医療用医薬品 詳細表示

リシノプリル錠5mg「NIG」/リシノプリル錠10mg「NIG」/リシノプリル錠20mg「NIG」

処方せん医薬品

添付文書番号
企業コード
作成又は改訂年月
日本標準商品分類番号
薬効分類名
承認等
一般的名称
2.禁忌(次の患者には投与しないこと)
3.組成・性状
3.1組成
3.2製剤の性状
4.効能又は効果
5.効能又は効果に関連する注意
6.用法及び用量
7.用法及び用量に関連する注意
8.重要な基本的注意
9.特定の背景を有する患者に関する注意
9.1合併症・既往歴等のある患者
9.2腎機能障害患者
9.4生殖能を有する者
9.5妊婦
9.6授乳婦
9.7小児等
9.8高齢者
10.相互作用
10.1併用禁忌(併用しないこと)
10.2併用注意(併用に注意すること)
11.副作用
11.1重大な副作用
11.2その他の副作用
13.過量投与
14.適用上の注意
15.その他の注意
15.1臨床使用に基づく情報
16.薬物動態
16.1血中濃度
16.2吸収
16.3分布
16.4代謝
16.5排泄
16.8その他
17.臨床成績
17.1有効性及び安全性に関する試験
18.薬効薬理
18.1作用機序
18.2抗高血圧作用
18.3抗心不全作用
19.有効成分に関する理化学的知見
22.包装
23.主要文献
24.文献請求先及び問い合わせ先
26.製造販売業者等

リシノプリル錠5mg「NIG」/リシノプリル錠10mg「NIG」/リシノプリル錠20mg「NIG」

添付文書番号

2144006F1146_1_05

企業コード

581120

作成又は改訂年月

**2026年2月改訂(第3版)
2025年9月改訂(第2版)

日本標準商品分類番号

872144
872179

薬効分類名

持続型ACE阻害剤

承認等

リシノプリル錠5mg「NIG」

販売名コード

YJコード

2144006F1146

販売名英語表記

Lisinopril Tablets

販売名ひらがな

りしのぷりるじょう5mg「NIG」

承認番号等

承認番号

22200AMX00456

販売開始年月

2011年11月

貯法・有効期間

貯法

室温保存

有効期間

3年

基準名

日本薬局方

リシノプリル錠

リシノプリル錠10mg「NIG」

販売名コード

YJコード

2144006F2185

販売名英語表記

Lisinopril Tablets

販売名ひらがな

りしのぷりるじょう10mg「NIG」

承認番号等

承認番号

22100AMX00853

販売開始年月

2000年7月

貯法・有効期間

貯法

室温保存

有効期間

3年

基準名

日本薬局方

リシノプリル錠

リシノプリル錠20mg「NIG」

販売名コード

YJコード

2144006F3149

販売名英語表記

Lisinopril Tablets

販売名ひらがな

りしのぷりるじょう20mg「NIG」

承認番号等

承認番号

22200AMX00455

販売開始年月

2011年11月

貯法・有効期間

貯法

室温保存

有効期間

3年

基準名

日本薬局方

リシノプリル錠

一般的名称

リシノプリル水和物錠

2. 禁忌(次の患者には投与しないこと)

  1. 2.1 本剤の成分に対し過敏症の既往歴のある患者
  2. 2.2 サクビトリルバルサルタンナトリウム水和物を投与中の患者又は投与中止から36時間以内の患者
  3. 2.3 *血管性浮腫の既往歴のある患者(アンジオテンシン変換酵素阻害剤等の薬剤による血管性浮腫、遺伝性血管性浮腫、後天性血管性浮腫、特発性血管性浮腫等)[高度の呼吸困難を伴う血管性浮腫を発現することがある。]
  4. 2.4 デキストラン硫酸固定化セルロース、トリプトファン固定化ポリビニルアルコール又はポリエチレンテレフタレートを用いた吸着器によるアフェレーシスを施行中の患者
  5. 2.5 アクリロニトリルメタリルスルホン酸ナトリウム膜(AN69)を用いた血液透析施行中の患者,
  6. 2.6 妊婦又は妊娠している可能性のある女性
  7. 2.7 アリスキレンフマル酸塩を投与中の糖尿病患者(ただし、他の降圧治療を行ってもなお血圧のコントロールが著しく不良の患者を除く)

