医療用医薬品 詳細表示

トコフェロールニコチン酸エステルカプセル200mg「日医工」

処方せん医薬品以外の医薬品

添付文書番号
企業コード
作成又は改訂年月
日本標準商品分類番号
薬効分類名
承認等
一般的名称
3.組成・性状
3.1組成
3.2製剤の性状
4.効能又は効果
6.用法及び用量
9.特定の背景を有する患者に関する注意
9.5妊婦
9.6授乳婦
9.7小児等
11.副作用
11.2その他の副作用
14.適用上の注意
16.薬物動態
16.1血中濃度
16.2吸収
17.臨床成績
17.1有効性及び安全性に関する試験
18.薬効薬理
18.1作用機序
18.2脂質代謝改善作用
18.3微小循環系賦活作用
18.4血管強化作用
18.5血小板凝集抑制作用
18.6血中酸素分圧上昇作用
19.有効成分に関する理化学的知見
20.取扱い上の注意
22.包装
23.主要文献
24.文献請求先及び問い合わせ先
26.製造販売業者等

トコフェロールニコチン酸エステルカプセル200mg「日医工」

添付文書番号

2190006M2233_2_03

企業コード

580825

作成又は改訂年月

2023年10月改訂(第1版)

日本標準商品分類番号

87219

薬効分類名

微小循環系賦活剤

承認等

トコフェロールニコチン酸エステルカプセル200mg「日医工」

販売名コード

YJコード

2190006M2233

販売名英語表記

Tocopherol Nicotinate Capsules

販売名ひらがな

とこふぇろーるにこちんさんえすてるかぷせる200mg「にちいこう」

承認番号等

承認番号

22600AMX00370000

販売開始年月

2014年6月

貯法・有効期間

貯法

室温保存

有効期間

3年

一般的名称

トコフェロールニコチン酸エステル

3. 組成・性状

3.1 組成

トコフェロールニコチン酸エステルカプセル200mg「日医工」

有効成分1カプセル中
トコフェロールニコチン酸エステル   200mg
添加剤グリセリン脂肪酸エステル、酸化チタン
カプセル剤皮:ゼラチン、濃グリセリン、D-ソルビトール、酸化チタン、パラオキシ安息香酸エチル、パラオキシ安息香酸プロピル、黄色5号

3.2 製剤の性状

トコフェロールニコチン酸エステルカプセル200mg「日医工」

剤形だ円形の軟カプセル剤
外形
大きさ12.8mm×7.7mm
質量455mg
色調・性状橙色
内容物は帯黄白色~淡黄白色ののり状の固体で、わずかに特異なにおいがある
包装コード562

4. 効能又は効果

  • 下記に伴う随伴症状

    高血圧症

  • 高脂質血症
  • 下記に伴う末梢循環障害

    閉塞性動脈硬化症

6. 用法及び用量

通常成人には、1日3カプセルを3回に分けて経口投与する。
なお、年齢、症状により適宜増減する。
なお、トコフェロールニコチン酸エステルとしての用法及び用量は、通常成人1日300~600mgを3回に分けて経口投与する。

9. 特定の背景を有する患者に関する注意

9.5 妊婦

妊婦又は妊娠している可能性のある女性には、治療上の有益性が危険性を上回ると判断される場合にのみ投与すること。

9.6 授乳婦

治療上の有益性及び母乳栄養の有益性を考慮し、授乳の継続又は中止を検討すること。

9.7 小児等

小児等を対象とした臨床試験は実施していない。

11. 副作用

次の副作用があらわれることがあるので、観察を十分に行い、異常が認められた場合には投与を中止するなど適切な処置を行うこと。

11.2 その他の副作用

0.1~5%未満

0.1%未満

頻度不明

消化器

食欲不振、胃部不快感、胃痛、悪心、下痢、便秘

過敏症

発疹

肝臓

肝機能障害(AST、ALTの上昇等)

