医療用医薬品 詳細表示

タイオゼット注2mL/タイオゼット注5mL

処方せん医薬品

添付文書番号
企業コード
作成又は改訂年月
日本標準商品分類番号
薬効分類名
承認等
一般的名称
1.警告
2.禁忌(次の患者には投与しないこと)
3.組成・性状
3.1組成
3.2製剤の性状
4.効能又は効果
6.用法及び用量
8.重要な基本的注意
9.特定の背景を有する患者に関する注意
9.1合併症・既往歴等のある患者
9.5妊婦
9.6授乳婦
9.7小児等
9.8高齢者
11.副作用
11.1重大な副作用
11.2その他の副作用
13.過量投与
14.適用上の注意
15.その他の注意
15.1臨床使用に基づく情報
18.薬効薬理
18.1作用機序
19.有効成分に関する理化学的知見
20.取扱い上の注意
22.包装
23.主要文献
24.文献請求先及び問い合わせ先
26.製造販売業者等

タイオゼット注2mL/タイオゼット注5mL

添付文書番号

1149502A1097_2_03

企業コード

581120

作成又は改訂年月

2024年10月改訂(第2版)
2024年1月改訂(第1版)

日本標準商品分類番号

871143

薬効分類名

疼痛治療剤(局所注射用)

承認等

タイオゼット注2mL

販売名コード

YJコード

1149502A1097

販売名英語表記

TAIOZET Injection

販売名ひらがな

たいおぜっとちゅう2mL

承認番号等

承認番号

21800AMX10699

販売開始年月

1997年7月

貯法・有効期間

貯法

室温保存

有効期間

3年

タイオゼット注5mL

販売名コード

YJコード

1149503A1091

販売名英語表記

TAIOZET Injection

販売名ひらがな

たいおぜっとちゅう5mL

承認番号等

承認番号

21800AMX10700

販売開始年月

1997年7月

貯法・有効期間

貯法

室温保存

有効期間

3年

一般的名称

サリチル酸ナトリウム・ジブカイン配合剤

1. 警告

本剤を脊椎麻酔に使用しないこと。

2. 禁忌(次の患者には投与しないこと)

  • 〈硬膜外ブロック、浸潤・伝達ブロック(トリガーポイント注射等)〉
    1. 2.1 本剤の成分又はアミド型局所麻酔薬に対し過敏症の既往歴のある患者
  • 〈硬膜外ブロック〉
    1. 2.2 大量出血やショック状態の患者[過度の血圧低下が起こることがある。]
    2. 2.3 注射部位又はその周辺に炎症のある患者[化膿性髄膜炎症状を起こすことがある。]
    3. 2.4 敗血症の患者[敗血症性の髄膜炎を生じるおそれがある。]