3. 組成・性状

3.1 組成

リシノプリル錠5mg「NIG」

有効成分1錠中:リシノプリル水和物   5.45mg
(無水物として   5mg )
添加剤アルファー化デンプン、クロスカルメロースナトリウム、ステアリン酸マグネシウム、炭酸マグネシウム、トウモロコシデンプン、無水リン酸水素カルシウム

リシノプリル錠10mg「NIG」

有効成分1錠中:リシノプリル水和物   10.9mg
(無水物として   10mg )
添加剤アルファー化デンプン、クロスカルメロースナトリウム、ステアリン酸マグネシウム、炭酸マグネシウム、トウモロコシデンプン、無水リン酸水素カルシウム

リシノプリル錠20mg「NIG」

有効成分1錠中:リシノプリル水和物   21.8mg
(無水物として   20mg )
添加剤アルファー化デンプン、クロスカルメロースナトリウム、ステアリン酸マグネシウム、炭酸マグネシウム、トウモロコシデンプン、無水リン酸水素カルシウム

3.2 製剤の性状

リシノプリル錠5mg「NIG」

外形表面
裏面
側面
大きさ直径6.5mm
厚さ2.1mm
質量112.5mg
識別コードt LI 5 5mg
色・剤形白色の片面1/2割線入り素錠

リシノプリル錠10mg「NIG」

外形表面
裏面
側面
大きさ直径8.0mm
厚さ2.7mm
質量225mg
識別コードt LI 10mg
色・剤形白色の片面1/2割線入り素錠

リシノプリル錠20mg「NIG」

外形表面
裏面
側面
大きさ直径9.0mm
厚さ4.9mm
質量450mg
識別コードt LI 20 20mg
色・剤形白色の片面1/2割線入り素錠

4. 効能又は効果

○高血圧症

○下記の状態で、ジギタリス製剤、利尿剤等の基礎治療剤を投与しても十分な効果が認められない場合

  • 慢性心不全(軽症~中等症)

5. 効能又は効果に関連する注意

  • 〈慢性心不全(軽症~中等症)〉
  1. 5.1 ジギタリス製剤、利尿剤等の基礎治療剤で十分な効果が認められない症例にのみ、本剤を追加投与すること。なお、本剤の単独投与での有用性は確立されていない。
  2. 5.2 重症の慢性心不全に対する本剤の有用性は確立されていない。使用経験が少ない。

6. 用法及び用量

  • 〈高血圧症〉

通常、成人にはリシノプリル(無水物)として10~20mgを1日1回経口投与する。
なお、年齢、症状により適宜増減する。
ただし、重症高血圧症又は腎障害を伴う高血圧症の患者では5mgから投与を開始することが望ましい。
通常、6歳以上の小児には、リシノプリル(無水物)として、0.07mg/kgを1日1回経口投与する。なお、年齢、症状により適宜増減する。

  • 〈慢性心不全(軽症~中等症)〉

本剤はジギタリス製剤、利尿剤等の基礎治療剤と併用すること。
通常、成人にはリシノプリル(無水物)として5~10mgを1日1回経口投与する。
なお、年齢、症状により適宜増減する。
ただし、腎障害を伴う患者では初回用量として2.5mgから投与を開始することが望ましい。

7. 用法及び用量に関連する注意

  • 〈高血圧症〉
  1. 7.1 6歳以上の小児に投与する場合には1日20mgを超えないこと。
  • 〈慢性心不全(軽症~中等症)〉
  1. 7.2 高齢者では2.5mgから投与を開始することが望ましい。,

8. 重要な基本的注意

  • 〈効能共通〉
  1. 8.1 降圧作用に基づくめまい、ふらつきがあらわれることがあるので、高所作業・自動車の運転等危険を伴う機械を操作する際には注意させること。
  2. 8.2 手術前24時間は投与しないことが望ましい。

9. 特定の背景を有する患者に関する注意

9.1 合併症・既往歴等のある患者

  • 〈効能共通〉
  1. 9.1.1 両側性腎動脈狭窄のある患者又は片腎で腎動脈狭窄のある患者

    治療上やむを得ないと判断される場合を除き使用は避けること。腎血流量の減少や糸球体ろ過圧の低下により急速に腎機能を悪化させるおそれがある。

  2. 9.1.2 高カリウム血症の患者

    治療上やむを得ないと判断される場合を除き使用は避けること。また、腎機能障害、コントロール不良の糖尿病等により血清カリウム値が高くなりやすい患者では血清カリウム値に注意すること。高カリウム血症が発現するおそれがある。

