医療用医薬品 詳細表示

パロキセチン錠5mg「NIG」/パロキセチン錠10mg「NIG」/パロキセチン錠20mg「NIG」

処方せん医薬品

添付文書番号
企業コード
作成又は改訂年月
日本標準商品分類番号
薬効分類名
承認等
一般的名称
1.警告
2.禁忌(次の患者には投与しないこと)
3.組成・性状
3.1組成
3.2製剤の性状
4.効能又は効果
5.効能又は効果に関連する注意
6.用法及び用量
7.用法及び用量に関連する注意
8.重要な基本的注意
9.特定の背景を有する患者に関する注意
9.1合併症・既往歴等のある患者
9.2腎機能障害患者
9.3肝機能障害患者
9.5妊婦
9.6授乳婦
9.7小児等
9.8高齢者
10.相互作用
10.1併用禁忌(併用しないこと)
10.2併用注意(併用に注意すること)
11.副作用
11.1重大な副作用
11.2その他の副作用
13.過量投与
14.適用上の注意
15.その他の注意
15.1臨床使用に基づく情報
16.薬物動態
16.1血中濃度
16.2吸収
16.3分布
16.4代謝
16.5排泄
16.6特定の背景を有する患者
16.7薬物相互作用
16.8その他
17.臨床成績
17.1有効性及び安全性に関する試験
18.薬効薬理
18.1作用機序
18.25-HT取り込み阻害作用
18.35-HT2C受容体down-regulation誘発作用
18.4抗うつ作用
18.5抗不安作用
18.6抗強迫性障害作用
18.7抗外傷後ストレス障害作用
19.有効成分に関する理化学的知見
22.包装
23.主要文献
24.文献請求先及び問い合わせ先
26.製造販売業者等

パロキセチン錠5mg「NIG」/パロキセチン錠10mg「NIG」/パロキセチン錠20mg「NIG」

添付文書番号

1179041F1394_1_03

企業コード

581120

作成又は改訂年月

2026年2月改訂(第2版)
2024年1月改訂(第1版)

日本標準商品分類番号

871179

薬効分類名

選択的セロトニン再取り込み阻害剤

承認等

パロキセチン錠5mg「NIG」

販売名コード

YJコード

1179041F3389

販売名英語表記

Paroxetine Tablets

販売名ひらがな

ぱろきせちんじょう5mg「NIG」

承認番号等

承認番号

22500AMX01754

販売開始年月

2013年12月

貯法・有効期間

貯法

室温保存

有効期間

3年

基準名

日本薬局方

パロキセチン塩酸塩錠

パロキセチン錠10mg「NIG」

販売名コード

YJコード

1179041F1394

販売名英語表記

Paroxetine Tablets

販売名ひらがな

ぱろきせちんじょう10mg「NIG」

承認番号等

承認番号

22400AMX00499

販売開始年月

2013年12月

貯法・有効期間

貯法

室温保存

有効期間

3年

基準名

日本薬局方

パロキセチン塩酸塩錠

パロキセチン錠20mg「NIG」

販売名コード

YJコード

1179041F2390

販売名英語表記

Paroxetine Tablets

販売名ひらがな

ぱろきせちんじょう20mg「NIG」

承認番号等

承認番号

22400AMX00500

販売開始年月

2013年12月

貯法・有効期間

貯法

室温保存

有効期間

3年

基準名

日本薬局方

パロキセチン塩酸塩錠

一般的名称

パロキセチン塩酸塩水和物錠

1. 警告

海外で実施した7~18歳の大うつ病性障害患者を対象としたプラセボ対照試験において有効性が確認できなかったとの報告、また、自殺に関するリスクが増加するとの報告もあるので、本剤を18歳未満の大うつ病性障害患者に投与する際には適応を慎重に検討すること。
,,,,

2. 禁忌(次の患者には投与しないこと)

  1. 2.1 本剤の成分に対し過敏症の既往歴のある患者
  2. 2.2 MAO阻害剤を投与中あるいは投与中止後2週間以内の患者,
  3. 2.3 ピモジドを投与中の患者

3. 組成・性状

3.1 組成

パロキセチン錠5mg「NIG」

有効成分1錠中:パロキセチン塩酸塩水和物   5.69mg
(パロキセチンとして   5mg )
添加剤クロスポビドン、結晶セルロース、酸化チタン、ステアリン酸マグネシウム、ヒプロメロース、ポリビニルアルコール(部分けん化物)、マクロゴール6000、D-マンニトール、無水リン酸水素カルシウム、三二酸化鉄

パロキセチン錠10mg「NIG」

有効成分1錠中:パロキセチン塩酸塩水和物   11.38mg
(パロキセチンとして   10mg )
添加剤クロスポビドン、結晶セルロース、酸化チタン、ステアリン酸マグネシウム、ヒプロメロース、ポリビニルアルコール(部分けん化物)、マクロゴール6000、D-マンニトール、無水リン酸水素カルシウム、三二酸化鉄

パロキセチン錠20mg「NIG」

有効成分1錠中:パロキセチン塩酸塩水和物   22.76mg
(パロキセチンとして   20mg )
添加剤クロスポビドン、結晶セルロース、酸化チタン、ステアリン酸マグネシウム、ヒプロメロース、ポリビニルアルコール(部分けん化物)、マクロゴール6000、D-マンニトール、無水リン酸水素カルシウム、三二酸化鉄

3.2 製剤の性状

パロキセチン錠5mg「NIG」

外形表面
裏面
側面
大きさ直径5.6mm
厚さ2.5mm
質量約66mg
識別コードt PX
色・剤形帯紅白色のフィルムコーティング錠

パロキセチン錠10mg「NIG」

外形表面
裏面
側面
大きさ直径6.6mm
厚さ3.7mm
質量約130mg
識別コードt PX1
色・剤形帯紅白色のフィルムコーティング錠

パロキセチン錠20mg「NIG」

外形表面
裏面
側面
大きさ直径8.1mm
厚さ4.7mm
質量約260mg
識別コードt PX2
色・剤形帯紅白色のフィルムコーティング錠

4. 効能又は効果

  • うつ病・うつ状態
  • パニック障害
  • 強迫性障害
  • 社会不安障害
  • 外傷後ストレス障害

5. 効能又は効果に関連する注意

  • 〈効能共通〉
    1. 5.1 抗うつ剤の投与により、24歳以下の患者で、自殺念慮、自殺企図のリスクが増加するとの報告があるため、本剤の投与にあたっては、リスクとベネフィットを考慮すること。,,,,,,,,,
  • 〈社会不安障害及び外傷後ストレス障害〉
    1. 5.2 社会不安障害及び外傷後ストレス障害の診断は、DSM注)等の適切な診断基準に基づき慎重に実施し、基準を満たす場合にのみ投与すること。
      注)DSM:American Psychiatric Association(米国精神医学会)のDiagnostic and Statistical Manual of Mental Disorders(精神疾患の診断・統計マニュアル)