3. 組成・性状

3.1 組成

タイオゼット注2mL

有効成分1アンプル(2mL)中:
ジブカイン塩酸塩   2mg
サリチル酸ナトリウム   6mg
臭化カルシウム   4mg
添加剤等張化剤、pH調節剤

タイオゼット注5mL

有効成分1アンプル(5mL)中:
ジブカイン塩酸塩   5mg
サリチル酸ナトリウム   15mg
臭化カルシウム   10mg
添加剤等張化剤、pH調節剤

3.2 製剤の性状

タイオゼット注2mL

pH4.0〜6.0
浸透圧比約1(生理食塩液に対する比)
色・性状無色澄明の注射液

タイオゼット注5mL

pH4.0〜6.0
浸透圧比約1(生理食塩液に対する比)
色・性状無色澄明の注射液

4. 効能又は効果

症候性神経痛、筋肉痛、腰痛症、肩関節周囲炎

6. 用法及び用量

血管内を避けて局所に注射する。

(1)顔面頸骨各部 0.5~1.0mL
(2)肩甲部 1.0~2.0mL
(3)胸・腰各部 1.0~2.5mL
(4)その他局所 0.5~1.0mL

8. 重要な基本的注意

  • 〈硬膜外ブロック、浸潤・伝達ブロック(トリガーポイント注射等)〉
    1. 8.1 まれにショックあるいは中毒症状を起こすことがあるので、本剤の投与に際しては、常時、直ちに救急処置のとれる準備が望ましい。
    2. 8.2 本剤の投与に際し、その副作用を完全に防止する方法はないが、ショックあるいは中毒症状をできるだけ避けるために次の諸点に留意すること。
      1. 8.2.1 患者の全身状態の観察を十分に行うこと。
      2. 8.2.2 できるだけ必要最少量にとどめること。
      3. 8.2.3 注射針が血管又はくも膜下腔に入っていないことを確かめるため、一度吸引し、血液や脊髄液の逆流がないことを必ず確かめてから注射すること。
      4. 8.2.4 注射の速度はできるだけ遅くすること。
  • 〈硬膜外ブロック〉
    1. 8.3 ショックあるいは中毒症状がみられた際に、迅速な処置が行えるように、原則として事前の静脈の確保が望ましい。
  • 〈浸潤・伝達ブロック(トリガーポイント注射等)〉
    1. 8.4 血管の多い部位(頭部、顔面、扁桃等)に注射する場合には、吸収が早いのでできるだけ少ない量で使用すること。

9. 特定の背景を有する患者に関する注意

9.1 合併症・既往歴等のある患者

  • 〈硬膜外ブロック、浸潤・伝達ブロック(トリガーポイント注射等)〉
    1. 9.1.1 本人又は両親、兄弟に気管支喘息、発疹、蕁麻疹等のアレルギー反応を起こしやすい体質を持つ患者

      ショックや発疹等のアレルギー反応を起こすおそれがある。,

    2. 9.1.2 潰瘍性大腸炎の患者、クローン病の患者

      他の非ステロイド性消炎鎮痛剤で症状が悪化したとの報告がある。

  • 〈硬膜外ブロック〉
    1. 9.1.3 中枢神経系疾患:髄膜炎、灰白脊髄炎等の患者

      硬膜外ブロックにより症状が悪化するおそれがある。

    2. 9.1.4 血液疾患や抗凝血剤治療中の患者

      出血しやすいので、血腫形成や脊髄への障害を起こすことがある。

    3. 9.1.5 重篤な高血圧症の患者

      硬膜外ブロックにより低血圧が起こりやすい。

    4. 9.1.6 脊柱の著明な変形のある患者

      脊髄や神経根の損傷のおそれがある。

9.5 妊婦

  • 〈硬膜外ブロック、浸潤・伝達ブロック(トリガーポイント注射等)〉
    1. 9.5.1 *妊婦又は妊娠している可能性のある女性には、治療上の有益性が危険性を上回ると判断される場合にのみ投与すること。投与する際には、必要最小限にとどめ、羊水量、胎児の動脈管収縮を疑う所見を妊娠週数や投与日数を考慮して適宜確認するなど慎重に投与すること。シクロオキシゲナーゼ阻害剤(経口剤、坐剤)を妊婦に使用し、胎児の腎機能障害及び尿量減少、それに伴う羊水過少症が起きたとの報告がある。シクロオキシゲナーゼ阻害剤を妊娠中期以降の妊婦に使用し、胎児の動脈管収縮が起きたとの報告があり、また妊娠後期はその発現リスクがより高くなることが知られている。アスピリン等のサリチル酸製剤には、動物実験で催奇形作用が報告されているものがある。妊娠末期のラットに投与した実験で、胎児動脈管の軽度収縮が報告されている。
  • 〈硬膜外ブロック〉
    1. 9.5.2 妊娠後期の女性では、ブロック範囲が広がり、仰臥性低血圧を起こすことがある。