    高カリウム血症の患者においては、高カリウム血症を増悪させるおそれがある。

  3. 9.1.3 脳血管障害のある患者

    過度の血圧低下により病態を悪化させるおそれがある。

  • 〈高血圧症〉
  1. 9.1.4 重症の高血圧症患者

    投与は少量より開始し、増量する場合は患者の状態を十分に観察しながら徐々に行うこと。初回投与後一過性の急激な血圧低下を起こす場合がある。

  2. 9.1.5 厳重な減塩療法中の患者

    投与は少量より開始し、増量する場合は患者の状態を十分に観察しながら徐々に行うこと。初回投与後一過性の急激な血圧低下を起こす場合がある。

  3. 9.1.6 過度の血圧低下により心筋梗塞、又は脳血管障害の危険性のある患者

    投与は少量より開始し、増量する場合は患者の状態を十分に観察しながら徐々に行うこと。初回投与後一過性の急激な血圧低下を起こす場合がある。

  • 〈慢性心不全(軽症~中等症)〉
  1. 9.1.7 厳重な減塩療法中の患者

    投与は少量より開始し、血圧が安定するまで観察を十分に行うこと。初回投与後一過性の急激な血圧低下を起こす場合がある。

  2. 9.1.8 低ナトリウム血症の患者

    投与は少量より開始し、血圧が安定するまで観察を十分に行うこと。初回投与後一過性の急激な血圧低下を起こす場合がある。

  3. 9.1.9 低血圧の患者

    投与は少量より開始し、血圧が安定するまで観察を十分に行うこと。初回投与後一過性の急激な血圧低下を起こす場合がある。

  4. 9.1.10 過度の血圧低下により心筋梗塞、又は脳血管障害の危険性のある患者

    投与は少量より開始し、血圧が安定するまで観察を十分に行うこと。初回投与後一過性の急激な血圧低下を起こす場合がある。

  5. 9.1.11 大動脈弁狭窄症又は閉塞性肥大型心筋症のある患者

    過度の血圧低下を来し、症状を悪化させるおそれがある。

9.2 腎機能障害患者

  • 〈効能共通〉
  1. 9.2.1 重篤な腎機能障害のある患者(クレアチニンクリアランスが30mL/min以下、又は血清クレアチニンが3mg/dL以上)

投与量を半量にするか、若しくは投与間隔を延ばすなど慎重に投与すること。排泄の遅延による過度の血圧低下及び腎機能を悪化させるおそれがある。

  • 〈高血圧症〉
  1. 9.2.2 血液透析中の患者

投与は少量より開始し、増量する場合は患者の状態を十分に観察しながら徐々に行うこと。初回投与後一過性の急激な血圧低下を起こす場合がある。

  • 〈慢性心不全(軽症~中等症)〉
  1. 9.2.3 腎障害のある患者

投与は少量より開始し、血圧が安定するまで観察を十分に行うこと。初回投与後一過性の急激な血圧低下を起こす場合がある。

9.4 生殖能を有する者

  1. 9.4.1 妊娠する可能性のある女性

    妊娠していることが把握されずアンジオテンシン変換酵素阻害剤又はアンジオテンシンII受容体拮抗剤を使用し、胎児・新生児への影響(腎不全、頭蓋・肺・腎の形成不全、死亡等)が認められた例が報告されている1),2)

    本剤の投与に先立ち、代替薬の有無等も考慮して本剤投与の必要性を慎重に検討し、治療上の有益性が危険性を上回ると判断される場合にのみ投与すること。また、投与が必要な場合には次の注意事項に留意すること。

    1. (1) 本剤投与開始前に妊娠していないことを確認すること。本剤投与中も、妊娠していないことを定期的に確認すること。投与中に妊娠が判明した場合には、直ちに投与を中止すること。
    2. (2) 次の事項について、本剤投与開始時に患者に説明すること。また、投与中も必要に応じ説明すること。
      • 妊娠中に本剤を使用した場合、胎児・新生児に影響を及ぼすリスクがあること。
      • 妊娠が判明した又は疑われる場合は、速やかに担当医に相談すること。
      • 妊娠を計画する場合は、担当医に相談すること。