6. 用法及び用量

  • 〈うつ病・うつ状態〉

    通常、成人には1日1回夕食後、パロキセチンとして20~40mgを経口投与する。投与は1回10~20mgより開始し、原則として1週ごとに10mg/日ずつ増量する。なお、症状により1日40mgを超えない範囲で適宜増減する。

  • 〈パニック障害〉

    通常、成人には1日1回夕食後、パロキセチンとして30mgを経口投与する。投与は1回10mgより開始し、原則として1週ごとに10mg/日ずつ増量する。なお、症状により1日30mgを超えない範囲で適宜増減する。

  • 〈強迫性障害〉

    通常、成人には1日1回夕食後、パロキセチンとして40mgを経口投与する。投与は1回20mgより開始し、原則として1週ごとに10mg/日ずつ増量する。なお、症状により1日50mgを超えない範囲で適宜増減する。

  • 〈社会不安障害〉

    通常、成人には1日1回夕食後、パロキセチンとして20mgを経口投与する。投与は1回10mgより開始し、原則として1週ごとに10mg/日ずつ増量する。なお、症状により1日40mgを超えない範囲で適宜増減する。

  • 〈外傷後ストレス障害〉

    通常、成人には1日1回夕食後、パロキセチンとして20mgを経口投与する。投与は1回10~20mgより開始し、原則として1週ごとに10mg/日ずつ増量する。なお、症状により1日40mgを超えない範囲で適宜増減する。

7. 用法及び用量に関連する注意

  1. 7.1 本剤の投与量は必要最小限となるよう、患者ごとに慎重に観察しながら調節すること。
  2. 7.2 原則として、5mg錠は減量又は中止時のみに使用すること。

8. 重要な基本的注意

  • 〈効能共通〉
    1. 8.1 眠気、めまい等があらわれることがあるので、自動車の運転等危険を伴う機械を操作する際には十分注意させること。これらの症状は治療開始早期に多くみられている。
    2. 8.2 うつ症状を呈する患者は希死念慮があり、自殺企図のおそれがあるので、このような患者は投与開始早期ならびに投与量を変更する際には患者の状態及び病態の変化を注意深く観察すること。
      なお、うつ病・うつ状態以外で本剤の適応となる精神疾患においても自殺企図のおそれがあり、さらにうつ病・うつ状態を伴う場合もあるので、このような患者にも注意深く観察しながら投与すること。,,,,,,,,
    3. 8.3 不安、焦燥、興奮、パニック発作、不眠、易刺激性、敵意、攻撃性、衝動性、アカシジア/精神運動不穏、軽躁、躁病等があらわれることが報告されている。また、因果関係は明らかではないが、これらの症状・行動を来した症例において、基礎疾患の悪化又は自殺念慮、自殺企図、他害行為が報告されている。患者の状態及び病態の変化を注意深く観察するとともに、これらの症状の増悪が観察された場合には、服薬量を増量せず、徐々に減量し、中止するなど適切な処置を行うこと。,,,,,,,,,,
    4. 8.4 若年成人(特に大うつ病性障害患者)において、本剤投与中に自殺行動(自殺既遂、自殺企図)のリスクが高くなる可能性が報告されているため、これらの患者に投与する場合には注意深く観察すること。,,,,,,,,,
    5. 8.5 自殺目的での過量服用を防ぐため、自殺傾向が認められる患者に処方する場合には、1回分の処方日数を最小限にとどめること。,,,,,,,,
    6. 8.6 家族等に自殺念慮や自殺企図、興奮、攻撃性、易刺激性等の行動の変化及び基礎疾患悪化があらわれるリスク等について十分説明を行い、医師と緊密に連絡を取り合うよう指導すること。,,,,,,,,,,
    7. 8.7 投与中止(特に突然の中止)又は減量により、めまい、知覚障害(錯感覚、電気ショック様感覚、耳鳴等)、睡眠障害(悪夢を含む)、不安、焦燥、興奮、意識障害、嘔気、振戦、錯乱、発汗、頭痛、下痢等があらわれることがある。症状の多くは投与中止後数日以内にあらわれ、軽症から中等症であり、2週間程で軽快するが、患者によっては重症であったり、また、回復までに2、3ヵ月以上かかる場合もある。これまでに得られた情報からはこれらの症状は薬物依存によるものではないと考えられている。
      本剤の減量又は投与中止に際しては、以下の点に注意すること。
      • 突然の投与中止を避けること。投与を中止する際は、患者の状態を見ながら数週間又は数ヵ月かけて徐々に減量すること。
      • 減量又は中止する際には5mg錠の使用も考慮すること。
      • 減量又は投与中止後に耐えられない症状が発現した場合には、減量又は中止前の用量にて投与を再開し、より緩やかに減量することを検討すること。
      • 患者の判断で本剤の服用を中止することのないよう十分な服薬指導をすること。また、飲み忘れにより上記のめまい、知覚障害等の症状が発現することがあるため、患者に必ず指示されたとおりに服用するよう指導すること。
  • 〈うつ病・うつ状態〉
    1. 8.8 大うつ病エピソードは、双極性障害の初発症状である可能性があり、抗うつ剤単独で治療した場合、躁転や病相の不安定化を招くことが一般的に知られている。従って、双極性障害を適切に鑑別すること。
  • 〈外傷後ストレス障害〉
    1. 8.9 外傷後ストレス障害患者においては、症状の経過を十分に観察し、本剤を漫然と投与しないよう、定期的に本剤の投与継続の要否について検討すること。

