医療用医薬品 詳細表示

エゼアト配合錠LD「JG」/エゼアト配合錠HD「JG」

処方せん医薬品

添付文書番号
企業コード
作成又は改訂年月
日本標準商品分類番号
薬効分類名
承認等
一般的名称
2.禁忌(次の患者には投与しないこと)
3.組成・性状
3.1組成
3.2製剤の性状
4.効能又は効果
5.効能又は効果に関連する注意
6.用法及び用量
7.用法及び用量に関連する注意
8.重要な基本的注意
9.特定の背景を有する患者に関する注意
9.1合併症・既往歴等のある患者
9.2腎機能障害患者
9.3肝機能障害患者
9.5妊婦
9.6授乳婦
9.7小児等
9.8高齢者
10.相互作用
10.1併用禁忌(併用しないこと)
10.2併用注意(併用に注意すること)
11.副作用
11.1重大な副作用
11.2その他の副作用
14.適用上の注意
15.その他の注意
15.1臨床使用に基づく情報
15.2非臨床試験に基づく情報
16.薬物動態
16.1血中濃度
16.2吸収
16.3分布
16.4代謝
16.5排泄
16.6特定の背景を有する患者
16.7薬物相互作用
16.8その他
17.臨床成績
17.1有効性及び安全性に関する試験
18.薬効薬理
18.1作用機序
18.2エゼチミブ
18.3アトルバスタチン
19.有効成分に関する理化学的知見
20.取扱い上の注意
22.包装
23.主要文献
24.文献請求先及び問い合わせ先
26.製造販売業者等

エゼアト配合錠LD「JG」/エゼアト配合錠HD「JG」

添付文書番号

2189101F1038_1_07

企業コード

580591

作成又は改訂年月

**2024年9月改訂(第7版)
2024年6月改訂(第6版)

日本標準商品分類番号

872189

薬効分類名

小腸コレステロールトランスポーター阻害剤/HMG-CoA還元酵素阻害剤配合剤

承認等

エゼアト配合錠LD「JG」

販売名コード

YJコード

2189101F1038

販売名英語表記

EzeAto Combination Tablets

販売名ひらがな

えぜあとはいごうじょうLD「JG」

承認番号等

承認番号

30500AMX00083000

販売開始年月

2023年9月

貯法・有効期間

貯法

室温保存

有効期間

3年

エゼアト配合錠HD「JG」

販売名コード

YJコード

2189101F2034

販売名英語表記

EzeAto Combination Tablets

販売名ひらがな

えぜあとはいごうじょうHD「JG」

承認番号等

承認番号

30500AMX00084000

販売開始年月

2023年9月

貯法・有効期間

貯法

室温保存

有効期間

3年

一般的名称

エゼチミブ/アトルバスタチンカルシウム水和物配合錠

2. 禁忌(次の患者には投与しないこと)

  1. 2.1 本剤の成分に対し過敏症の既往歴のある患者
  2. 2.2 重篤な肝機能障害のある患者及び肝代謝能が低下していると考えられる以下のような患者
    急性肝炎、慢性肝炎の急性増悪、肝硬変、肝癌、黄疸,
  3. 2.3 妊婦又は妊娠している可能性のある女性及び授乳婦,
  4. 2.4 グレカプレビル・ピブレンタスビルを投与中の患者

3. 組成・性状

3.1 組成

エゼアト配合錠LD「JG」

有効成分
(1錠中)
  エゼチミブ 10.0mg
日局 アトルバスタチンカルシウム水和物 10.8mg(アトルバスタチンとして10mg)
添加剤  乳糖水和物、結晶セルロース、クロスカルメロースナトリウム、ポビドン、ラウリル硫酸ナトリウム、ステアリン酸マグネシウム、ヒドロキシプロピルセルロース、沈降炭酸カルシウム、ポリソルベート80、ヒプロメロース、プロピレングリコール、酸化チタン、タルク、カルナウバロウ

エゼアト配合錠HD「JG」

有効成分
(1錠中)
  エゼチミブ 10.0mg
日局 アトルバスタチンカルシウム水和物 21.7mg(アトルバスタチンとして20mg)
添加剤  乳糖水和物、結晶セルロース、クロスカルメロースナトリウム、ポビドン、ラウリル硫酸ナトリウム、ステアリン酸マグネシウム、ヒドロキシプロピルセルロース、沈降炭酸カルシウム、ポリソルベート80、ヒプロメロース、プロピレングリコール、酸化チタン、タルク、カルナウバロウ

3.2 製剤の性状

エゼアト配合錠LD「JG」

色・剤形白色の長円形のフィルムコーティング錠
外形・大きさ・重量表面
裏面
側面
長径13.6mm
短径6.1mm
厚さ4.3mm
重量312mg
本体表示エゼアト
LD JG

エゼアト配合錠HD「JG」

色・剤形白色の長円形のフィルムコーティング錠
外形・大きさ・重量表面
裏面
側面
長径14.8mm
短径6.5mm
厚さ4.7mm
重量415mg
本体表示エゼアト
HD JG

4. 効能又は効果

高コレステロール血症、家族性高コレステロール血症

5. 効能又は効果に関連する注意

  1. 5.1 本剤を高コレステロール血症、家族性高コレステロール血症の治療の第一選択薬として用いないこと。
  2. 5.2 適用の前に十分な検査を実施し、高コレステロール血症、家族性高コレステロール血症であることを確認した上で本剤の適用を考慮すること。
  3. 5.3 ホモ接合体性家族性高コレステロール血症については、LDLアフェレーシス等の非薬物療法の補助として、あるいはそれらの治療法が実施不能な場合に本剤の適用を考慮すること。

6. 用法及び用量

通常、成人には1日1回1錠(エゼチミブ/アトルバスタチンとして10mg/10mg又は10mg/20mg)を食後に経口投与する。

7. 用法及び用量に関連する注意

  1. 7.1 以下のエゼチミブとアトルバスタチンカルシウム水和物の用法及び用量を踏まえ、患者毎に本剤の適用を考慮すること。
    • エゼチミブ

      通常、成人にはエゼチミブとして1回10mgを1日1回食後経口投与する。なお、年齢、症状により適宜減量する。

    • アトルバスタチンカルシウム水和物
      〈高コレステロール血症〉

      通常、成人にはアトルバスタチンとして10mgを1日1回経口投与する。
      なお、年齢、症状により適宜増減するが、重症の場合は1日20mgまで増量できる。

    • 〈家族性高コレステロール血症〉

      通常、成人にはアトルバスタチンとして10mgを1日1回経口投与する。
      なお、年齢、症状により適宜増減するが、重症の場合は1日40mgまで増量できる。

  2. 7.2 原則として、エゼチミブ10mg及びアトルバスタチンとして10mgを併用している場合、あるいはアトルバスタチンとして10mgを使用し効果不十分な場合に、本剤LD(エゼチミブ/アトルバスタチンとして10mg/10mg)の適用を検討すること。
  3. 7.3 原則として、エゼチミブ10mg及びアトルバスタチンとして20mgを併用している場合、あるいはアトルバスタチンとして20mg又はエゼチミブ/アトルバスタチンとして10mg/10mgを使用し効果不十分な場合に、本剤HD(エゼチミブ/アトルバスタチンとして10mg/20mg)の適用を検討すること。