9.5 妊婦

妊婦又は妊娠している可能性のある女性には投与しないこと。また、投与中に妊娠が判明した場合には、直ちに投与を中止すること。妊娠中期及び末期にアンジオテンシン変換酵素阻害剤又はアンジオテンシンII受容体拮抗剤を投与された患者で羊水過少症、胎児・新生児の死亡、新生児の低血圧、腎不全、高カリウム血症、頭蓋の形成不全及び羊水過少症によると推測される四肢の拘縮、頭蓋顔面の変形、肺の低形成等があらわれたとの報告がある。また、海外で実施されたレトロスペクティブな疫学調査で、妊娠初期にアンジオテンシン変換酵素阻害剤を投与された患者群において、胎児奇形の相対リスクは降圧剤が投与されていない患者群に比べ高かったとの報告がある3),

9.6 授乳婦

治療上の有益性及び母乳栄養の有益性を考慮し、授乳の継続又は中止を検討すること。動物実験(ラット)で乳汁中へ移行することが報告されている。

9.7 小児等

  1. 9.7.1 低出生体重児、新生児、乳児又は6歳未満の幼児を対象とした臨床試験は実施していない。
  2. 9.7.2 糸球体ろ過量が30mL/min/1.73m2未満の小児等を対象とした臨床試験は実施していない。

9.8 高齢者

  1. 9.8.1 患者の状態を観察しながら低用量から投与を開始するなど慎重に投与すること。一般に高齢者では過度の降圧は好ましくないとされている。脳梗塞等が起こるおそれがある。
  2. 9.8.2 BUN、クレアチニンの上昇等、腎機能の低下に注意すること。

10. 相互作用

    10.1 併用禁忌(併用しないこと)

    薬剤名等臨床症状・措置方法機序・危険因子

    サクビトリルバルサルタンナトリウム水和物

    • エンレスト

    *血管性浮腫があらわれるおそれがある。左記薬剤が投与されている場合は、少なくとも本剤投与開始36時間前に中止すること。また、本剤投与終了後に左記薬剤を投与する場合は、本剤の最終投与から36時間後までは投与しないこと。

    *併用により相加的にブラジキニンの分解を抑制し、血管性浮腫のリスクを増加させる可能性がある。

    デキストラン硫酸固定化セルロース、トリプトファン固定化ポリビニルアルコール又はポリエチレンテレフタレートを用いた吸着器によるアフェレーシスの施行

    • リポソーバー
    • イムソーバTR
    • セルソーバ

    血圧低下、潮紅、嘔気・嘔吐、腹痛、しびれ、熱感、呼吸困難、頻脈等のショック症状を起こすことがある。

    陰性に荷電した吸着材により血中キニン系の代謝が亢進し、ブラジキニン産生が増大する。更にACE阻害薬はブラジキニンの代謝を阻害するため、ブラジキニンの蓄積が起こるとの考えが報告されている。

    アクリロニトリルメタリルスルホン酸ナトリウム膜を用いた透析

    • AN69

    ,

    *血管性浮腫(顔面浮腫、喉頭浮腫)、嘔吐、腹部痙攣、気管支痙攣、血圧低下、チアノーゼ等のアナフィラキシーを発現することがある。

    多価イオン体であるAN69により血中キニン系の代謝が亢進し、ブラジキニン産生が増大する。更にACE阻害薬はブラジキニンの代謝を阻害するため、ブラジキニンの蓄積が起こるとの考えが報告されている。

    アリスキレンフマル酸塩

    • ラジレス

    非致死性脳卒中、腎機能障害、高カリウム血症及び低血圧を発現するリスクが増加することがある。

    併用によりレニン・アンジオテンシン系阻害作用が増強される可能性がある。

    危険因子:アリスキレンフマル酸塩を投与中の糖尿病患者(ただし、他の降圧治療を行ってもなお血圧のコントロールが著しく不良の患者を除く)

    10.2 併用注意(併用に注意すること)