9. 特定の背景を有する患者に関する注意

9.1 合併症・既往歴等のある患者

  1. 9.1.1 躁うつ病患者

    躁転、自殺企図があらわれることがある。,,,,,,,,

  2. 9.1.2 自殺念慮又は自殺企図の既往のある患者、自殺念慮のある患者

    自殺念慮、自殺企図があらわれることがある。,,,,,,,,,

  3. 9.1.3 脳の器質的障害又は統合失調症の素因のある患者

    精神症状を増悪させることがある。,,

  4. 9.1.4 衝動性が高い併存障害を有する患者

    精神症状を増悪させることがある。,,

  5. 9.1.5 てんかんの既往歴のある患者

    てんかん発作があらわれることがある。

  6. 9.1.6 緑内障患者

    散瞳があらわれることがある。

  7. 9.1.7 出血の危険性を高める薬剤を併用している患者、出血傾向又は出血性素因のある患者

    皮膚及び粘膜出血(胃腸出血等)が報告されている。

  8. 9.1.8 QT間隔延長又はその既往歴のある患者、心疾患又はその既往歴のある患者

    QT間隔延長を起こすおそれがある。

9.2 腎機能障害患者

  1. 9.2.1 重度の腎障害のある患者

    血中濃度が上昇することがある。

9.3 肝機能障害患者

  1. 9.3.1 肝障害のある患者

    血中濃度が上昇することがある。

9.5 妊婦

  • 妊婦又は妊娠している可能性のある女性には、治療上の有益性が危険性を上回ると判断される場合にのみ本剤の投与を開始すること。また、本剤投与中に妊娠が判明した場合には、投与継続が治療上妥当と判断される場合以外は、投与を中止するか、代替治療を実施すること。
    1. 9.5.1 海外の疫学調査において、妊娠第1三半期に本剤を投与された女性が出産した新生児では先天異常、特に心血管系異常(心室又は心房中隔欠損等)のリスクが増加した。このうち1つの調査では、一般集団における新生児の心血管系異常の発生率は約1%であるのに対し、パロキセチン曝露時の発生率は約2%と報告されている。
    2. 9.5.2 妊娠末期に本剤を投与された女性が出産した新生児において、呼吸抑制、無呼吸、チアノーゼ、多呼吸、てんかん様発作、振戦、筋緊張低下又は亢進、反射亢進、ぴくつき、易刺激性、持続的な泣き、嗜眠、傾眠、発熱、低体温、哺乳障害、嘔吐、低血糖等の症状があらわれたとの報告があり、これらの多くは出産直後又は出産後24時間までに発現していた。なお、これらの症状は、新生児仮死あるいは薬物離脱症状として報告された場合もある。
    3. 9.5.3 海外の疫学調査において、妊娠中に本剤を含む選択的セロトニン再取り込み阻害剤を投与された女性が出産した新生児において新生児遷延性肺高血圧症のリスクが増加したとの報告がある1)2) 。このうち1つの調査では、妊娠34週以降に生まれた新生児における新生児遷延性肺高血圧症発生のリスク比は、妊娠早期の投与では2.4(95%信頼区間1.2-4.3)、妊娠早期及び後期の投与では3.6(95%信頼区間1.2-8.3)であった2)

9.6 授乳婦

治療上の有益性及び母乳栄養の有益性を考慮し、授乳の継続又は中止を検討すること。授乳婦の患者に本剤10~40mgを1日1回8日間以上反復経口投与した時、投与量の約1%が乳汁中へ移行した3)(外国人データ)。

9.7 小児等

  1. 9.7.1 小児等を対象とした臨床試験は実施していない。長期投与による成長への影響については検討されていない。
  2. 9.7.2 海外で実施した7~18歳の大うつ病性障害患者(DSM-IVにおける分類)を対象としたプラセボ対照の臨床試験において本剤の有効性が確認できなかったとの報告がある。また、7~18歳の大うつ病性障害、強迫性障害、社会不安障害患者を対象とした臨床試験を集計した結果、2%以上かつプラセボ群の2倍以上の頻度で報告された有害事象は以下のとおりであった。
    • 本剤投与中:食欲減退、振戦、発汗、運動過多、敵意、激越、情動不安定(泣き、気分変動、自傷、自殺念慮、自殺企図等)なお、自殺念慮、自殺企図は主に12~18歳の大うつ病性障害患者で、また、敵意(攻撃性、敵対的行為、怒り等)は主に強迫性障害又は12歳未満の患者で観察された。
    • 本剤減量中又は中止後:神経過敏、めまい、嘔気、情動不安定(涙ぐむ、気分変動、自殺念慮、自殺企図等)、腹痛

9.8 高齢者

血中濃度が上昇するおそれがあるため、十分に注意しながら投与すること。また、抗利尿ホルモン不適合分泌症候群(SIADH)、出血の危険性が高くなるおそれがあるので注意すること。,

10. 相互作用

  • 本剤は、主として肝代謝酵素CYP2D6で代謝される。また、CYP2D6の阻害作用をもつ。

10.1 併用禁忌(併用しないこと)

薬剤名等臨床症状・措置方法機序・危険因子

MAO阻害剤

  • セレギリン塩酸塩(エフピー)
  • ラサギリンメシル酸塩(アジレクト)
  • サフィナミドメシル酸塩(エクフィナ)

,

セロトニン症候群があらわれることがある。
MAO阻害剤を投与中あるいは投与中止後2週間以内の患者には投与しないこと。
また、本剤の投与中止後2週間以内にMAO阻害剤の投与を開始しないこと。

脳内セロトニン濃度が高まると考えられている。

ピモジド

QT延長、心室性不整脈(torsade de pointesを含む)等の重篤な心臓血管系の副作用があらわれるおそれがある。

ピモジド(2mg)との併用により、ピモジドの血中濃度が上昇したことが報告されている。本剤が肝臓の薬物代謝酵素CYP2D6を阻害することによると考えられる。

10.2 併用注意(併用に注意すること)

薬剤名等臨床症状・措置方法機序・危険因子

セロトニン作用を有する薬剤

  • 炭酸リチウム
  • 選択的セロトニン再取り込み阻害剤
  • トリプタン系薬剤
    • スマトリプタンコハク酸塩等
  • セロトニン前駆物質(L-トリプトファン、5-ヒドロキシトリプトファン等)含有製剤又は食品等
  • トラマドール塩酸塩
  • フェンタニルクエン酸塩
  • リネゾリド
  • セイヨウオトギリソウ(St. John’s Wort, セント・ジョーンズ・ワート)含有食品等

セロトニン症候群等のセロトニン作用による症状があらわれることがある。
これらの薬物を併用する際には観察を十分に行うこと。

相互にセロトニン作用が増強するおそれがある。

  • メチルチオニニウム塩化物水和物(メチレンブルー)

セロトニン症候群等のセロトニン作用による症状があらわれることがある。
これらの薬物を併用する際には観察を十分に行うこと。

メチルチオニニウム塩化物水和物はMAO阻害作用を有するため、セロトニン作用が増強される。

フェノチアジン系抗精神病剤

  • ペルフェナジン

 

 

リスペリドン

これらの抗精神病剤との併用により悪性症候群があらわれるおそれがある。

 

これらの薬剤の作用が増強され、過鎮静、錐体外路症状等の発現が報告されている。

本剤が肝臓の薬物代謝酵素CYP2D6を阻害することにより、患者によってはこれら薬剤の血中濃度が上昇するおそれがある。
ペルフェナジンとの併用により、ペルフェナジンの血中濃度が約6倍増加したことが報告されている。
リスペリドンとの併用により、リスペリドン及び活性代謝物の血中濃度が約1.4倍増加したことが報告されている。
イミプラミンとの併用により、イミプラミンのAUCが約1.7倍増加したことが報告されている。