8. 重要な基本的注意

  1. 8.1 本剤は、エゼチミブ10mgとアトルバスタチンとして10mgあるいは20mgとの配合剤であり、エゼチミブとアトルバスタチン双方の副作用が発現するおそれがあるため、適切に本剤の使用を検討すること。
  2. 8.2 あらかじめ高コレステロール血症治療の基本である食事療法を行い、更に運動療法や、高血圧・喫煙等の虚血性心疾患のリスクファクターの軽減等も十分考慮すること。
  3. 8.3 投与中は血中脂質値を定期的に検査し、治療に対する反応が認められない場合には投与を中止すること。
  4. 8.4 アトルバスタチン投与中に劇症肝炎等の肝炎があらわれることがあるので、悪心・嘔吐、倦怠感等の症状があらわれた場合には投与を中止し、医師等に連絡するよう患者に指導すること。本剤の投与開始又はアトルバスタチンの増量時より12週までの間に1回以上、それ以降は定期的(半年に1回等)に肝機能検査を行うこと。
  5. 8.5 無顆粒球症、汎血球減少症、血小板減少症があらわれることがあるので、定期的に検査を行うなど十分な観察を行うこと。
  6. 8.6 高血糖、糖尿病があらわれることがあるので、口渇、頻尿、全身倦怠感等の症状の発現に注意するとともに、定期的に検査を行うなど十分な観察を行うこと。
  7. 8.7 甲状腺機能低下症、閉塞性胆のう胆道疾患、慢性腎不全、膵炎等の疾患の合併、血清脂質に悪影響を与える薬剤の服用等の二次的要因により高脂血症を呈している場合は、原疾患の治療、薬剤の切り替え等を可能な限り実施した上で本剤での治療を考慮すること。
  8. 8.8 エゼチミブとフィブラート系薬剤の併用に関しては、使用経験が限られている。併用する場合は、胆石症などの副作用の発現に注意すること。フィブラート系薬剤では胆汁へのコレステロール排泄を増加させ、胆石形成がみられることがある。エゼチミブはイヌで胆のう胆汁中のコレステロール濃度の上昇が報告されている。,

9. 特定の背景を有する患者に関する注意

9.1 合併症・既往歴等のある患者

  1. 9.1.1 糖尿病患者

    エゼチミブでは空腹時血糖の上昇及びアトルバスタチンでは糖尿病の悪化が報告されている。

  2. 9.1.2 横紋筋融解症があらわれやすいとの報告がある以下の患者
    • 甲状腺機能低下症の患者
    • 遺伝性の筋疾患(筋ジストロフィー等)又はその家族歴のある患者
    • 薬剤性の筋障害の既往歴のある患者
    • アルコール中毒患者

    アトルバスタチンでは横紋筋融解症があらわれやすいとの報告がある。

  3. 9.1.3 重症筋無力症又はその既往歴のある患者

    重症筋無力症(眼筋型、全身型)が悪化又は再発することがある。

9.2 腎機能障害患者

  1. 9.2.1 腎障害又はその既往歴のある患者

    アトルバスタチンでは横紋筋融解症の報告例の多くが腎機能障害を有する患者であり、また、横紋筋融解症に伴って急激な腎機能の悪化が認められている。

  2. 9.2.2 腎機能検査値異常のある患者

    本剤とフィブラート系薬剤を併用する場合には、治療上やむを得ないと判断される場合にのみ併用すること。急激な腎機能悪化を伴う横紋筋融解症があらわれやすい。やむを得ず併用する場合には、定期的に腎機能検査等を実施し、自覚症状(筋肉痛、脱力感)の発現、CK上昇、血中及び尿中ミオグロビン上昇並びに血清クレアチニン上昇等の腎機能の悪化を認めた場合は直ちに投与を中止すること。,

9.3 肝機能障害患者

  1. 9.3.1 重篤な肝機能障害のある患者及び肝代謝能が低下していると考えられる以下のような患者
    • 急性肝炎、慢性肝炎の急性増悪、肝硬変、肝癌、黄疸

      投与しないこと。アトルバスタチンの血漿中濃度が上昇し、副作用の発現頻度が増加するおそれがある。また、アトルバスタチンは主に肝臓において作用し代謝されるので、肝障害を悪化させるおそれがある。,

  2. 9.3.2 中等度の肝機能障害のある患者

    投与しないことが望ましい。エゼチミブの血漿中濃度が上昇するおそれがある。

  3. 9.3.3 肝障害又はその既往歴のある患者(9.3.1、9.3.2に該当する患者を除く)

    エゼチミブでは肝機能障害の程度に応じて血漿中薬物濃度の上昇が認められた。アトルバスタチンは主に肝臓において作用し代謝されるので、肝障害を悪化させるおそれがある。

9.5 妊婦

妊婦又は妊娠している可能性のある女性には投与しないこと。エゼチミブとアトルバスタチンの併用投与において、ラットで胎児の発育抑制、ウサギで骨格奇形が認められている。アトルバスタチンの動物実験において、出生児数の減少及び生存、発育に対する影響が認められ、胎児にも生存率低下と発育抑制が認められている。また、ラットに他のHMG-CoA還元酵素阻害剤を大量投与した場合に胎児の骨格奇形が報告されている。更に、ヒトでは、他のHMG-CoA還元酵素阻害剤で、妊娠3ヵ月までの間に服用したとき、胎児に先天性奇形があらわれたとの報告がある。

9.6 授乳婦

投与しないこと。エゼチミブでは、ヒト母乳中への移行の有無は不明であるが、妊娠後から授乳期まで投与したラットで乳児への移行が認められている。アトルバスタチンでは、ラットで乳汁中への移行が報告されている。

9.7 小児等

小児等を対象とした臨床試験は実施していない。

9.8 高齢者

副作用が発現した場合には投与を中止するなど、適切な処置を行うこと。一般に生理機能が低下している。また、横紋筋融解症があらわれやすいとの報告がある。,

10. 相互作用

  • アトルバスタチンは、主として肝の薬物代謝酵素CYP3A4により代謝される。また、P-糖蛋白質(P-gp)、乳癌耐性蛋白(BCRP)、有機アニオントランスポーター(OATP)1B1/1B3の基質である。

10.1 併用禁忌(併用しないこと)

薬剤名等臨床症状・措置方法機序・危険因子

グレカプレビル・ピブレンタスビル:

  • (マヴィレット)

アトルバスタチンとグレカプレビル・ピブレンタスビル(400mg・120mg)の併用により、アトルバスタチンのAUCが8.28倍、Cmaxが22.0倍に上昇したとの報告がある。アトルバスタチンの血中濃度が上昇し、副作用が発現しやすくなるおそれがある。

機序:グレカプレビルのOATP1B1/1B3及びBCRP阻害、ピブレンタスビルのOATP1B1及びBCRP阻害に基づく作用によるものと考えられている。

10.2 併用注意(併用に注意すること)

薬剤名等臨床症状・措置方法機序・危険因子

フィブラート系薬剤:

  • ベザフィブラート等

,

HMG-CoA還元酵素阻害剤との併用により筋肉痛、脱力感、CK上昇、血中及び尿中ミオグロビン上昇を特徴とし、急激な腎機能悪化を伴う横紋筋融解症があらわれやすいとの報告がある。

機序:フィブラート系薬剤とHMG-CoA還元酵素阻害剤との副作用誘発性の相加作用が示唆されている。
危険因子:腎機能に関する臨床検査値に異常が認められる患者

ニコチン酸製剤:

  • ニセリトロール等

HMG-CoA還元酵素阻害剤との併用により筋肉痛、脱力感、CK上昇、血中及び尿中ミオグロビン上昇を特徴とし、急激な腎機能悪化を伴う横紋筋融解症があらわれやすいとの報告がある。

機序:ニコチン酸製剤とHMG-CoA還元酵素阻害剤との副作用誘発性の相加作用が示唆されている。
危険因子:腎機能障害

免疫抑制剤:

  • シクロスポリン等

,

1)エゼチミブとの併用によりエゼチミブ及びシクロスポリンの血中濃度の上昇がみられた。本剤と併用する場合は、シクロスポリンの血中濃度のモニターを十分に行うこと。
2)①HMG-CoA還元酵素阻害剤との併用により筋肉痛、脱力感、CK上昇、血中及び尿中ミオグロビン上昇を特徴とし、急激な腎機能悪化を伴う横紋筋融解症があらわれやすいとの報告がある。
②アトルバスタチンとシクロスポリンとの併用により、アトルバスタチンのAUC0-24hrが8.7倍に上昇したとの報告がある。

機序:1)不明
2)①シクロスポリンとHMG-CoA還元酵素阻害剤との副作用誘発性の相加作用、②シクロスポリンによるHMG-CoA還元酵素阻害剤の代謝・胆汁中排泄に対する競合阻害に基づく相互作用、③シクロスポリンによる本剤の肝への取り込み阻害に基づく相互作用が示唆されている。
危険因子:腎機能障害

アゾール系抗真菌薬:

  • イトラコナゾール等

エリスロマイシン

HMG-CoA還元酵素阻害剤との併用により筋肉痛、脱力感、CK上昇、血中及び尿中ミオグロビン上昇を特徴とし、急激な腎機能悪化を伴う横紋筋融解症があらわれやすいとの報告がある。

機序:アゾール系抗真菌薬又はエリスロマイシンのCYP3Aに対する阻害作用が考えられている。
危険因子:腎機能障害

クラリスロマイシン

アトルバスタチンとの併用によりアトルバスタチンの血漿中薬物濃度の有意な上昇(Cmax:+55.9%、AUC0-Tlast:+81.8%)がみられたとの報告がある。

機序:クラリスロマイシンのCYP3A4に対する阻害作用が考えられている。

*HIVプロテアーゼ阻害剤:

  • ロピナビル・リトナビル等

アトルバスタチンとロピナビル・リトナビルとの併用によりアトルバスタチンのAUCが5.88倍に上昇するとの報告がある。

機序:これらの薬剤によるCYP3A4の阻害が考えられている。

*ニルマトレルビル・リトナビル

アトルバスタチンとの併用によりアトルバスタチンの血中濃度が上昇するおそれがある。アトルバスタチンの副作用が発現しやすくなるおそれがあるため、十分な観察を行いながら慎重に投与し、必要に応じて減量や休薬等の適切な措置を講ずること。

機序:アトルバスタチンの代謝を競合的に阻害するためと考えられている。

*エンシトレルビル フマル酸

アトルバスタチンとの併用によりアトルバスタチンの血中濃度が上昇し、副作用が発現しやすくなるおそれがある。

機序:エンシトレルビル フマル酸のCYP3Aに対する阻害作用が考えられている。

グラゾプレビル

アトルバスタチンとグラゾプレビル(200mg)との併用によりアトルバスタチンの血漿中薬物濃度の上昇がみられた(Cmax:5.66倍、AUC0-∞:3.00倍)。

機序:グラゾプレビルによる腸管のCYP3A及びBCRPの阻害が考えられている。

レテルモビル

アトルバスタチンとの併用によりアトルバスタチンの血漿中薬物濃度の上昇がみられた(Cmax:2.17倍、AUC0-∞:3.29倍)。

機序:レテルモビルによるCYP3A、OATP1B1/1B3及びBCRPの阻害が考えられている。

*フチバチニブ

アトルバスタチンとの併用によりアトルバスタチンの血中濃度が上昇し、副作用が発現しやすくなるおそれがある。

機序:フチバチニブによるBCRPの阻害が考えられている。

グレープフルーツジュース

アトルバスタチンとグレープフルーツジュース1.2L/日との併用により、アトルバスタチンのAUC0-72hrが約2.5倍に上昇したとの報告がある。

機序:グレープフルーツジュースによるCYP3A4の阻害が考えられている。

エファビレンツ

アトルバスタチンとの併用によりアトルバスタチンの血漿中薬物濃度が低下した(Cmax:-12%、AUC0-24hr:-43%)との報告がある。

機序:エファビレンツによるCYP3A4の誘導が考えられている。

リファンピシン

リファンピシン投与17時間後にアトルバスタチンを投与したところアトルバスタチンの血漿中薬物濃度が低下した(Cmax:-40%、AUC:-80%)との報告がある。

機序:リファンピシンによるCYP3A4の誘導が考えられている。

ベキサロテン

アトルバスタチンとの併用によりアトルバスタチンのAUCが約50%低下したとの報告がある。

機序:ベキサロテンによるCYP3A4の誘導が考えられている。

陰イオン交換樹脂:

  • コレスチミド
  • コレスチラミン等

1)エゼチミブとの併用によりエゼチミブの血中濃度の低下がみられた。本剤は陰イオン交換樹脂の投与前2時間あるいは投与後4時間以上の間隔をあけて投与すること。
2)アトルバスタチンとの併用によりアトルバスタチンの血漿中薬物濃度が約25%低下したが、LDLコレステロールの低下率はそれぞれを単独で使用したときより大きかったとの報告がある。

機序:1)エゼチミブが陰イオン交換樹脂と結合し、吸収が遅延あるいは減少する可能性がある。
2)これらの薬剤によるアトルバスタチンの吸収阻害(吸着)に基づく血漿中薬物濃度の低下が考えられている。

ジゴキシン

アトルバスタチンとの併用により定常状態において血漿中ジゴキシン濃度が上昇する(アトルバスタチン10mg投与でCmax:+9.9%、AUC0-24hr:+3.6%、CLr:129→128mL/min、アトルバスタチン80mg投与でCmax:+20.0%、AUC0-24hr:+14.8%、CLr:160→149mL/min)ことが報告されている。本剤を併用する場合は、ジゴキシンの血漿中薬物濃度のモニターを十分に行うこと。

機序:アトルバスタチンによるジゴキシンのP-gpを介した排出の抑制が示唆されている。

経口避妊薬:

  • ノルエチンドロン-エチニルエストラジオール

アトルバスタチンとの併用によりノルエチンドロン(Cmax:+24%、AUC0-24hr:+28%)及びエチニルエストラジオール(Cmax:+30%、AUC0-24hr:+19%)の血漿中濃度の上昇が認められたとの報告がある。

機序:アトルバスタチンによるノルエチンドロン及びエチニルエストラジオールの初回通過効果の減少が考えられている。

クマリン系抗凝固剤:

  • ワルファリン等

エゼチミブとの併用によりプロトロンビン時間国際標準比(INR)の上昇がみられた。本剤を併用する場合には適宜INR検査を行うこと。

機序:不明

11. 副作用

次の副作用があらわれることがあるので、観察を十分に行い、異常が認められた場合には投与を中止するなど適切な処置を行うこと。

11.1 重大な副作用

  1. 11.1.1 過敏症(頻度不明)

    アナフィラキシー、血管神経性浮腫、発疹を含む過敏症状があらわれたとの報告がある。

  2. 11.1.2 中毒性表皮壊死融解症(Toxic Epidermal Necrolysis:TEN)、皮膚粘膜眼症候群(Stevens-Johnson症候群)、多形紅斑(いずれも頻度不明)

    水疱性発疹があらわれたとの報告がある。

  3. 11.1.3 横紋筋融解症、ミオパチー(いずれも頻度不明)

    筋肉痛、脱力感、CK上昇、血中及び尿中ミオグロビン上昇を特徴とする横紋筋融解症があらわれ、急性腎障害等の重篤な腎障害があらわれることがある。また、ミオパチーがあらわれることがあるので、広範な筋肉痛、筋肉圧痛や著明なCKの上昇があらわれた場合には投与を中止すること。,,,,

