓に及ぼす作用

    1. 18.3.1 バルサルタンは経口投与により、自然発症高血圧ラット(SHR)の臓器血流量を減少させることなく、腎血流量を有意に増加する33)
    2. 18.3.2 バルサルタンは連続(4週)経口投与により虚血性心不全モデルラットの心肥大を、長期連続(48週)経口投与により脳卒中易発症性自然発症高血圧ラット(SHR-SP)の心肥大を抑制する34)

    18.4 腎機能に及ぼす作用

    バルサルタンは連続経口投与により、腎部分除去ラット(6週)及び脳卒中易発症性自然発症高血圧ラット(SHR-SP)(32週、40週、44週)の腎障害の悪化を抑制する34)

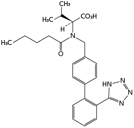
    19. 有効成分に関する理化学的知見

    一般的名称

    バルサルタン(Valsartan)

    化学名

    (2S)-3-Methyl-2-(N-{[2’-(1H-tetrazol-5-yl)biphenyl-4-yl]methyl}pentanamido)butanoic acid

    分子式

    C24H29N5O3

    分子量

    435.52

    性状

    白色の粉末である。
    メタノール又はエタノール(99.5)に極めて溶けやすく、水にほとんど溶けない。

    化学構造式

    22. 包装

    • 〈バルサルタン錠20mg「JG」〉

      140錠[14錠(PTP)×10]

    • 〈バルサルタン錠40mg「JG」〉

      *140錠[14錠(PTP)×10]

    • 〈バルサルタン錠80mg「JG」〉

      140錠[14錠(PTP)×10]
      700錠[14錠(PTP)×50]

    • 〈バルサルタン錠160mg「JG」〉

      100錠[10錠(PTP)×10]

    23. 主要文献

    1) Sheps, S.G. et al.:Arch. Intern. Med. 1997;157(21):2413-2446

    2) 阿部真也 他:周産期医学 2017;47:1353-1355

    3) 齊藤大祐 他:鹿児島産科婦人科学会雑誌 2021;29:49-54

    4) Briggs, G.G. et al.:Ann. Pharmacother. 2001;35(7-8):859-861

    5) Cooper, W.O. et al.:N. Engl. J. Med. 2006;354(23):2443-2451

    6) 丁宗鉄 他:臨床医薬 1998;14(10):1703-1725

    7) 医療上の必要性の高い未承認薬・適応外薬検討会議 公知申請への該当性に係る報告書:バルサルタン(小児高血圧症)

    8) 丁宗鉄 他:臨床医薬 1998;14(10):1727-1743

    9) 社内資料:生物学的同等性試験(錠40mg)

    10) 社内資料:生物学的同等性試験(錠80mg)

    11) 社内資料:生物学的同等性試験(錠160mg)

    12) Waldmeier, F. et al.:Xenobiotica. 1997;27(1):59-71

    13) Nakashima, A. et al.:Xenobiotica. 2005;35(6):589-602

    14) Sioufi, A. et al.:Biopharm. Drug Dispos. 1998;19(4):237-244

    15) 社内資料:生物学的同等性試験(錠20mg)

    16) 前期第Ⅱ相プレパイロット試験(ディオバン錠:2000年9月22日承認、申請資料概要 ト.1.(2).1))

    17) 前期第Ⅱ相パイロット試験(ディオバン錠:2000年9月22日承認、申請資料概要 ト.1.(2).2))

    18) 前期第Ⅱ相血圧日内変動試験(ディオバン錠:2000年9月22日承認、申請資料概要 ト.1.(2).3))

    19) 後期第Ⅱ相単独療法試験(ディオバン錠:2000年9月22日承認、申請資料概要 ト.1.(3).1))

    20) 後期第Ⅱ相利尿薬併用療法試験(ディオバン錠:2000年9月22日承認、申請資料概要 ト.1.(3).2))

    21) 後期第Ⅱ相Ca拮抗薬併用療法試験(ディオバン錠:2000年9月22日承認、申請資料概要 ト.1.(3).2))

    22) 第Ⅲ相比較試験(ディオバン錠:2000年9月22日承認、申請資料概要 ト.1.(4))

    23) 市川秀一 他:臨床医薬 1998;14(10):1859-1878

    24) 梶山梧朗 他:臨床医薬 1998;14(10):1879-1900

    25) 吉永馨 他:臨床医薬 1998;14(10):1923-1949

    26) 吉永馨 他:臨床医薬 1998;14(10):1901-1921

    27) 吉永馨 他:臨床医薬 2000;16(2):207-244

    28) 効力を裏付ける試験(総括)(ディオバン錠:2000年9月22日承認、申請資料概要 ホ.1)

    29) De Gasparo, M. et al.:Regul. Pept. 1995;59(3):303-311

    30) Criscione, L. et al.:Br. J. Pharmacol. 1993;110(2):761-771

    31) Takimoto, M. et al.: Eur. J. Pharmacol. 1999;370(2):169-177

    32) 降圧作用(ディオバン錠:2000年9月22日承認、申請資料概要 ホ.1.(1).1))

    33) 血行動態並びに心臓に及ぼす影響(ディオバン錠:2000年9月22日承認、申請資料概要 ホ.1.(1).2))

    34) 腎機能に及ぼす影響(ディオバン錠:2000年9月22日承認、申請資料概要 ホ.1.(1).3))

    24. 文献請求先及び問い合わせ先

    日本ジェネリック株式会社 お客さま相談室

    〒108-0014 東京都港区芝五丁目33番11号

    TEL 0120-893-170 FAX 0120-893-172

    26. 製造販売業者等

    26.1 製造販売元

    日本ジェネリック株式会社

    東京都港区芝五丁目33番11号

    〒100-0013 東京都千代田区霞が関3-3-2 新霞が関ビル

    画面を閉じる

    Copyright © Pharmaceuticals and Medical Devices Agency, All Rights reserved.