三環系抗うつ剤

  • アミトリプチリン塩酸塩
    ノルトリプチリン塩酸塩
    イミプラミン塩酸塩

これら薬剤の作用が増強されるおそれがある。イミプラミンと本剤の薬物相互作用試験において、併用投与により鎮静及び抗コリン作用の症状が報告されている。

本剤が肝臓の薬物代謝酵素CYP2D6を阻害することにより、患者によってはこれら薬剤の血中濃度が上昇するおそれがある。
ペルフェナジンとの併用により、ペルフェナジンの血中濃度が約6倍増加したことが報告されている。
リスペリドンとの併用により、リスペリドン及び活性代謝物の血中濃度が約1.4倍増加したことが報告されている。
イミプラミンとの併用により、イミプラミンのAUCが約1.7倍増加したことが報告されている。

抗不整脈剤

  • プロパフェノン塩酸塩
    フレカイニド酢酸塩

これら薬剤の作用が増強されるおそれがある。

本剤が肝臓の薬物代謝酵素CYP2D6を阻害することにより、患者によってはこれら薬剤の血中濃度が上昇するおそれがある。
ペルフェナジンとの併用により、ペルフェナジンの血中濃度が約6倍増加したことが報告されている。
リスペリドンとの併用により、リスペリドン及び活性代謝物の血中濃度が約1.4倍増加したことが報告されている。
イミプラミンとの併用により、イミプラミンのAUCが約1.7倍増加したことが報告されている。

β-遮断剤

  • チモロールマレイン酸塩

これら薬剤の作用が増強されるおそれがある。

本剤が肝臓の薬物代謝酵素CYP2D6を阻害することにより、患者によってはこれら薬剤の血中濃度が上昇するおそれがある。
ペルフェナジンとの併用により、ペルフェナジンの血中濃度が約6倍増加したことが報告されている。
リスペリドンとの併用により、リスペリドン及び活性代謝物の血中濃度が約1.4倍増加したことが報告されている。
イミプラミンとの併用により、イミプラミンのAUCが約1.7倍増加したことが報告されている。

  • メトプロロール酒石酸塩

メトプロロールと本剤の併用投与により、重度の血圧低下が報告されている。

本剤が肝臓の薬物代謝酵素CYP2D6を阻害することにより、メトプロロールの(S)-体及び(R)-体のT1/2がそれぞれ約2.1及び2.5倍、AUCがそれぞれ約5及び8倍増加したことが報告されている。

アトモキセチン塩酸塩

併用によりアトモキセチンの血中濃度が上昇したとの報告がある。

本剤が肝臓の薬物代謝酵素CYP2D6を阻害することによると考えられる。

タモキシフェンクエン酸塩

タモキシフェンの作用が減弱されるおそれがある。
併用により乳癌による死亡リスクが増加したとの報告がある。

本剤が肝臓の薬物代謝酵素CYP2D6を阻害することにより、タモキシフェンの活性代謝物の血中濃度が減少するおそれがある。

キニジン硫酸塩水和物
シメチジン

本剤の作用が増強するおそれがある。

これらの薬剤の肝薬物代謝酵素阻害作用により、本剤の血中濃度が上昇するおそれがある。

フェニトイン
フェノバルビタール
カルバマゼピン
リファンピシン
,

本剤の作用が減弱するおそれがある。

これらの薬剤の肝薬物代謝酵素誘導作用により、本剤の血中濃度が低下するおそれがある。

ホスアンプレナビルカルシウム水和物とリトナビルの併用時

本剤の作用が減弱するおそれがある。

作用機序は不明であるが、ホスアンプレナビルとリトナビルとの併用時に本剤の血中濃度が約60%減少したことが報告されている。

ワルファリンカリウム

ワルファリンの作用が増強されるおそれがある。

本剤との相互作用は認められていないが、他の抗うつ剤で作用の増強が報告されている。

ジゴキシン

ジゴキシンの作用が減弱されるおそれがある。

健康人において、本剤との併用によるジゴキシンの血中濃度の低下が認められている。

止血・血液凝固を阻害する薬剤

  • 非ステロイド性抗炎症剤、アスピリン、ワルファリンカリウム等

出血症状の報告のある薬剤

  • フェノチアジン系抗精神病剤、非定型抗精神病剤、三環系抗うつ剤等

出血傾向が増強するおそれがある。

これらの薬剤を併用することにより作用が増強されることが考えられる。

アルコール
(飲酒)

本剤服用中は、飲酒を避けることが望ましい。

本剤との相互作用は認められていないが、他の抗うつ剤で作用の増強が報告されている。

11. 副作用

次の副作用があらわれることがあるので、観察を十分に行い、異常が認められた場合には投与を中止するなど適切な処置を行うこと。

11.1 重大な副作用

  1. 11.1.1 セロトニン症候群(頻度不明)

    不安、焦燥、興奮、錯乱、幻覚、反射亢進、ミオクロヌス、発汗、戦慄、頻脈、振戦等があらわれるおそれがある。セロトニン作用薬との併用時に発現する可能性が高くなるため、特に注意すること。異常が認められた場合には、投与を中止し、水分補給等の全身管理とともに適切な処置を行うこと。,,

  2. 11.1.2 悪性症候群(頻度不明)

    無動緘黙、強度の筋強剛、嚥下困難、頻脈、血圧の変動、発汗等が発現し、それに引き続き発熱がみられる場合がある。抗精神病剤との併用時にあらわれることが多いため、特に注意すること。異常が認められた場合には、抗精神病剤及び本剤の投与を中止し、体冷却、水分補給等の全身管理とともに適切な処置を行うこと。本症発現時には、白血球の増加や血清CKの上昇がみられることが多く、また、ミオグロビン尿を伴う腎機能の低下がみられることがある。

  3. 11.1.3 痙攣(0.1%未満)、錯乱、幻覚、せん妄(いずれも頻度不明)
  4. 11.1.4 中毒性表皮壊死融解症(Toxic Epidermal Necrolysis:TEN)、皮膚粘膜眼症候群(Stevens-Johnson症候群)、多形紅斑(いずれも頻度不明)
  5. 11.1.5 抗利尿ホルモン不適合分泌症候群(SIADH)(頻度不明)

    主に高齢者において、低ナトリウム血症、痙攣等があらわれることが報告されている。異常が認められた場合には、投与を中止し、水分摂取の制限等適切な処置を行うこと。

  6. 11.1.6 重篤な肝機能障害(頻度不明)

    肝不全、肝壊死、肝炎、黄疸等があらわれることがある。必要に応じて肝機能検査を行い、異常が認められた場合には、投与を中止する等適切な処置を行うこと。

  7. 11.1.7 横紋筋融解症(頻度不明)

    筋肉痛、脱力感、CK上昇、血中及び尿中ミオグロビン上昇等があらわれた場合には、投与を中止し、適切な処置を行うこと。また、横紋筋融解症による急性腎障害の発症に注意すること。