9.6 授乳婦

治療上の有益性及び母乳栄養の有益性を考慮し、授乳の継続又は中止を検討すること。

9.7 小児等

  1. 9.7.1 15歳未満の水痘、インフルエンザ患者

    投与しないことを原則とするが、やむを得ず投与する場合には、慎重に投与し、投与後の患者の状態を十分に観察すること。サリチル酸系製剤の使用実態は我が国と異なるものの、米国においてサリチル酸系製剤とライ症候群との関連性を示す疫学調査報告がある。[ライ症候群:小児において極めてまれに水痘、インフルエンザ等のウイルス性疾患の先行後、激しい嘔吐、意識障害、痙攣(急性脳浮腫)と肝臓ほか諸臓器の脂肪沈着、ミトコンドリア変形、AST・ALT・LDH・CKの急激な上昇、高アンモニア血症、低プロトロンビン血症、低血糖等の症状が短期間に発現する高死亡率の病態である。]

  2. 9.7.2 小児等を対象とした有効性及び安全性を指標とした臨床試験は実施していない。

9.8 高齢者

  • 〈硬膜外ブロック、浸潤・伝達ブロック(トリガーポイント注射等)〉
    1. 9.8.1 減量するなど注意すること。一般に生理機能が低下している。
  • 〈硬膜外ブロック〉
    1. 9.8.2 用量に留意して慎重に投与すること。一般にブロック範囲が広がりやすい。

11. 副作用

次の副作用があらわれることがあるので、観察を十分に行い、異常が認められた場合には投与を中止するなど適切な処置を行うこと。

11.1 重大な副作用

  1. 11.1.1 ショック、アナフィラキシー(いずれも頻度不明)

    ショック、アナフィラキシーがあらわれることがあり、また心停止に至ることがあるので、脈拍の異常、血圧低下、呼吸抑制、チアノーゼ、意識障害、喘鳴、眼瞼浮腫、発赤、蕁麻疹等があらわれた場合には、直ちに投与を中止し、適切な処置を行うこと。,,,

  2. 11.1.2 悪性高熱(頻度不明)

    原因不明の頻脈・不整脈・血圧変動、急激な体温上昇、筋強直、血液の暗赤色化(チアノーゼ)、過呼吸、発汗、アシドーシス、高カリウム血症、ミオグロビン尿(ポートワイン色尿)等を伴う重篤な悪性高熱がまれにあらわれることが報告されている。本剤を使用中、悪性高熱に伴うこれらの症状を認めた場合は、直ちに中止し、ダントロレンナトリウムの静注、全身冷却、純酸素での過換気、酸塩基平衡の是正等、適切な処置を行うこと。また、本症は腎不全を続発することがあるので、尿量の維持を図ること。

11.2 その他の副作用

頻度不明

中枢神経系

振戦、痙攣等の中毒症状1)

中枢神経系

眠気、不安、興奮、霧視、めまい、悪心、嘔吐、頭痛、気分不良2)

過敏症

蕁麻疹、湿疹、全身のかゆみ、全身の発赤等の皮膚症状、全身性発熱、浮腫

その他

一過性の麻痺、注射部位の疼痛、腫脹、発赤、熱感

1) このような症状があらわれた場合には直ちに投与を中止し、ジアゼパム又は超短時間作用型バルビツール酸製剤(チオペンタールナトリウム等)投与等の適切な処置を行うこと。
2) ショックあるいは中毒への移行に注意し、必要に応じて適切な処置を行うこと。

13. 過量投与

  1. 13.1 症状
    1. 13.1.1 中枢神経系の症状

      初期症状として不安、興奮、多弁、口周囲の知覚麻痺、舌のしびれ、ふらつき、聴覚過敏、耳鳴、視覚障害、振戦等があらわれる。症状が進行すると意識消失、全身痙攣があらわれ、これらの症状に伴い低酸素血症、高炭酸ガス血症が生じるおそれがある。より重篤な場合には呼吸停止を来すこともある。

    2. 13.1.2 心血管系の症状

      血圧低下、徐脈、心筋収縮力低下、心拍出量低下、刺激伝導系の抑制、心室性頻脈及び心室細動等の心室性不整脈、循環虚脱、心停止等があらわれる。

  2. 13.2 処置

    必要に応じて人工呼吸を行う。振戦や痙攣が著明であれば、ジアゼパム又は超短時間作用型バルビツール酸製剤(チオペンタールナトリウム等)を投与する。心機能抑制に対しては、カテコールアミン等の昇圧剤を投与する。心停止を来した場合には直ちに心マッサージを開始する。