  4. 11.1.4 免疫介在性壊死性ミオパチー(頻度不明)

    アトルバスタチン投与中に近位筋脱力、CK高値、炎症を伴わない筋線維の壊死、抗HMG-CoA還元酵素(HMGCR)抗体陽性等を特徴とする免疫介在性壊死性ミオパチーがあらわれ、投与中止後も持続する例が報告されているので、患者の状態を十分に観察すること。なお、免疫抑制剤投与により改善がみられたとの報告例がある。

  5. 11.1.5 劇症肝炎、肝炎、肝機能障害、黄疸(いずれも頻度不明)

  6. 11.1.6 無顆粒球症、汎血球減少症、血小板減少症(いずれも頻度不明)

  7. 11.1.7 高血糖、糖尿病(いずれも頻度不明)

  8. 11.1.8 間質性肺炎(頻度不明)

    長期投与であっても、発熱、咳嗽、呼吸困難、胸部X線異常等が認められた場合には投与を中止し、副腎皮質ホルモン剤の投与等の適切な処置を行うこと。

  9. 11.1.9 重症筋無力症(頻度不明)

    重症筋無力症(眼筋型、全身型)が発症又は悪化することがある。

11.2 その他の副作用

1%以上

1%未満

頻度不明

感染症及び寄生虫症

結膜炎、口腔ヘルペス、帯状疱疹、インフルエンザ、肺炎

精神障害

悪夢、睡眠障害、不眠(症)、うつ病、抑うつ

神経系障害

めまい、しびれ、頭痛、異常感覚、錯感覚、味覚異常、眠気、健忘症、脳梗塞、坐骨神経痛、末梢性ニューロパチー

心臓障害

期外収縮、動悸、頻脈、洞性徐脈

呼吸器、胸郭及び縦隔障害

咳嗽、呼吸困難

胃腸障害

胃炎、腹部膨満、便秘

悪心、嘔吐、消化不良、腹痛、下痢、膵炎、口唇炎、口内炎、口内乾燥、口腔内不快感、口のしびれ、舌のしびれ、舌炎、舌痛、胸やけ、胃食道逆流性疾患、胃不快感、心窩部痛(心窩部の疼痛)、鼓腸放屁、腹部不快感、下腹部痛、軟便、排便回数増加

肝胆道系障害

胆汁うっ滞性黄疸、胆石症、胆嚢炎

皮膚及び皮下組織障害

そう痒症、発疹、ざ瘡、蕁麻疹、発赤、光線過敏、皮膚乾燥、皮膚亀裂、脱毛症、爪の障害

筋骨格系及び結合組織障害

関節痛、筋肉痛、筋痙縮、背部痛、頸・肩のこり、こわばり感、四肢痛、筋肉疲労、筋力低下、筋炎、腱炎、腱痛

腎及び尿路障害

蛋白尿、血尿、着色尿、排尿困難、頻尿

一般・全身障害及び投与部位の状態

胸痛、無力症、浮腫(顔面・四肢等)、口渇、疼痛、熱感、発熱、全身倦怠(感)、疲労

臨床検査

ALT増加

AST増加、γ-GTP増加、Al-P増加

血中CK増加、BUN増加、HbA1c増加、アミラーゼ増加、肝機能検査異常、血圧上昇、血小板数減少、血中ACTH増加、血中K増加、血中LDH増加、血中TSH増加、血中アルドステロン減少、血中クレアチニン増加、血中コリンエステラーゼ増加、血中コルチゾール増加、血中テストステロン減少、血中ビリルビン増加、血中ブドウ糖増加、血中ミオグロビン増加、血中リン増加、血中鉄減少、血中尿酸増加、体重増加、白血球数減少

その他

食欲減退、耳鳴、霧視、ほてり、貧血、低血糖、女性化乳房、勃起不全

14. 適用上の注意

14.1 薬剤交付時の注意

PTP包装の薬剤はPTPシートから取り出して服用するよう指導すること。PTPシートの誤飲により、硬い鋭角部が食道粘膜へ刺入し、更には穿孔をおこして縦隔洞炎等の重篤な合併症を併発することがある。

15. その他の注意

15.1 臨床使用に基づく情報

複合型高脂血症患者を対象にした海外の多施設二重盲検プラセボ対照試験(625例が12週間以内、576例が1年以内の投与)において、血清トランスアミナーゼの上昇(基準値上限の3倍を超える連続した上昇)の発現率(曝露期間で調整)は、フェノフィブラート単独群で4.5%、エゼチミブとフェノフィブラート併用群で2.7%であった。同様に、胆のう摘出術の発現率は、フェノフィブラート単独群で0.6%、エゼチミブとフェノフィブラート併用群で1.7%であった。CK上昇(基準値上限の10倍を超える)については、本試験のいずれの群でも認められなかった。また、エゼチミブとフェノフィブラート併用における一般的な有害事象は腹痛であった。なお、本試験は、頻繁に発現しない有害事象を群間で比較するようにはデザインされていない1),2)

15.2 非臨床試験に基づく情報

イヌでエゼチミブ(0.03mg/kg/日以上)の1ヵ月間投与により、胆のう胆汁コレステロール濃度が約2~3倍増加したとの報告がある3)。しかし、300mg/kg/日をイヌに12ヵ月間投与しても胆石あるいは肝・胆管系への影響はみられなかった4)。マウスに2週間投与(5mg/kg/日)しても胆のう胆汁コレステロール濃度への影響はみられなかった5)

16. 薬物動態

16.1 血中濃度

  1. 16.1.1 生物学的同等性試験

    健康成人男女に、エゼチミブ/アトルバスタチンカルシウム水和物配合錠(以下、配合錠)1錠[エゼチミブ/アトルバスタチンとして10mg/10mg(149例)又は10mg/20mg(48例)]あるいは同用量のエゼチミブ(10mg1錠)及びアトルバスタチン(10mg1錠又は2錠)の単剤を併用でクロスオーバー法により絶食下で経口投与した。配合錠投与時のエゼチミブ及びアトルバスタチンの薬物動態パラメータは以下の表のとおりであり、配合錠と同用量のエゼチミブ及びアトルバスタチンの単剤併用で、生物学的同等性が認められた6)

    表 配合錠10mg/10mg及び10mg/20mgを単回経口投与した際の薬物動態パラメータ

    薬物動態パラメータ

    エゼチミブ

    アトルバスタチン

    10mg/10mg

    例数

    149

    149

    Cmax注1)(ng/mL)

    5.78(5.38,6.21)

    3.85(3.56,4.15)

    AUC0-last注1)(ng・hr/mL)

    92.2(87.2,97.5)

    18.8(17.8,19.8)

    Tmax注2)(hr)

    1.50[0.483,24.0]

    0.750[0.233,6.00]

    t1/2注3)(hr)

    18.2(48)

    10.0(33)

    10mg/20mg

    例数

    48

    48

    Cmax注1)(ng/mL)

    7.65(6.73,8.68)

    9.53(8.22,11.0)

    AUC0-last注1)(ng・hr/mL)

    97.3(86.6,109)

    39.3(35.9,43.2)

    Tmax注2)(hr)

    1.50[0.500,8.03]

    0.875[0.500,4.00]

    t1/2注3)(hr)

    19.2(45)

    9.63(34)

    注1)各値は幾何平均値(95%信頼区間)
    注2)中央値[最小値,最大値]
    注3)幾何平均値(CV%)

  2. 16.1.2 生物学的同等性試験(エゼアト配合錠HD「JG」)