  8. 11.1.8 白血球減少(2.4%)、血小板減少(0.1%)、汎血球減少、無顆粒球症(いずれも頻度不明)

    血液検査等の観察を十分に行い、異常が認められた場合には投与を中止し、適切な処置を行うこと。

  9. 11.1.9 アナフィラキシー(頻度不明)

    アナフィラキシー(発疹、血管性浮腫、呼吸困難等)があらわれることがある。

11.2 その他の副作用

10%以上

10%未満

頻度不明

全身症状

倦怠(感)、ほてり、無力症、疲労、発熱、悪寒

精神神経系

傾眠(23.6%)、めまい

頭痛、不眠、振戦、神経過敏、知覚減退、躁病反応、感情鈍麻、錐体外路障害、あくび、アカシジア注1)、味覚異常、異常な夢(悪夢を含む)、健忘、失神、離人症

激越、緊張亢進、レストレスレッグス症候群

消化器

嘔気

便秘、食欲不振、腹痛、口渇、嘔吐、下痢、消化不良

循環器

心悸亢進、一過性の血圧上昇又は低下、起立性低血圧、頻脈

過敏症

発疹、そう痒、蕁麻疹、血管性浮腫、紅斑性発疹

光線過敏症

血液

白血球増多、ヘモグロビン減少、ヘマトクリット値増加又は減少、赤血球減少、異常出血(皮下溢血、紫斑、胃腸出血等)

肝臓

肝機能検査値異常(ALT、AST、γ-GTP、LDH、Al-P、総ビリルビンの上昇、ウロビリノーゲン陽性等)

腎臓・泌尿器

BUN上昇、尿沈渣(赤血球、白血球)、尿蛋白、排尿困難、尿閉、尿失禁

霧視、視力異常、散瞳

急性緑内障

その他

性機能異常(射精遅延、勃起障害等)注2)、発汗、総コレステロール上昇、体重増加、血清カリウム上昇、総蛋白減少、乳汁漏出、末梢性浮腫、月経障害(不正子宮出血、無月経等)

高プロラクチン血症

注1)内的な落ち着きのなさ、静坐/起立困難等の精神運動性激越であり、苦痛が伴うことが多い。治療開始後数週間以内に発現しやすい。
注2)強迫性障害患者を対象とした本邦での臨床試験において95例中6例(6.3%)に射精遅延等の性機能異常が認められた。

13. 過量投与

  1. 13.1 症状

    外国において、本剤単独2000mgまでの、また、他剤との併用による過量投与が報告されている。過量投与後にみられる主な症状は、11.副作用の項にあげる症状の他、発熱、不随意筋収縮及び不安等である。飲酒の有無にかかわらず他の精神病用薬と併用した場合に、昏睡、心電図の変化があらわれることがある。

14. 適用上の注意

14.1 薬剤交付時の注意

PTP包装の薬剤はPTPシートから取り出して服用するよう指導すること。PTPシートの誤飲により、硬い鋭角部が食道粘膜へ刺入し、更には穿孔をおこして縦隔洞炎等の重篤な合併症を併発することがある。

15. その他の注意

15.1 臨床使用に基づく情報

  1. 15.1.1 海外において、1日量10mgずつ1週間間隔で減量し20mgで1週間投与継続し中止する漸減法を実施した臨床試験を集計した結果、漸減期又は投与中止後に観察された有害事象の頻度は30%、プラセボ群は20%であった。さらに10mgまで減量する漸減法を実施した7~18歳の患者が対象の試験では本剤32%、プラセボ群24%であった。
  2. 15.1.2 海外で実施された大うつ病性障害等の精神疾患を有する患者を対象とした、本剤を含む複数の抗うつ剤の短期プラセボ対照臨床試験の検討結果において、24歳以下の患者では、自殺念慮や自殺企図の発現のリスクが抗うつ剤投与群でプラセボ群と比較して高かった。なお、25歳以上の患者における自殺念慮や自殺企図の発現のリスクの上昇は認められず、65歳以上においてはそのリスクが減少した。,,,,,,,,
  3. 15.1.3 海外で実施された精神疾患を有する成人患者を対象とした、本剤のプラセボ対照臨床試験の検討結果より、大うつ病性障害の患者において、プラセボ群と比較して本剤投与群での自殺企図の発現頻度が統計学的に有意に高かった(本剤投与群3455例中11例(0.32%)、プラセボ群1978例中1例(0.05%))。なお、本剤投与群での報告の多くは18~30歳の患者であった。,,,,,,,
  4. 15.1.4 主に50歳以上を対象に実施された海外の疫学調査において、選択的セロトニン再取り込み阻害剤及び三環系抗うつ剤を含む抗うつ剤を投与された患者で、骨折のリスクが上昇したとの報告がある。
  5. 15.1.5 海外で実施された臨床試験において、本剤を含む選択的セロトニン再取り込み阻害剤が精子特性を変化させ、受精率に影響を与える可能性が報告されている。

16. 薬物動態

16.1 血中濃度

  1. 16.1.1 単回投与

    健康成人(20~27歳)にパロキセチン10、20又は40mgを単回経口投与した時の投与量で補正した最高血漿中濃度(Cmax)の平均値は10mg群と比較して20及び40mg群でそれぞれ1.98及び4.69倍であり、投与量の増加を上回った増加が確認された。また、40mg群の投与量で補正した血漿中濃度曲線下面積(AUC)は20mg群の2.48倍であり、Cmaxと同様に投与量の増加を上回った増加がみられ、薬物動態の非線形性が確認された4)

    図 健康成人にパロキセチン10、20又は40mgを単回経口投与した時の血漿中パロキセチン濃度
    (平均値+標準偏差、19例)

    表 健康成人に単回経口投与した時の薬物動態学的パラメータ

    投与量
    (mg)

    Cmax
    (ng/mL)

    Tmax
    (hr)

    AUC
    (ng・hr/mL)

    T1/2
    (hr)

    10

    1.93±1.38

    4.61±1.04

    20

    6.48±4.10

    5.05±1.22

    119.6±100.1

    14.35±10.99

    40

    26.89±11.00

    4.58±0.96

    447.2±254.8

    14.98±11.51

    -:算出できず                平均値±標準偏差(19例)
    Tmax:最高濃度到達時間、T1/2:消失半減期

  2. 16.1.2 反復投与

    健康成人(21~27歳)にパロキセチン20mgを1日1回10日間反復経口投与した時の血漿中濃度は、初回投与5時間後にCmax 12.5ng/mLに達し、T1/2は約10時間であった。Cminは反復投与7日目に定常状態(約23ng/mL)に達した。反復投与時の血漿中濃度は、最終投与5時間後にCmax 59.5ng/mLに達し、T1/2は約15時間であった5)