その他

温感、潮紅

顔面浮腫、浮腫

発現頻度は副作用発生頻度調査結果に基づく。

14. 適用上の注意

14.1 薬剤交付時の注意

PTP包装の薬剤はPTPシートから取り出して服用するよう指導すること。PTPシートの誤飲により、硬い鋭角部が食道粘膜に刺入し、更には穿孔をおこして縦隔洞炎等の重篤な合併症を併発することがある。

16. 薬物動態

16.1 血中濃度

  1. 16.1.1 健康成人男子12名にトコフェロールニコチン酸エステルとして6001)mgを食後単回経口投与後、未変化体及びトコフェロール濃度を測定した。
    未変化体は投与後6時間で最高血漿中濃度(Cmax=0.615μg/mL)を示し、以後、消失半減期4.3時間で速やかに減少した。また、トコフェロール濃度(内因性トコフェロール濃度を除したもの)は投与後10時間で最高血漿中濃度(Cmax=1.62μg/mL)を示し、以後、消失半減期38.5時間で緩徐に減少した1)
    トコフェロールニコチン酸エステル単回経口投与時の血漿中未変化体及びα-トコフェロール濃度
  2. 16.1.2 生物学的同等性試験

    トコフェロールニコチン酸エステルカプセル200mg「日医工」及びユベラNソフトカプセル200mgを、クロスオーバー法によりそれぞれ1カプセル(トコフェロールニコチン酸エステルとして200mg)健康成人男子に食後単回経口投与して血漿中トコフェロールニコチン酸エステル濃度を測定し、得られた薬物動態パラメータ(AUC、Cmax)について統計解析を行った結果、両剤の生物学的同等性が確認された2)

    判定パラメータ

    参考パラメータ

    AUC0→10
    (μg・hr/mL)

    Cmax
    (μg/mL)

    Tmax
    (hr)

    t1/2
    (hr)

    トコフェロールニコチン酸エステルカプセル200mg「日医工」

    1.394±0.199

    0.362±0.059

    4.94±0.43

    1.45±0.12

    ユベラNソフトカプセル200mg

    1.323±0.181

    0.390±0.062

    4.19±0.37

    1.39±0.12

    (1カプセル投与,Mean±S.E.,n=16)

    血漿中薬物濃度推移

    血漿中濃度並びにAUC、Cmax等のパラメータは、被験者の選択、体液の採取回数・時間等の試験条件によって異なる可能性がある。

16.2 吸収

  1. 16.2.1 食事の影響

    健康成人男子4名にトコフェロールニコチン酸エステルとして6001)mgを経口投与した結果、食後服用は空腹時服用に比べ、最高血漿中濃度は32倍、AUCは29倍高い値を示した。本剤の吸収には食事が強く影響する3)

    1) 本剤の承認された用法及び用量は「通常成人1日300~600mgを3回に分けて経口投与する。」である。

17. 臨床成績

17.1 有効性及び安全性に関する試験

  1. 17.1.1 二重盲検試験及び一般臨床試験(高血圧症)

    二重盲検試験及び一般臨床試験において高血圧症の随伴症状の改善が認められた。特に手足のしびれ感、めまい感、首すじや肩のこり、頭痛、不眠、耳鳴、息切れ、抑うつ、四肢冷感などの随伴症状を改善した4),5)

  2. 17.1.2 一般臨床試験(高脂質血症)

    高脂質血症を対象とした一般臨床試験において、トコフェロールニコチン酸エステル投与2カ月後の臨床成績は、投与前の各検査値に比し、総コレステロール高値例では有意な減少が、HDL-コレステロール低値例では有意な上昇が認められ、過酸化脂質は有意な減少が認められた6)