    薬剤名等臨床症状・措置方法機序・危険因子

    カリウム保持性利尿剤

    • スピロノラクトン、
      トリアムテレン等

    カリウム補給剤

    • 塩化カリウム

    血清カリウム値が上昇することがあるので、血清カリウム値の検査をするなど注意すること。

    ACE阻害薬はアルドステロンの分泌を抑制することにより、腎からのカリウム排泄を減少させる。このことからACE阻害薬との併用によりカリウムの蓄積が起こる可能性があるとの報告がある。

    危険因子:腎機能障害のある患者、糖尿病の患者、最近利尿降圧剤の投与を開始した患者

    利尿降圧剤、利尿剤

    • トリクロルメチアジド、ヒドロクロロチアジド等

    利尿剤で治療を受けている患者に本剤を初めて投与する場合、降圧作用が増強されるおそれがあるので少量から投与を開始するなど慎重に投与すること。

    利尿剤の治療を受けている患者ではNa利尿により血漿レニン活性の亢進がみられ、ACE阻害薬の投与により急激な降圧を来すことがある。

    危険因子:最近利尿降圧剤の投与を開始した患者

    リチウム製剤

    • 炭酸リチウム

    リチウム中毒(錯乱、振戦、消化器愁訴等)があらわれることがあるので併用する場合は血中のリチウム濃度に注意すること。

    リチウムの近位尿細管での再吸収はナトリウムと競合するため、ACE阻害薬のナトリウム排泄増加作用によるナトリウム欠乏によりリチウムの再吸収が促進されリチウム貯留を来すことがある。

    非ステロイド性消炎鎮痛剤

    本剤の降圧作用が減弱するおそれがある。

    プロスタグランジンの合成阻害作用により、本剤の降圧作用を減弱させる可能性がある。

    非ステロイド性消炎鎮痛剤

    腎機能を悪化させるおそれがある。

    プロスタグランジンの合成阻害作用により、腎血流量が低下するためと考えられる。

    カリジノゲナーゼ製剤

    本剤との併用により過度の血圧低下が引き起こされる可能性がある。

    ACE阻害薬のキニン分解抑制作用とカリジノゲナーゼ製剤のキニン産生作用により、キニンが増加し血管平滑筋の弛緩が増強される可能性がある。

    アリスキレンフマル酸塩

    腎機能障害、高カリウム血症及び低血圧を起こすおそれがあるので腎機能、血清カリウム値及び血圧を十分に観察すること。

    なお、eGFRが60mL/min/1.73m2未満の腎機能障害のある患者へのアリスキレンフマル酸塩との併用については、治療上やむを得ないと判断される場合を除き避けること。

    併用によりレニン・アンジオテンシン系阻害作用が増強される可能性がある。

    アンジオテンシンII受容体拮抗剤

    腎機能障害、高カリウム血症及び低血圧を起こすおそれがあるので腎機能、血清カリウム値及び血圧を十分に観察すること。

    併用によりレニン・アンジオテンシン系阻害作用が増強される可能性がある。

    11. 副作用

    次の副作用があらわれることがあるので、観察を十分に行い、異常が認められた場合には投与を中止するなど適切な処置を行うこと。

    11.1 重大な副作用

    1. 11.1.1 *呼吸困難を伴う顔面、舌、声門、喉頭の腫脹を症状とする血管性浮腫(頻度不明):異常が認められた場合には直ちに投与を中止し、アドレナリン注射、気道確保など適切な処置を行うこと。
    2. 11.1.2 *腹痛、嘔気、嘔吐、下痢等を伴う腸管血管性浮腫(頻度不明)
    3. 11.1.3 急性腎障害(頻度不明)
    4. 11.1.4 高カリウム血症(頻度不明)
    5. 11.1.5 膵炎(頻度不明)
    6. 11.1.6 中毒性表皮壊死融解症(Toxic Epidermal Necrolysis:TEN)(頻度不明)、皮膚粘膜眼症候群(Stevens-Johnson症候群)(頻度不明)、天疱瘡様症状(頻度不明)
    7. 11.1.7 溶血性貧血(頻度不明)、血小板減少(頻度不明)
    8. 11.1.8 肝機能障害(頻度不明)、黄疸(頻度不明):AST、ALT、Al-P、γ-GTP等の著しい上昇を伴う肝機能障害、黄疸があらわれることがある。ごくまれに肝不全に至った症例が報告されている。
    9. 11.1.9 抗利尿ホルモン不適合分泌症候群(SIADH)(頻度不明):低ナトリウム血症、低浸透圧血症、尿中ナトリウム排泄量の増加、高張尿、痙攣、意識障害等を伴う抗利尿ホルモン不適合分泌症候群(SIADH)があらわれることがあるので、このような場合には投与を中止し、水分摂取の制限等適切な処置を行うこと。