  3. 16.1.3 生物学的同等性試験
    • 〈パロキセチン錠10mg「NIG」〉
      1. (1) パロキセチン錠10mg「NIG」とパキシル錠10mgを、クロスオーバー法によりそれぞれ2錠[パロキセチン塩酸塩水和物として22.76mg(パロキセチンとして20mg)]健康成人男子に絶食単回経口投与して血漿中未変化体濃度を測定し、得られた薬物動態パラメータ(AUC、Cmax)について90%信頼区間法にて統計解析を行った結果、log(0.80)〜log(1.25)の範囲内であり、両剤の生物学的同等性が確認された6)
        薬物動態パラメータ

        投与量

        (mg)

        AUC0-72

        (ng・hr/mL)

        Cmax

        (ng/mL)

        Tmax

        (hr)

        T1/2

        (hr)

        パロキセチン錠10mg「NIG」

        20

        154.57±119.63

        8.30±5.87

        5.2±1.3

        11.6±1.5

        パキシル錠10mg

        20

        161.00±118.09

        8.91±5.93

        5.2±1.2

        11.5±1.5

        (平均±標準偏差、n=19)

        • 血漿中濃度並びにAUC、Cmax等のパラメータは、被験者の選択、体液の採取回数・時間等の試験条件によって異なる可能性がある。
    • 〈パロキセチン錠20mg「NIG」〉
      1. (2) パロキセチン錠20mg「NIG」とパキシル錠20mgを、クロスオーバー法によりそれぞれ1錠[パロキセチン塩酸塩水和物として22.76mg(パロキセチンとして20mg)]健康成人男子に絶食単回経口投与して血漿中未変化体濃度を測定し、得られた薬物動態パラメータ(AUC、Cmax)について90%信頼区間法にて統計解析を行った結果、log(0.80)〜log(1.25)の範囲内であり、両剤の生物学的同等性が確認された6)
        薬物動態パラメータ

        投与量

        (mg)

        AUC0-72

        (ng・hr/mL)

        Cmax

        (ng/mL)

        Tmax

        (hr)

        T1/2

        (hr)

        パロキセチン錠20mg「NIG」

        20

        113.36±78.62

        6.62±3.19

        5.3±1.3

        12.0±3.6

        パキシル錠20mg

        20

        120.04±93.32

        7.20±4.54

        5.4±1.1

        11.3±1.9

        (平均±標準偏差、n=18)

        • 血漿中濃度並びにAUC、Cmax等のパラメータは、被験者の選択、体液の採取回数・時間等の試験条件によって異なる可能性がある。

16.2 吸収

  1. 16.2.1 食事の影響

    健康成人にパロキセチン20mgを空腹時又は食後に単回経口投与した時の薬物動態学的パラメータに差は認められず、食事の影響はないと考えられる7)(外国人データ)。

16.3 分布

  1. 16.3.1 血漿タンパク結合率

    In vitroでヒト血漿にパロキセチンの100又は400ng/mLを添加した時の血漿タンパク結合率は、それぞれ約95及び93%であった8)

  2. 16.3.2 血球分配率

    In vitroでヒト血液に14C標識パロキセチン塩酸塩を添加した時の血球分配率は51%であり、血球移行が認められた9)

16.4 代謝

ヒト肝ミクロソームを用いたin vitro試験により、パロキセチンのCYP2D6に対する阻害様式は拮抗阻害であり、sparteineの脱水素反応を指標としたKi値は0.15μMであった10),11)
パロキセチンは主に肝臓のCYP2D6により代謝されることから、薬物動態の非線形性はCYP2D6による代謝の飽和と考えられる12)
パロキセチンがCYP2D6を阻害し、表現型がExtensive MetabolizerからPoor Metabolizer様へ変換することから、CYP2D6で代謝される薬剤との相互作用が考えられる11),13),14)
なお、この表現型の変換は休薬後約1週間で回復する12)

16.5 排泄

健康成人に14C標識パロキセチン塩酸塩30mgを単回経口投与した時の放射能は、投与後168時間以内に投与量の約64%が尿中にほとんど代謝物として排泄され、糞中には約35%が排泄された15),16)(外国人データ)。

16.6 特定の背景を有する患者

  1. 16.6.1 腎機能障害者

    腎機能障害者にパロキセチン20mgを1日1回18日間反復経口投与した時、重度の腎機能障害者(クレアチニンクリアランス値30mL/分未満)において、血漿中濃度の上昇及びAUCの増大が認められた17)(外国人データ)。

  2. 16.6.2 肝機能障害者

    肝機能障害者に肝機能低下の程度に応じパロキセチン20又は30mgを1日1回14日間反復経口投与した時、血漿中濃度の上昇、T1/2の延長及びAUCの増大が認められた18)(外国人データ)。

  3. 16.6.3 高齢者

    健康高齢者(65~80歳)にパロキセチン20mgを単回経口投与した時の血漿中濃度は投与約6時間後にCmax 7.3ng/mLに達し、T1/2は約18時間であった19)

16.7 薬物相互作用

  1. 16.7.1 フェノバルビタール

    フェノバルビタール100mgを1日1回14日間反復投与し、14日目にパロキセチン30mgを単回経口投与した時、血漿中パロキセチンのAUC及びT1/2は、それぞれ平均25及び38%減少した20)

  2. 16.7.2 フェニトイン

    フェニトイン300mgを1日1回14日間反復投与し、14日目にパロキセチン30mgを単回経口投与した時、血漿中パロキセチンのAUC及びT1/2は、それぞれ平均50及び35%減少した。パロキセチン30mgを1日1回14日間反復投与し、14日目にフェニトイン300mgを単回経口投与した時、フェニトインのAUCは平均12%減少した20)

  3. 16.7.3 シメチジン

    パロキセチン30mgを1日1回28日間反復投与し、投与22~28日目にシメチジン300mgを1日3回反復併用投与した時、定常状態におけるパロキセチン濃度は、併用投与期間中に約50%増加した20)

  4. 16.7.4 ジゴキシン

    ジゴキシン0.25mgを1日1回28日間反復投与し、投与15~42日目にパロキセチン30mgを1日1回反復併用投与した時、定常状態におけるジゴキシンの平均AUCは、パロキセチンの併用により15%減少した20)

  5. 16.7.5 その他の薬剤

    プロプラノロール、ジアゼパム、ワルファリン、ジゴキシン、メチルドパ又はアルコールとの併用投与において、パロキセチンの薬物動態に影響はみられなかった20),21)。また、パロキセチンはワルファリン、グリベンクラミド及びフェニトインの血漿タンパク結合率に影響を及ぼさなかった22)in vitro)。