    エゼアト配合錠HD「JG」とアトーゼット配合錠HDを、クロスオーバー法によりそれぞれ1錠(エゼチミブとして10mg、アトルバスタチンとして20mg)健康成人男性に絶食単回経口投与して血漿中エゼチミブ抱合体濃度、血漿中アトルバスタチン未変化体濃度及び血漿中エゼチミブ未変化体濃度を測定し、得られた薬物動態パラメータ(AUC、Cmax)について90%信頼区間法にて統計解析を行った結果、log(0.80)~log(1.25)の範囲内であり、両剤の生物学的同等性が確認された7)

    薬物動態パラメータ

    判定パラメータ

    参考パラメータ

    AUC0-96
    (ng・hr/mL)

    Cmax
    (ng/mL)

    Tmax
    (hr)

    T1/2
    (hr)

    エゼアト配合錠HD「JG」

    687±316

    106.3±39.8

    1.32±0.89

    23.36±24.31

    アトーゼット配合錠HD

    688±344

    107.0±41.0

    1.30±0.98

    19.40±14.23

    (Mean±S.D., n=92)

    血漿中濃度並びにAUC、Cmax等のパラメータは、被験者の選択、体液の採取回数・時間等の試験条件によって異なる可能性がある。

    薬物動態パラメータ

    判定パラメータ

    参考パラメータ

    AUC0-96
    (ng・hr/mL)

    Cmax
    (ng/mL)

    Tmax
    (hr)

    T1/2
    (hr)

    エゼアト配合錠HD「JG」

    51.3±21.0

    12.21±6.86

    1.29±0.94

    9.22±2.33

    アトーゼット配合錠HD

    49.1±19.3

    12.04±6.14

    1.16±0.84

    9.24±2.66

    (Mean±S.D., n=92)

    血漿中濃度並びにAUC、Cmax等のパラメータは、被験者の選択、体液の採取回数・時間等の試験条件によって異なる可能性がある。

    薬物動態パラメータ

    判定パラメータ

    参考パラメータ

    AUC0-96
    (ng・hr/mL)

    Cmax
    (ng/mL)

    Tmax
    (hr)

    T1/2
    (hr)

    エゼアト配合錠HD「JG」

    95.5±39.4

    9.45±4.72

    1.99±2.24

    19.79±15.61

    アトーゼット配合錠HD

    95.9±38.4

    10.03±4.85

    2.20±2.30

    17.37±9.12

    (Mean±S.D., n=92)

    血漿中濃度並びにAUC、Cmax等のパラメータは、被験者の選択、体液の採取回数・時間等の試験条件によって異なる可能性がある。

16.2 吸収

  1. 16.2.1 食事の影響
    1. (1) エゼチミブ

      健康成人男性にエゼチミブ/アトルバスタチンカルシウム水和物配合錠10mg/10mg(13例)及び10mg/20mg(14例)を食後又は空腹時に単回投与したとき、空腹時に比べて食後投与での血漿中エゼチミブ(非抱合体)のAUCは5%~14%、Cmaxは14%~18%低かった8)

    2. (2) アトルバスタチン

      健康成人男性にエゼチミブ/アトルバスタチンカルシウム水和物配合錠10mg/10mg(13例)及び10mg/20mg(14例)を食後又は空腹時に単回投与したとき、空腹時に比べて食後投与での血漿中アトルバスタチンのAUCは21%~23%、Cmaxは47%~68%低かった8)

16.3 分布

  1. 16.3.1 エゼチミブ

    ヒト血漿に添加したときの蛋白結合率は、3H-エゼチミブ99.5%~99.8%、3H-エゼチミブ抱合体87.8%~92.0%であった。肝機能障害や腎機能障害による血漿蛋白結合率への影響は認められていない9),10)

  2. 16.3.2 アトルバスタチン

    ヒト血漿中の蛋白結合率は、95.6%~99.0%以上であった11)

16.4 代謝

  1. 16.4.1 エゼチミブ

    エゼチミブは、主に小腸における初回通過効果によって主要活性代謝物であるエゼチミブ抱合体(フェノール性水酸基におけるグルクロン酸抱合体)に代謝される。
    健康成人男性(8例)に14C-エゼチミブカプセル20mg注)を単回経口投与したとき、血漿中の総放射能に占めるエゼチミブ(非抱合体)及びエゼチミブ抱合体の割合(AUC比)はそれぞれ11%及び82%(合計93%)であった12)(外国人データ)。

  2. 16.4.2 アトルバスタチン

    健康成人6例にアトルバスタチン10及び40mg注)を単回経口投与したとき、血漿中にアミド結合位置のベンゼン環の4位の水酸化体(M-1)及び2位の水酸化体(M-2)の2種類が確認されているが、血漿中主活性代謝物はM-2であった13)
    アトルバスタチンの主要代謝臓器は肝臓であり、M-1及びM-2はCYP3A4によって生成することが明らかにされている14)

16.5 排泄

  1. 16.5.1 エゼチミブ
    1. (1) 尿・糞中排泄

      健康成人男性(8例)に14C-エゼチミブカプセル20mg注)を単回経口投与したとき、投与後240時間までの放射能排泄率は糞中に78%、尿中に11%であった12)(外国人データ)。
      健康成人男性(各6例)にエゼチミブ10、20注)、40mg注)を単回経口投与したとき、投与後72時間までのエゼチミブ(非抱合体)としての尿中排泄率は0.05%未満であり、尿中総エゼチミブ(非抱合体+抱合体)排泄率は8.7%~11%であった15)

    2. (2) 胆汁中排泄(腸肝循環)

      エゼチミブ抱合体は胆汁中に排泄されたのち、腸内細菌叢による脱抱合をうけ、一部はエゼチミブ(非抱合体)として再吸収される(腸肝循環)12)
      胆管カニューレを施した雌雄ラットに14C-エゼチミブを単回経口投与したとき、投与後48時間までに排泄された放射能は、胆汁中に40%~63%、尿中には3%以下であり、未吸収のまま糞中に排泄された放射能は21%~32%であった。採取された胆汁を別ラットの十二指腸内へ投与したとき、投与放射能の54%~81%が再吸収ののち再び胆汁中に排泄された16)

  2. 16.5.2 アトルバスタチン

    健康成人に14C-アトルバスタチンを経口投与したとき、放射能の尿中排泄率は極めて低く(<2%)、糞中に未変化体、M-1及びM-2がそれぞれ糞中放射能の8.3%、11.7%及び18.2%排泄された。更に、14C-アトルバスタチンを用いたヒト胆汁中排泄試験では、経口投与された放射能の43.7%~70.2%が胆汁中に排泄され、未変化体の他にM-1、M-2及びM-2のグルクロン酸抱合体が同定された17)(外国人データ)。

16.6 特定の背景を有する患者

  1. 16.6.1 腎機能障害患者
    1. (1) エゼチミブ

      エゼチミブ10mgを重度の慢性腎機能障害患者(8例、クレアチニンクリアランス10~29mL/min)に単回経口投与したとき、健康成人(9例、クレアチニンクリアランス>80mL/min)と比較して血漿中エゼチミブ(非抱合体)及びエゼチミブ抱合体濃度のAUCにそれぞれ約1.6倍及び1.5倍の上昇が認められた18)(外国人データ)。

    2. (2) アトルバスタチン

      腎機能正常者6例及び腎機能障害者14例にアトルバスタチン10mgを1日1回2週間反復経口投与したとき、腎機能障害は、アトルバスタチンの薬効及び体内動態に影響を及ぼさなかった19)(外国人データ)。