    11.2 その他の副作用

    5%以上

    0.1~5%未満

    0.1%未満

    頻度不明

    肝臓

    AST上昇、ALT上昇、LDH上昇、Al-P上昇等

    腎臓

    BUN上昇、クレアチニンの上昇、尿量減少

    血液

    貧血(赤血球減少、ヘモグロビン減少、ヘマトクリット減少)、血小板減少

    白血球減少、好酸球増加

    皮膚

    発疹、そう痒

    光線過敏症等

    呼吸器

    咳嗽

    咽頭部刺激感・不快感

    気管支喘息の誘発、鼻炎、副鼻腔炎、嗄声

    精神神経系

    頭痛・頭重、めまい・ふらつき

    傾眠

    しびれ、錯乱、睡眠障害(不眠等)、感覚異常(刺痛、灼熱感等)、抑うつ等の気分変調等

    循環器

    動悸、過度の血圧低下

    起立性低血圧、胸部不快感、頻脈等

    失神

    消化器

    嘔気、嘔吐、下痢、胃不快感

    腹痛、食欲不振等

    胃痛

    その他

    血清カリウム値上昇(特に重篤な腎機能障害を有する患者)、尿酸上昇、CK上昇、倦怠感

    ほてり、口渇等

    脱毛、勃起障害、発汗、低血糖、血清ナトリウム値低下、脱力感、味覚異常

    13. 過量投与

    1. 13.1 症状

      主な症状は過度の血圧低下であると考えられる。

    2. 13.2 処置

      通常、生理食塩液の静脈内投与等適切な処置を行い血圧を維持すること。また、本剤は血液透析により除去される。ただし、アクリロニトリルメタリルスルホン酸ナトリウム膜(AN69)を用いた血液透析を行わないこと。,

    14. 適用上の注意

    14.1 薬剤交付時の注意

    PTP包装の薬剤はPTPシートから取り出して服用するよう指導すること。PTPシートの誤飲により、硬い鋭角部が食道粘膜へ刺入し、更には穿孔をおこして縦隔洞炎等の重篤な合併症を併発することがある。

    15. その他の注意

    15.1 臨床使用に基づく情報

    1. 15.1.1 インスリン又は経口血糖降下剤の投与中にアンジオテンシン変換酵素阻害剤を投与することにより、低血糖が起こりやすいとの報告がある4)
    2. 15.1.2 他のアンジオテンシン変換酵素阻害剤服用中の患者が膜翅目毒(ハチ毒)による脱感作中にアナフィラキシーを発現したとの報告がある5)

    16. 薬物動態

    16.1 血中濃度

    1. 16.1.1 単回投与

      健康成人男性にリシノプリル10mgを単回経口投与したときの薬物動態パラメータを以下に示す6)

      健康成人、10mg単回投与時

      Cmax
      (ng/mL)

      Tmax
      (hr)

      AUC0-∞
      (ng·hr/mL)

      T1/2(α)
      (hr)

      T1/2(β)
      (hr)

      単回投与

      40.0±16.8

      6.7±0.8

      636±209

      4.5±1.7

      33.7±10.3

      (測定法:RIA法、mean±S.D.、n=6)

    1. 16.1.2 反復投与
      1. (1) 健康成人

        健康成人男性にリシノプリル10mgを1日1回7日間反復経口投与したときの薬物動態パラメータを以下に示す6)

        健康成人、10mg反復投与時

        Cmax
        (ng/mL)

        Tmax
        (hr)

        AUC0-24
        (ng·hr/mL)

        T1/2(α)
        (hr)

        T1/2(β)
        (hr)

        反復投与

        49.8±16.3

        6.8±1.0

        643±192

        4.4±1.7

        39.2±15.8

        (測定法:RIA法、mean±S.D.、n=6)