16.8 その他

  • 〈パロキセチン錠5mg「NIG」〉

    パロキセチン錠5mg「NIG」は、「含量が異なる経口固形製剤の生物学的同等性試験ガイドライン(平成24年2月29日 薬食審査発0229第10号)」に基づき、パロキセチン錠10mg「NIG」を標準製剤としたとき、溶出挙動が等しく、生物学的に同等とみなされた6)

17. 臨床成績

17.1 有効性及び安全性に関する試験

  • 〈うつ病・うつ状態〉
    1. 17.1.1 国内臨床試験

      二重盲検比較試験23),24),25)及び一般臨床試験26),27),28),29)において、うつ病・うつ状態に対して、1回10~40mg、1日1回投与の有効率は50.4%(229/454例)であった。
      なお、高齢のうつ病・うつ状態患者を対象とした一般臨床試験28)での有効率は55.1%(27/49例)であり、認められた副作用の種類、副作用発現率及びその程度は、非高齢者と同様であった。

  • 〈パニック障害〉
    1. 17.1.2 国内臨床試験

      二重盲検比較試験30),31)及び一般臨床試験32)において、パニック障害に対して、1回10~30mg、1日1回投与の有効率は59.9%(106/177例)であった。
      なお、プラセボを対照とした二重盲検比較試験31)においてパロキセチンの有用性が確認された。
      副作用発現頻度は、49.4%(42/85例)であった。主な副作用は、嘔気20.0%(17/85例)であった。

  • 〈強迫性障害〉
    1. 17.1.3 国内臨床試験

      プラセボを対照とした二重盲検比較試験33)において、強迫性障害に対して、1回20~50mg、1日1回投与の有効率は50.0%(47/94例)であり、パロキセチンの有用性が確認された。
      副作用発現頻度は、71.6%(68/95例)であった。主な副作用は、嘔気28.4%(27/95例)、傾眠22.1%(21/95例)及び便秘11.6%(11/95例)であった34)

  • 〈社会不安障害〉
    1. 17.1.4 国内臨床試験

      プラセボを対照とした二重盲検比較試験において、社会不安障害に対してパロキセチンを1日1回20mg又は40mgを投与した際、プラセボに対するLSAS合計点減少度の差はそれぞれ-7.2又は-6.2であり、プラセボに対して有意に減少した35),36)

      表 投与12週時のLSAS合計点減少度

      プラセボ群

      20mg群

      40mg群

      症例数

      130

      132

      133

      LSAS合計点

      投与開始時
      (±SD)

      80.2±15.25

      80.8±14.24

      81.6±14.53

      投与12週時
      (±SD)

      60.1±22.0

      53.2±23.1

      54.8±21.3

      投与開始時
      からの減少度

      調整済み
      平均値

      -20.4

      -27.6

      -26.5

      減少度の差
      (対プラセボ群)

      平均値
      (95%CI)

      -7.2
      (-12.7,-1.7)

      -6.2
      (-11.6,-0.7)

      p値注)

      0.007

      0.025

      注)Dunnettの多重比較検定、調整済み、有意水準:両側5%

      副作用発現頻度は、20mg群で75.0%(99/132例)及び40mg群で82.8%(111/134例)であった。主な副作用は、20mg群では傾眠41.7%(55/132例)、浮動性めまい18.2%(24/132例)、悪心18.9%(25/132例)及び頭痛11.4%(15/132例)、40mg群では傾眠38.8%(52/134例)、浮動性めまい30.6%(41/134例)、悪心21.6%(29/134例)、頭痛15.7%(21/134例)、便秘15.7%(21/134例)及び倦怠感10.4%(14/134例)であった。

    2. 17.1.5 国内臨床試験

      非盲検試験において、パロキセチンを1日1回20~40mg、52週間投与した際のLSAS合計点は経時的に減少し、52週時の減少度の平均値は-46.8±28.43であった37)

      表 長期投与時における投与開始時からのLSAS合計点減少度(56例)

      LSAS合計点(±SD)

      投与開始時

       95.6±16.47

      投与開始時からの
      減少度(±SD)

      投与4週時

      -11.4±11.42

      投与8週時

      -21.9±16.07

      投与12週時

      -28.8±19.19

      投与24週時

      -36.2±21.94

      投与36週時

      -40.3±24.32

      投与52週時

      -46.8±28.43

      副作用発現頻度は、78.9%(45/57例)であった。主な副作用は、傾眠45.6%(26/57例)、悪心29.8%(17/57例)、浮動性めまい12.3%(7/57例)、胃不快感10.5%(6/57例)及び便秘10.5%(6/57例)であった。

18. 薬効薬理

18.1 作用機序

パロキセチン塩酸塩は選択的なセロトニン(5-HT)取り込み阻害作用を示し、神経間隙内の5-HT濃度を上昇させ、反復経口投与によって5-HT2C受容体のdown-regulationを誘発することにより、抗うつ作用及び抗不安作用を示すと考えられる38)

18.2 5-HT取り込み阻害作用

  1. 18.2.1 パロキセチン塩酸塩はin vitroにおいてラット視床下部シナプトソーム分画への5-HT取り込み阻害作用を示した39)Ex vivo試験においても経口投与により5-HT取り込み阻害作用を示し、反復投与しても5-HT取り込み阻害作用は示すものの、ノルアドレナリン取り込み阻害作用は示さず、その5-HT取り込み阻害作用は最終投与24時間後に消失した39)
  2. 18.2.2 パロキセチン塩酸塩はラットの背側縫線核及び前頭葉皮質における細胞外5-HT含量を増加させた40)。また、マウスにおける5-HTP誘発head twitch行動の増強作用41)及びラットにおけるPCA誘発自発運動量増加の抑制作用を示したことから42)、行動薬理学的にも5-HT取り込み阻害作用が示された。

18.3 5-HT2C受容体down-regulation誘発作用

ラットにおいてパロキセチン塩酸塩はmCPP誘発自発運動活性減少に対して単回投与では作用を示さなかったが、反復投与で拮抗作用を示したことから、反復投与により5-HT2C受容体のdown-regulationを誘発することが示された43)

18.4 抗うつ作用

  1. 18.4.1 マウス強制水泳試験において反復投与により用量依存的な無動時間の短縮作用を示した44)
  2. 18.4.2 マウス尾懸垂試験において用量依存的な無動時間の短縮作用を示した45)
  3. 18.4.3 縫線核破壊ラットのムリサイド行動に対して用量依存的な抑制作用を示した46)

18.5 抗不安作用

  1. 18.5.1 ラットsocial interaction試験において反復投与によりsocial interaction時間の増加作用を示した47)
  2. 18.5.2 ラットVogel型コンフリクト試験において反復投与により抗コンフリクト作用を示した48)
  3. 18.5.3 ラット高架式十字迷路試験において反復投与によりopen armにおける滞在時間及び進入回数を増加させた49)

18.6 抗強迫性障害作用

マウスガラス玉覆い隠し行動試験においてガラス玉覆い隠し行動を抑制した50)