18. 薬効薬理

18.1 作用機序

抗酸化作用による脂質代謝改善、微小循環系賦活作用、血管強化作用、血小板凝集抑制作用を示すことが確認されているが、作用機序は明確ではない。

18.2 脂質代謝改善作用

  1. 18.2.1 加齢ラットやコレステロール負荷ラットの実験でコレステロールの代謝回転を高めることにより、血中総コレステロール値を低下させる。これはトコフェロールニコチン酸エステルがコレステロールの異化・排泄を高めるためと考えられる。さらに過酸化脂質、中性脂肪も低下させる7),8)
  2. 18.2.2 ヒトの血中総コレステロールを低下させ、リポ蛋白代謝において血中HDL-コレステロールを上昇させる6)

18.3 微小循環系賦活作用

  1. 18.3.1 トコフェロールニコチン酸エステルの微小循環系賦活作用は、神経系を介さず、血管平滑筋に直接作用し、血管運動性を維持しながら耳殼血流を増加させることが無麻酔ウサギの実験で認められている9)
  2. 18.3.2 ヒトの末梢循環不全に対する改善作用は、ビタミンEとニコチン酸との併用よりも明らかに優れている10)

18.4 血管強化作用

ヒトの毛細血管の透過性亢進を改善し、紫斑数を減少させることが認められている11)

18.5 血小板凝集抑制作用

  1. 18.5.1 ヒトの凝集能が亢進している血小板に対するアドレナリン凝集、アラキドン酸凝集、コラーゲン凝集、ADP凝集のいずれにおいても血小板凝集抑制が認められている12)
  2. 18.5.2 ヒトの多血小板血漿に対するアラキドン酸凝集、コラーゲン凝集において血小板凝集抑制作用をトコフェロールニコチン酸エステル、トコフェロール酢酸エステル、トコフェロールで比較した結果、トコフェロールニコチン酸エステルが強力な抑制効果を示した13)

18.6 血中酸素分圧上昇作用

ヒトにおいて低下した血中酸素分圧を上昇させることが認められている14)

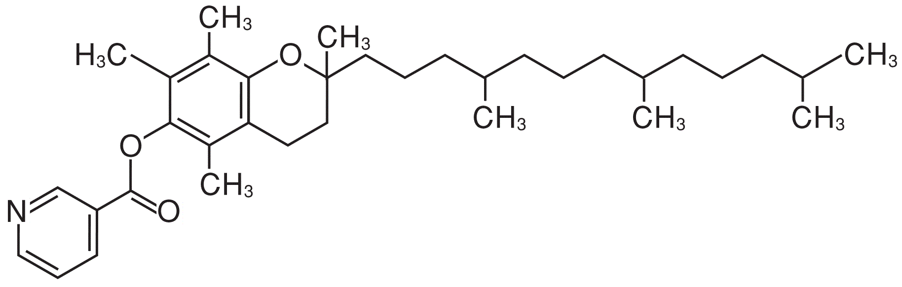
19. 有効成分に関する理化学的知見

一般的名称

トコフェロールニコチン酸エステル(Tocopherol Nicotinate)

化学名

2,5,7,8-Tetramethyl-2-(4,8,12-trimethyltridecyl)chroman-6-yl nicotinate

分子式

C35H53NO3

分子量

535.80

性状

黄色~橙黄色の液体又は固体である。
エタノール(99.5)に溶けやすく、水にほとんど溶けない。
エタノール(99.5)溶液(1→10)は旋光性を示さない。
光によって変化する。

化学構造式

20. 取扱い上の注意

アルミピロー包装開封後は、高温、湿気を避けて保存すること。

22. 包装

100カプセル[10カプセル×10;PTP]
1000カプセル[10カプセル×100;PTP]

24. 文献請求先及び問い合わせ先

日医工株式会社 お客様サポートセンター

〒930-8583 富山市総曲輪1丁目6番21

TEL(0120)517-215

FAX(076)442-8948

26. 製造販売業者等

26.1 製造販売元

日医工ファーマ株式会社

富山市総曲輪1丁目6番21

26.2 販売元

日医工株式会社

富山市総曲輪1丁目6番21

〒100-0013 東京都千代田区霞が関3-3-2 新霞が関ビル

画面を閉じる

Copyright © Pharmaceuticals and Medical Devices Agency, All Rights reserved.