  2. 16.6.2 肝機能障害患者
    1. (1) エゼチミブ

      エゼチミブ10mgを軽度、中等度又は重度の慢性肝機能障害患者(各4例)若しくは健康成人(8例)に単回経口投与したとき、軽度、中等度及び重度の肝機能障害者の血漿中エゼチミブ(非抱合体)のCmaxは、健康成人と比べて、それぞれ1.1倍、3.4倍及び4.2倍、AUCはそれぞれ1.4倍、5.8倍及び4.9倍高く、エゼチミブ抱合体のCmaxは、それぞれ1.4倍、1.8倍及び1.9倍、AUCはそれぞれ1.7倍、3.1倍及び4.0倍高かった。肝機能障害の程度に応じたエゼチミブ(非抱合体)及びエゼチミブ抱合体の血漿中薬物濃度の上昇が認められた20)(外国人データ)。,

    2. (2) アトルバスタチン

      アトルバスタチン10mgを健康成人及び肝硬変患者8例ずつに1日1回2週間反復経口投与したとき、肝硬変患者では健康成人に比べてChild-Pugh A患者(5例)及びChild-Pugh B患者(3例)において、Cmax及びAUC0-24hrの著しい増加、Tmaxの短縮が認められたが半減期はほとんど変化しなかった。また、血清脂質に対する作用には差がなかった21)(外国人データ)。,,

  3. 16.6.3 高齢者
    1. (1) エゼチミブ

      エゼチミブ10mgを高齢者(12例、年齢65~75歳)に1日1回10日間経口投与したとき、非高齢対照群(11例、年齢20~24歳)と比較して血漿中エゼチミブ抱合体濃度のAUCに約2.4倍の上昇が認められたが、血漿中エゼチミブ(非抱合体)濃度のAUCに明らかな変化は認められなかった22)

    2. (2) アトルバスタチン

      アトルバスタチン10mgを高齢者(6例、年齢66~73歳)に単回経口投与したとき、非高齢対照群(6例、年齢20~22歳)と比較して血漿中アトルバスタチン濃度のCmax及びAUC0-∞は約2倍に増加したが、Tmax及び半減期に明らかな変化は認められなかった23)

16.7 薬物相互作用

  1. 16.7.1 エゼチミブ
    1. (1) チトクロムP450酵素系への影響

      健康成人(12例)を対象として、エゼチミブ20mg注)と各種チトクロムP450酵素系の基質となる代表的な指標薬を併用したとき、CYP1A2、CYP2C8/9、CYP2D6及びCYP3A4活性、並びにN-アセチルトランスフェラーゼ活性への影響は認められなかった9)(外国人データ)。

    2. (2) フェノフィブラートとの相互作用

      成人(8例、LDLコレステロール値≧130mg/dL)を対象として、フェノフィブラート200mg(1日1回)とエゼチミブ10mg(1日1回)を併用したとき、血漿中エゼチミブ抱合体濃度のCmax及びAUCはそれぞれ約1.7倍及び1.5倍上昇したが、臨床上意味のあるものではなかった。フェノフィブラートの薬物動態に及ぼすエゼチミブの影響は認められなかった24)(外国人データ)。

    3. (3) シクロスポリン製剤との相互作用

      クレアチニンクリアランスが50mL/minを超え、かつ、一定用量(75~150mg 1日2回)のシクロスポリン製剤を服用中の腎移植患者(8例)にエゼチミブ10mgを単回投与したとき、総エゼチミブ(非抱合体+抱合体)のAUCは健康成人と比較して約3.4倍高値を示した25)。別の試験で、重度の腎機能障害のため腎移植を行い、シクロスポリン製剤を含む複数の薬剤による治療を受けていた患者(1例)にエゼチミブ10mgを単回投与したとき、総エゼチミブ(非抱合体+抱合体)のAUCは健康成人と比較して約12倍高値を示した26)。健康成人(12例)を対象として、エゼチミブ20mg注)(1日1回8日間)の連投7日目にシクロスポリン製剤100mgを単回経口投与したとき、血液中シクロスポリン濃度のCmax及びAUCはシクロスポリン単独投与と比較してそれぞれ10%及び15%上昇した27)(外国人データ)。

    4. (4) コレスチラミンによる影響

      成人(8例、LDLコレステロール値≧130mg/dL)を対象として、コレスチラミン4g(1日2回)とエゼチミブ10mg(1日1回)を併用したとき、血漿中エゼチミブ(非抱合体)及びエゼチミブ抱合体濃度のAUCはそれぞれ約1/5及び1/2に低下した28)(外国人データ)。

    5. (5) その他の薬物動態学的相互作用

      薬物相互作用に関する臨床試験で、エゼチミブ10mgとワルファリン、ジゴキシン、経口避妊薬(エチニルエストラジオール、レボノルゲストレル)を併用した結果、これらの薬物動態への影響は認められなかった。シメチジンとエゼチミブ10mgを併用した結果、エゼチミブのバイオアベイラビリティに対する影響は認められなかった9)。制酸剤(水酸化アルミニウムと水酸化マグネシウムを含有)とエゼチミブ10mgを併用したとき、血漿中エゼチミブ抱合体濃度のCmaxは約30%低下したが、AUCへの影響は認められなかった29)(外国人データ)。

16.8 その他

エゼアト配合錠LD「JG」は、「含量が異なる経口固形製剤の生物学的同等性試験ガイドライン(令和2年3月19日薬生薬審発 0319第1号別紙 2)」に基づき、エゼアト配合錠HD「JG」を標準製剤とした溶出試験の結果、溶出挙動は同等と判定され、生物学的に同等とみなされた30)

注)本剤の承認された用法及び用量は1日1回1錠(エゼチミブ/アトルバスタチンとして10mg/10mg又は10mg/20mg)を食後に経口投与である。

17. 臨床成績

17.1 有効性及び安全性に関する試験

  1. 17.1.1 国内第Ⅲ相二重盲検比較試験

    日本人高コレステロール血症患者309例を対象に、エゼチミブ10mg、アトルバスタチン10mg、アトルバスタチン20mgをそれぞれ単剤、若しくはエゼチミブ10mgとアトルバスタチン10mg併用投与、又はエゼチミブ10mgとアトルバスタチン20mg併用投与のいずれかを1日1回12週間投与した結果は以下のとおりであった。
    ベースラインからのLDLコレステロール変化率において、エゼチミブ10mgとアトルバスタチン10mg併用投与はエゼチミブ10mg及びアトルバスタチン10mgの各単剤投与との間、エゼチミブ10mgとアトルバスタチン20mg併用投与はエゼチミブ10mg及びアトルバスタチン20mgの各単剤投与との間に、有意差が認められた。

    表 高コレステロール血症患者を対象とした第Ⅲ相二重盲検比較試験の結果(LDLコレステロール)

    投与群

    EZ10mg

    AT10mg

    AT20mg

    EZ10mg
    +AT10mg

    EZ10mg
    +AT20mg

    例数注1)

    35

    68

    68

    68

    69

    ベースライン
    (mg/dL)

    163.4
    ±24.0

    164.8
    ±21.7

    166.2
    ±23.9

    164.6
    ±23.7

    172.6
    ±26.9

    最終評価12週時
    (mg/dL)

    131.6
    ±19.3

    91.4
    ±16.0

    84.1
    ±17.5

    72.8
    ±15.8

    68.2
    ±22.7


    変化率(%)注2)

    -19.3
    (-22.7,
    -15.8)

    -44.0
    (-46.5,
    -41.6)

    -49.1
    (-51.5,
    -46.7)

    -55.6
    (-58.0,
    -53.2)

    -59.2
    (-61.6,
    -56.8)

    変化率(%)注2)

    群間差

    vs.EZ10mg

    -36.3注3)
    (-40.5,
    -32.2)

    -39.9注3)
    (-44.1,
    -35.8)

    vs.AT10mg

    -11.6注3)
    (-14.9,
    -8.2)

    vs.AT20mg

    -10.1注3)
    (-13.5,
    -6.8)