18.7 抗外傷後ストレス障害作用

Single prolonged stress負荷ラット(外傷後ストレス障害モデル)において状況恐怖誘発すくみ行動を抑制した51)

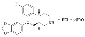
19. 有効成分に関する理化学的知見

一般的名称

パロキセチン塩酸塩水和物
(Paroxetine Hydrochloride Hydrate)

化学名

(3S,4R)-3-[(1,3-Benzodioxol-5-yloxy)methyl]-4-(4-fluorophenyl)piperidine monohydrochloride hemihydrate

分子式

C19H20FNO3・HCl・1/2H2O

分子量

374.83

性状

白色の結晶性の粉末である。メタノールに溶けやすく、エタノール(99.5)にやや溶けやすく、水に溶けにくい。

化学構造式

融点

約140℃(分解)

22. 包装

  • 〈パロキセチン錠5mg「NIG」〉

    100錠[10錠(PTP)×10、乾燥剤入り]

  • 〈パロキセチン錠10mg「NIG」〉

    100錠[10錠(PTP)×10]

  • 〈パロキセチン錠20mg「NIG」〉

    100錠[10錠(PTP)×10]

23. 主要文献

1) Chambers CD,et al.:N Engl J Med.2006;354:579-587

2) Kallen B,et al.:Pharmacoepidemiol Drug Saf.2008;17:801-806

3) Öhman R,et al.:J Clin Psychiatry.1999;60:519-523

4) 入江 廣ほか:薬理と治療.2000;28(Suppl 1):47-68

5) 村崎光邦ほか:薬理と治療.2000;28(Suppl 1):37-46

6) 社内資料:生物学的同等性試験

7) 20mg単回経口投与した時の食事の影響(パキシル錠;2000年9月22日承認、申請資料概要ヘ.3-7-1)

8) In vitro血漿タンパク結合率(パキシル錠;2000年9月22日承認、申請資料概要ヘ.2-2-5(1))

9) 血球分配率(パキシル錠;2000年9月22日承認、申請資料概要ヘ.2-2-6)

10) Crewe HK,et al.:Br J Clin Pharmacol.1992;34:262-265

11) Özdemir V,et al.:Clin Pharmacol Ther.1997;62:334-347

12) Sindrup SH,et al.:Clin Pharmacol Ther.1992;51:278-287

13) Albers LJ,et al.:Psychiatry Res.1996;59:189-196

14) Hemeryck A,et al.:Clin Pharmacol Ther.2000;67:283-291

15) Kaye CM,et al.:Acta Psychiatr Scand Suppl.1989;350:60-75

16) 健康成人(西欧人)に14C標識パロキセチン塩酸塩を単回経口投与した時の吸収・代謝・排泄(パキシル錠;2000年9月22日承認、申請資料概要ヘ.3-5)

17) 腎機能低下者(西欧人)に反復経口投与した時の体内動態(パキシル錠;2000年9月22日承認、申請資料概要ヘ.3-9-1)

18) Dalhoff K,et al.:Eur J Clin Pharmacol.1991;41:351-354

19) 永田良一ほか:薬理と治療.2000;28(Suppl 1):89-110

20) 他剤との併用試験(パキシル錠;2000年9月22日承認、申請資料概要ヘ.4-1)

21) 審査報告書(パキシル錠;2000年9月22日)

22) 血漿タンパク結合率(パキシル錠;2000年9月22日承認、申請資料概要ヘ.4-3)

23) 三浦貞則ほか:薬理と治療.2000;28(Suppl 1):137-160

24) 筒井末春ほか:薬理と治療.2000;28(Suppl 1):161-185

25) 三浦貞則ほか:薬理と治療.2000;28(Suppl 1):187-210

26) 三浦貞則ほか:薬理と治療.2000;28(Suppl 1):119-135

27) 斎藤正己ほか:薬理と治療.2000;28(Suppl 1):211-223

28) 片岡憲章ほか:薬理と治療.2000;28(Suppl 1):225-236

29) 小林一広ほか:薬理と治療.2000;28(Suppl 1):237-252

30) 筒井末春ほか:薬理と治療.2000;28(Suppl 1):271-294

31) 筒井末春ほか:薬理と治療.2000;28(Suppl 1):295-314

32) 筒井末春ほか:薬理と治療.2000;28(Suppl 1):253-269

33) 上島国利ほか:薬理と治療.2004;32:577-591

34) 第Ⅱ相検証的試験(パキシル錠;2006年1月23日承認、申請資料概要2.7.6.1)

35) 比較対照臨床試験(パキシル錠;2009年10月16日承認、申請資料概要2.7.6.1)

36) 審査報告書(パキシル錠;2009年10月16日)

37) 非対照臨床試験(パキシル錠;2009年10月16日承認、申請資料概要2.7.6.2)

38) 作用機序(パキシル錠;2000年9月22日承認、申請資料概要ホ.1)

39) Thomas DR,et al.:Psychopharmacology.1987;93:193-200

40) Gartside SE,et al.:Br J Pharmacol.1995;115:1064-1070

41) 5-HTP誘発head twitch行動の増強作用(パキシル錠;2000年9月22日承認、申請資料概要 ホ.1-2-3)

42) Lassen JB:Psychopharmacology.1978;57:151-153

43) Kennett GA,et al.:Neuropharmacology.1994;33:1581-1588

44) マウス強制水泳試験(パキシル錠;2000年9月22日承認、申請資料概要ホ.1-1-1(1))

45) Perrault GH,et al.:Pharmacol Biochem Behav.1992;42:45-47

46) 島田 瞭ほか:実中研・前臨床研究報.1996;20:163-167

47) Lightowler S,et al.:Pharmacol Biochem Behav.1994;49:281-285

48) ラットVogel型コンフリクト試験(パキシル錠;2000年9月22日承認、申請資料概要ホ.1-1-2(2))

49) Cadogan AK,et al.:Br J Pharmacol.1992;107(Proc Suppl Oct):108P

50) マウスガラス玉覆い隠し行動試験(パキシル錠;2006年1月23日承認、申請資料概要 2.6.2.2)

51) 審査報告書(パキシル錠;2013年10月30日)

24. 文献請求先及び問い合わせ先

日医工株式会社 お客様サポートセンター

〒930-8583 富山市総曲輪1丁目6番21

TEL(0120)517-215
FAX(076)442-8948

26. 製造販売業者等

26.1 製造販売元

日医工岐阜工場株式会社

富山市総曲輪1丁目6番21

26.2 *販売元

日医工株式会社

富山市総曲輪1丁目6番21

〒100-0013 東京都千代田区霞が関3-3-2 新霞が関ビル

画面を閉じる

Copyright © Pharmaceuticals and Medical Devices Agency, All Rights reserved.