      2. (2) 腎機能障害高血圧症患者

        腎機能正常(血清クレアチニン1.0±0.0mg/dL)及び腎機能が低下(血清クレアチニン1.7±0.2mg/dL)した高血圧症の患者にリシノプリル10mgを1日1回4~8日間反復経口投与したときの薬物動態パラメータを以下に示す。腎機能低下患者では腎機能正常患者に比べリシノプリルの排泄が遅延し、血中濃度が上昇することが示唆された7)

        n

        Cmax
        (ng/mL)

        Tmax
        (hr)

        AUC0-24
        (ng·hr/mL)

        T1/2
        (hr)

        腎機能
        正常患者

        8

        45.1±4.5

        5.5±0.3

        614.0±52.4

        7.6±0.4

        腎機能
        低下患者

        9

        91.8±11.9

        7.1±0.4

        1503.2±228.6

        10.0±1.1

        (測定法:RIA法、※:p<0.01、mean±S.E.)

      3. (3) 小児高血圧症患者

        高血圧の病歴がある6~16歳未満の小児患者29例にリシノプリル0.1~0.2mg/kgを1日1回6日間以上反復経口投与したときの薬物動態パラメータを以下に示す8)(外国人データ)。

        年齢

        n

        平均投与量

        [体重で調整]

        (mg/kg)

        Cmax

        (ng/mL)

        AUC0-24

        (ng·hr/mL)

        6~12歳未満

        12

        0.15

        44.7
        (34.0~58.7)

        570.3
        (420.0~774.4)

        12~16歳未満

        17

        0.12

        43.5
        (34.6~54.7)

        549.8
        (425.2~711.0)

        (測定法:RIA法、幾何平均(95%信頼区間))

      4. (4) 高齢慢性心不全患者

        健康若年者、健康高齢者及び高齢慢性心不全患者にリシノプリル5mgを1日1回7日間反復経口投与したときの薬物動態パラメータ並びにクレアチニンクリアランスを以下に示す。高齢慢性心不全患者における血清中濃度時間曲線下面積(AUC)は健康若年者に比べ約2倍を示した。リシノプリル腎クリアランスはクレアチニンクリアランスと正の相関が認められた9)(外国人データ)。

        患者
        (平均年齢)

        n

        クレアチニン
        クリアランス
        (mL/min)
        投与前

        クレアチニン
        クリアランス
        (mL/min)
        投与後

        リシノプリル
        クリアランス
        (mL/min)

        AUC0-96
        (ng·hr/mL)

        健康若年者
        (28.7歳)

        6

        110.6±11.4

        110.5±9.8

        47.5±8.3

        526.2±77.8

        健康高齢者
        (76.3歳)

        6

        67.2±8.1

        58.0±7.2

        20.8±5.0

        870.4±139.2

        高齢慢性
        心不全患者
        (77.8歳)

        6

        31.2±12.0

        38.8±10.7

        12.2±3.7

        1195.9±145.8

        (測定法:RIA法、mean±S.E.)

    1. 16.1.3 生物学的同等性試験
      • 〈リシノプリル錠10mg「NIG」〉

        リシノプリル錠10mg「NIG」とロンゲス錠10mgを、クロスオーバー法によりそれぞれ2錠(リシノプリル(無水物として)20mg)健康成人男子に絶食単回経口投与して血清中未変化体濃度を測定し、得られた薬物動態パラメータ(AUC、Cmax)について90%信頼区間法にて統計解析を行った結果、log(0.80)~log(1.25)の範囲内であり、両剤の生物学的同等性が確認された10)

        薬物動態パラメータ

        投与量

        (mg)

        AUC0-54

        (ng・hr/mL)

        Cmax

        (ng/mL)

        Tmax

        (hr)

        T1/2

        (hr)

        リシノプリル錠10mg「NIG」

        20

        2221±696

        124.5±34.1

        6.7±0.9

        12.9±5.5

        ロンゲス錠10mg

        20

        2254±517

        123.5±22.2

        6.6±0.8

        13.5±5.3

        (平均±標準偏差、n=13)

        • 血清中濃度並びにAUC、Cmax等のパラメータは、被験者の選択、体液の採取回数・時間等の試験条件によって異なる可能性がある。

    16.2 吸収

    尿中回収率からみた吸収率は21%~27%であった6)

    16.3 分布

    血清蛋白結合率:10ng/mL以上の濃度で約10%であった6)