    EZ:エゼチミブ、AT:アトルバスタチン
    ベースラインと最終評価12週時については平均値±標準偏差、変化率については最小二乗平均値(95%信頼区間)を示した
    注1)最大の解析対象集団
    注2)時点、時点と投与群の交互作用、時点とリスク管理区分(動脈硬化性疾患予防ガイドライン2012年版のカテゴリー分類)の交互作用を因子としたcLDAモデル(反復測定データ間の相関構造として無構造型の分散共分散行列を用いた)
    注3)p<0.001、Hochberg法により検定の多重性を調整

    エゼチミブ10mgとアトルバスタチン10mg併用投与68例中1例(1.5%)、またエゼチミブ10mgとアトルバスタチン20mg併用投与69例中3例(4.3%)に臨床検査値の異常を含む副作用が認められた。主な副作用はALT増加で、エゼチミブ10mgとアトルバスタチン20mg併用投与で2例(2.9%)であった31)

  2. 17.1.2 国内第Ⅲ相長期投与試験

    エゼチミブ10mg単剤投与又はアトルバスタチン10mg若しくは20mg単剤投与にてLDLコレステロールの脂質管理目標値注)に達していない日本人高コレステロール血症患者135例(ヘテロ接合体性家族性高コレステロール血症患者21例を含む)を対象に、エゼチミブ/アトルバスタチンカルシウム水和物配合錠(以下、配合錠)を1日1回52週間投与した(エゼチミブ10mg又はアトルバスタチン10mgで治療を受けていた患者には配合錠10mg/10mgを、アトルバスタチン20mgで治療を受けていた患者には配合錠10mg/20mgを投与した)。ベースラインからのLDLコレステロール変化率(52週時)の平均値±標準偏差は、配合錠10mg/10mg投与群で-35.9±16.7%(111例)、配合錠10mg/20mg投与群で-24.2±6.4%(14例)であった。配合錠10mg/10mg投与群117例及び配合錠10mg/20mg投与群18例において、副作用の発現はなかった32)

    注)動脈硬化性疾患予防ガイドライン2012年版に基づくLDLコレステロールの脂質管理目標値

18. 薬効薬理

18.1 作用機序

本剤は小腸でのコレステロール及び植物ステロールの吸収を選択的に阻害するエゼチミブと、コレステロールの生合成を阻害するアトルバスタチンの配合剤である。

18.2 エゼチミブ

  1. 18.2.1 作用機序

    エゼチミブは食事性及び胆汁性コレステロールの吸収を阻害する。エゼチミブの作用部位は小腸であり、ハムスター等を用いた動物試験において、小腸でのコレステロールの吸収を選択的に阻害し、その結果、肝臓のコレステロール含量を低下させ、血中コレステロールを低下させた33),34),35),36)。エゼチミブは小腸壁細胞に存在する蛋白質(Niemann-Pick C1 Like 1)を介してコレステロール及び植物ステロールの吸収を阻害する37),38),39)。このことから、エゼチミブの作用機序は他の高脂血症治療剤(HMG-CoA還元酵素阻害剤、陰イオン交換樹脂、フィブラート系薬剤、植物ステロール)とは異なる。18例の高コレステロール血症患者を対象とした海外の臨床薬理試験において、エゼチミブは2週間の投与により小腸でのコレステロール吸収をプラセボ群に比し54%阻害した40)
    エゼチミブは小腸でのコレステロール吸収阻害により肝臓のコレステロール含量を低下させるが、肝臓でのコレステロールの生合成が代償的に亢進する。コレステロールの生合成を抑制するHMG-CoA還元酵素阻害剤との併用により、血中コレステロールが相補的に低下することが、イヌを用いた試験35)及び海外の高コレステロール血症患者を対象とした試験41),42),43)において示された。
    また、ラット等において、エゼチミブはコレステロール及び植物ステロールの吸収を選択的に阻害するが、脂肪酸、胆汁酸、プロゲステロン、エチニルエストラジオール並びに脂溶性ビタミンA及びDの吸収には影響しなかった33)

  2. 18.2.2 血中コレステロール低下作用

    高脂飼料負荷イヌ35)及びアカゲザル36)を用いて、エゼチミブのコレステロール低下作用を検討した。エゼチミブは反復混餌投与により血漿総コレステロールの上昇を抑制した。

  3. 18.2.3 粥状動脈硬化病変進展抑制作用

    高脂飼料負荷ウサギ33)を含む各種粥状動脈硬化モデル34)において、エゼチミブは反復混餌投与により、大動脈又は頸動脈の粥状動脈硬化病変の進展を抑制した。

18.3 アトルバスタチン

  1. 18.3.1 作用機序

    アトルバスタチンは血液中のコレステロール量を調節する主要臓器である肝臓のHMG-CoA還元酵素を選択的かつ競合的に阻害し、アトルバスタチンと同程度の活性を有する代謝物とともに、肝臓のコレステロール合成を抑制する。その結果、アトルバスタチンは肝臓のLDL受容体数を増加させ、かつリポ蛋白分泌を抑制することにより血中脂質量を低下させる。また、アトルバスタチンは血中脂質動態を改善して、高コレステロール血症に伴う動脈硬化の発症を抑制する。

  2. 18.3.2 コレステロール合成抑制作用

    ヒト肝癌細胞由来HepG2細胞において、アトルバスタチンはコレステロールの生合成経路の律速酵素であるHMG-CoA還元酵素を選択的かつ競合的に阻害し、酢酸からのコレステロール合成を濃度依存的に抑制した44)
    更にアトルバスタチンは経口投与により、ラットの肝コレステロール合成を類薬と比較して長く抑制した45)

  3. 18.3.3 高脂血症モデル動物における脂質低下作用
    1. (1) コレステロール低下作用

      コレステロール負荷ウサギ及びコレステロール負荷ミニブタにおいて、アトルバスタチンは経口投与により血漿総コレステロール値を低下させるとともに、LDL-コレステロール値及び血漿アポB値を低下させた46),47)。LDL受容体欠損マウス及びWHHLウサギにおいて、アトルバスタチンは血漿総コレステロール値及びLDL-コレステロール値を低下させた48),49)

    2. (2) トリグリセリド低下作用

      コレステロール負荷ミニブタ及びショ糖負荷高トリグリセリド血症ラットにおいて、アトルバスタチンは血中トリグリセリド値を低下させた47),50)

  4. 18.3.4 動脈硬化進展抑制作用

    コレステロール負荷内皮傷害ウサギ及びWHHLウサギにおいて、アトルバスタチンは動脈硬化病変面積及び血管壁コレステロール含量を低下させた46),49)

  5. 18.3.5 代謝物の薬理作用

    ヒトにおける主代謝物は、アミド結合位置のベンゼン環の4位の水酸化体(M-1)及び2位の水酸化体(M-2)であり、これらの代謝物はHMG-CoA還元酵素阻害活性を示した14),51)

  6. 18.3.6 リポ蛋白代謝に対する作用

    HepG2細胞において、アトルバスタチンは細胞内コレステロール含量を低下させるとともに、肝LDL受容体mRNA発現量及び肝LDL受容体活性を増加させ、アポB分泌量及びトリグリセリド分泌量を低下させた52),53)。正常モルモットにおいて、アトルバスタチンは肝LDL受容体活性を増加させるとともに、アポB分泌量を低下させた54)。コレステロール負荷ミニブタにおいて、アトルバスタチンはVLDL-アポB産生速度を低下させた47)。LDL受容体欠損マウスにおいて、アトルバスタチンはコレステロール分泌速度を低下させた48)。ショ糖負荷高トリグリセリド血症ラットにおいて、アトルバスタチンはトリグリセリド分泌速度を低下させた50)