14. 適用上の注意

14.1 薬剤投与後の注意

  • 〈浸潤・伝達ブロック(トリガーポイント注射等)〉
    1. 14.1.1 筋肉内注射により局所の硬結、発赤、腫脹、熱感などがみられることがある。

15. その他の注意

15.1 臨床使用に基づく情報

非ステロイド性消炎鎮痛剤を長期間投与されている女性において、一時的な不妊が認められたとの報告がある。

18. 薬効薬理

18.1 作用機序

  1. 18.1.1 ジブカイン塩酸塩

    神経細胞膜のNa+チャネルを抑制することによって神経の活動電位発生を抑制するという局所麻酔薬共通の作用により、知覚神経の求心性伝導を抑制する1)

  2. 18.1.2 サリチル酸ナトリウム

    プロスタグランジン生合成の律速酵素であるシクロオキシゲナーゼ(COX)を阻害し、プロスタグランジンの産生を抑制することにより、抗炎症作用、解熱作用、鎮痛作用を現す。構成型COX(COX-1)と誘導型COX(COX-2)に対する選択性はない2)

  3. 18.1.3 臭化カルシウム

    臭素イオンが大脳皮質に働き中枢の興奮を抑制し、また、そのほかの中枢神経領域の刺激感受性も抑制する。さらに、カルシウムの作用で消炎作用が加わる3)

19. 有効成分に関する理化学的知見

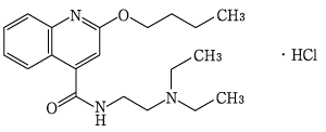
〈ジブカイン塩酸塩〉

一般的名称

ジブカイン塩酸塩(Dibucaine Hydrochloride)

化学名

2-Butyloxy-N-(2-diethylaminoethyl)-4-quinolinecarboxamide monohydrochloride

分子式

C20H29N3O2・HCl

分子量

379.92

性状

白色の結晶又は結晶性の粉末である。水、エタノール(95)又は酢酸(100)に極めて溶けやすく、無水酢酸に溶けやすく、ジエチルエーテルにほとんど溶けない。吸湿性である。

化学構造式

融点

95~100℃

〈サリチル酸ナトリウム〉

一般的名称

サリチル酸ナトリウム(Sodium Salicylate)

化学名

Monosodium 2-hydroxybenzoate

分子式

C7H5NaO3

分子量

160.10

性状

白色の結晶又は結晶性の粉末である。水に極めて溶けやすく、酢酸(100)に溶けやすく、エタノール(95)にやや溶けやすい。光によって徐々に着色する。

化学構造式

〈臭化カルシウム〉

一般的名称

臭化カルシウム(Calcium Bromide)

分子式

CaBr2・2H2O

分子量

235.92

性状

白色の塊又は粒状の結晶で、においはなく、味はわずかに苦い。水又はメタノールに極めて溶けやすく、エタノール(95)に溶けやすく、ジエチルエーテルにほとんど溶けない。極めて吸湿性である。

20. 取扱い上の注意

外箱開封後は、光により分解着色するので、遮光して保存すること。また、着色の認められるものは使用しないこと。

22. 包装

  • 〈タイオゼット注2mL〉

    2mL×100アンプル

  • 〈タイオゼット注5mL〉

    5mL×100アンプル

24. 文献請求先及び問い合わせ先

日医工株式会社 お客様サポートセンター

〒930-8583 富山市総曲輪1丁目6番21

TEL(0120)517-215
FAX(076)442-8948

26. 製造販売業者等

26.1 製造販売元

日医工岐阜工場株式会社

富山市総曲輪1丁目6番21

26.2 発売元

日医工株式会社

富山市総曲輪1丁目6番21

26.3 販売

武田薬品工業株式会社

大阪市中央区道修町四丁目1番1号

〒100-0013 東京都千代田区霞が関3-3-2 新霞が関ビル

画面を閉じる

Copyright © Pharmaceuticals and Medical Devices Agency, All Rights reserved.