19. 有効成分に関する理化学的知見

一般的名称

エゼチミブ(Ezetimibe)

化学名

(3R,4S)-1-(4-Fluorophenyl)-3-[(3S)-3-(4-fluorophenyl)-3-hydroxypropyl]-4-(4-hydroxyphenyl)azetidin-2-one

分子式

C24H21F2NO3

分子量

409.43

性状

白色の粉末である。
メタノール、エタノール(99.5)、N,N-ジメチルアセトアミド又は1,3-ジメチル-2-イミダゾリジノンに溶けやすく、アセトニトリルにやや溶けやすく、水にほとんど溶けない。
吸湿性である。

化学構造式

一般的名称

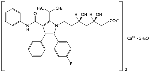
アトルバスタチンカルシウム水和物(Atorvastatin Calcium Hydrate)

化学名

Monocalcium bis{(3R,5R)-7-[2-(4-fluorophenyl)-5-(1-methylethyl)-3-phenyl-4-(phenylcarbamoyl)-1H-pyrrol-1-yl]-3,5-dihydroxyheptanoate}trihydrate

分子式

C66H68CaF2N4O10・3H2O

分子量

1209.39

性状

白色〜微黄白色の結晶性の粉末である。
メタノールに極めて溶けやすく、ジメチルスルホキシドに溶けやすく、水又はエタノール(99.5)に極めて溶けにくい。
光によって徐々に黄白色となる。
結晶多形が認められる。

化学構造式

20. 取扱い上の注意

アルミピロー包装開封後は、湿気を避けて遮光して保存すること。

22. 包装

  • 〈エゼアト配合錠LD「JG」〉

    100錠[10錠(PTP)×10、乾燥剤・脱酸素剤入り]

  • 〈エゼアト配合錠HD「JG」〉

    100錠[10錠(PTP)×10、乾燥剤・脱酸素剤入り]

23. 主要文献

1) Farnier, M. et al.:Eur. Heart J. 2005;26:897-905

2) McKenney, J.M. et al.:J. Am. Coll. Cardiol. 2006;47:1584-1587

3) 肝臓・胆汁への影響(ゼチーア錠:2007年4月18日承認、申請資料概要 2.6.6.8)

4) 毒性試験(ゼチーア錠:2007年4月18日承認、申請資料概要 2.6.6.3)

5) 胆汁コレステロールへの影響(ゼチーア錠:2007年4月18日承認、申請資料概要 2.6.6.8)

6) 生物学的同等性試験(アトーゼット配合錠:2017年9月27日承認、申請資料概要 2.7.1.2)

7) 社内資料:生物学的同等性試験(配合錠HD)

8) 食事の影響試験(アトーゼット配合錠:2017年9月27日承認、申請資料概要 2.7.1.2)

9) Kosoglou, T. et al.:Clin. Pharmacokinet. 2005;44:467-494

10) 血漿蛋白結合(ゼチーア錠:2007年4月18日承認、申請資料概要 2.6.4.4.2)

11) 根本裕之 他:薬理と治療1998;26:1229-1240

12) Patrick, J.E. et al.:Drug Metab. Dispos. 2002;30:430-437

13) 大石紫満子 他:薬理と治療1998;26:1253-1266

14) Lennernäs, H.:Clin. Pharmacokinet. 2003;42:1141-1160

15) 深瀬広幸 他:臨床医薬2007;23:397-406

16) 胆汁中排泄(ゼチーア錠:2007年4月18日承認、申請資料概要 2.6.4.6)

17) 第十八改正 日本薬局方解説書 廣川書店 2021;C195-C201

18) 腎機能障害患者における薬物動態(ゼチーア錠:2007年4月18日承認、申請資料概要 2.7.2.2)

19) Stern, R.H. et al.:J. Clin. Pharmacol. 1997;37:816-819

20) 肝機能障害患者における薬物動態(ゼチーア錠:2007年4月18日承認、申請資料概要 2.7.2.2)

21) 肝機能障害患者における薬物動態(リピトール錠:2000年3月10日承認、申請資料概要ヘ 3-(6))

22) 三上洋 他:臨床医薬 2007;23:427-435

23) 大石紫満子 他:薬理と治療 1998;26:1295-1305

24) フェノフィブラートとの相互作用(ゼチーア錠:2007年4月18日承認、申請資料概要 2.7.2.2)

25) Bergman, A.J. et al.:J. Clin. Pharmacol. 2006;46:328-336

26) シクロスポリン投与症例における薬物動態(ゼチーア錠:2007年4月18日承認、申請資料概要 2.7.2.2)

27) Bergman, A.J. et al.:J. Clin. Pharmacol. 2006;46:321-327

28) コレスチラミンとの相互作用(ゼチーア錠:2007年4月18日承認、申請資料概要 2.7.2.2)

29) 制酸剤との相互作用(ゼチーア錠:2007年4月18日承認、申請資料概要 2.7.2.2)

30) 社内資料:生物学的同等性試験(配合錠LD)

31) 寺本民生 他:臨床医薬 2017;33:551-567

32) 寺本民生 他:臨床医薬 2017;33:655-669

33) 薬理試験(ゼチーア錠:2007年4月18日承認、申請資料概要 2.6.2.1)

34) Davis, H.R. Jr. et al.:Arterioscler. Thromb. Vasc. Biol. 2001;21:2032-2038

35) Davis, H.R. Jr. et al.:Metabolism. 2001;50:1234-1241

36) van Heek, M. et al.:Eur. J. Pharmacol. 2001;415:79-84

37) Altmann, S.W. et al.:Science. 2004;303:1201-1204

38) Davis, H.R. Jr. et al.:J. Biol. Chem. 2004;279:33586-33592

39) Garcia-Calvo, M. et al.:Proc. Natl. Acad. Sci. USA. 2005;102:8132-8137

40) Sudhop, T. et al.:Circulation. 2002;106:1943-1948

41) Davidson, M.H. et al.:J. Am. Coll. Cardiol. 2002;40:2125-2134

42) Melani, L. et al.:Eur. Heart J. 2003;24:717-728

43) Ballantyne, C.M. et al.:Circulation. 2003;107:2409-2415

44) 舩津敏之 他:薬理と治療 1998;26:1435-1441

45) 田中秀行 他:薬理と治療 1998;26:1451-1454

46) Bocan, T.M. et al.:Atherosclerosis. 1994;111:127-142

47) Burnett, J.R. et al.:Arterioscler. Thromb. Vasc. Biol. 1997;17:2589-2600

48) Bisgaier, C.L. et al.:J. Lipid Res. 1997;38:2502-2515

49) 荒井幸規 他:薬理と治療 1998;26:1475-1486

50) 鈴木雅徳 他:薬理と治療 1998;26:1469-1474

51) 代謝物の薬理作用(リピトール錠:2000年3月10日承認、申請資料概要ホ 7)

52) 舩津敏之 他:薬理と治療 1998;26:1443-1450

53) Funatsu, T. et al.:Atherosclerosis. 2001;157:107-115

54) 角田裕俊 他:薬理と治療 1998;26:1461-1468

24. 文献請求先及び問い合わせ先

日本ジェネリック株式会社 お客さま相談室

**〒108-0014 東京都港区芝五丁目33番11号

TEL 0120-893-170 FAX 0120-893-172

26. 製造販売業者等

26.1 **製造販売元

日本ジェネリック株式会社

東京都港区芝五丁目33番11号

〒100-0013 東京都千代田区霞が関3-3-2 新霞が関ビル

画面を閉じる

Copyright © Pharmaceuticals and Medical Devices Agency, All Rights reserved.