    16.4 代謝

    リシノプリルは活性体であり、ほとんど代謝を受けない11)(外国人データ)。

    16.5 排泄

    主要排泄経路は腎であり、尿中に主として未変化体として排泄される11)(外国人デ-タ)。健康成人男性にリシノプリル5、10、20mgを単回経口投与後72時間までの累積尿中排泄率は21%~27%であった6)。腎クリアランスは健康成人男性で100mL/minであった6)

    16.8 その他

    • 〈リシノプリル錠5mg・20mg「NIG」〉

      リシノプリル錠5mg・20mg「NIG」は、「含量が異なる経口固形製剤の生物学的同等性試験ガイドライン(平成18年11月24日 薬食審査発第1124004号)」に基づき、リシノプリル錠10mg「NIG」を標準製剤としたとき、溶出挙動が等しく、生物学的に同等とみなされた10)

    17. 臨床成績

    17.1 有効性及び安全性に関する試験

    • 〈高血圧症〉
    1. 17.1.1 国内第Ⅲ相試験

      本試験は、軽症・中等症本態性高血圧症患者を対象にリシノプリル5~20mgを1日1回12週間投与したときの有効性及び安全性をエナラプリル2.5~10mg1日1回投与と比較した二重盲検比較試験である。本試験の総症例数は344例であり、その内訳はリシノプリル群174例、エナラプリル群170例であった。

      中央委員会判定による有効率(「下降」以上の症例数/有効性評価対象例数)は、リシノプリル群68.2%(107/157例)、エナラプリル群66.0%(107/162例)であり、その差は2.1%(95%信頼区間:-8.2~+12.4%)であった12)

      リシノプリル群での副作用発現率は11.5%(18/157例)であった。主な副作用は、咳11例(7.0%)及び咽喉部刺激感3例(1.9%)であった。


      ※:平均血圧で20mmHg以上又は、13~19mmHgの下降及び149/89mmHg以下に下降

    2. 17.1.2 国内で実施されたその他の臨床試験

      国内で実施されたその他の臨床試験で1日量20mgまで投与された症例での有効率は次のとおりであった。

      疾患名・試験名

      有効率(%)

      一般臨床試験
      軽・中等症本態性高血圧症13),14)(単独投与)

      70.4
      (207/294)

      一般臨床試験
      軽・中等症本態性高血圧症13),14)(併用投与)

      74.7
      (68/91)

      一般臨床試験
      腎障害を伴う高血圧症(単独投与+併用投与)15)

      79.1
      (53/67)

      一般臨床試験
      重症高血圧症(利尿剤併用投与)16)

      87.7
      (57/65)

      (「下降」以上の症例数/有効性評価対象例数)

      ※:平均血圧で20mmHg以上又は、13~19mmHgの下降及び149/89mmHg以下に下降

    • 〈慢性心不全(軽症~中等症)〉
    1. 17.1.3 国内第Ⅲ相試験

      本試験は、軽症・中等症慢性心不全患者を対象にリシノプリル10mgを1日1回12週間投与したときの有効性及び安全性をプラセボと比較した二重盲検比較試験である。本試験の総症例数は204例であり、その内訳はリシノプリル群107例、プラセボ群97例であった。

      全般改善度における改善率(「改善」以上の症例数/有効性評価対象例数)は、リシノプリル群48.0%(47/98例)、プラセボ群20.9%(19/91例)であり、その差は27.1%(95%信頼区間:14.1~40.0%)であった17)

      リシノプリル群での副作用発現率は18.3%(19/104例)であった。主な副作用は、咳6例(5.8%)、めまい3例(2.9%)及び頭痛2例(1.9%)であった。

    2. 17.1.4 国内で実施されたその他の臨床試験

      国内で実施されたその他の臨床試験で1日量10mgまで投与された症例での改善率は次のとおりであった。

      試験名

      改善率(%)

      第Ⅱ相試験(至適用量検討試験)18),19)

      45.0(50/111)

      長期投与試験20),21)

      38.9(14/36)

      (改善例数/有効性評価対象例数)

    18. 薬効薬理

    18.1 作用機序

    • アンジオテンシン変換酵素阻害薬。生理活性を持たないアンジオテンシンⅠから強力な昇圧活性を有するアンジオテンシンⅡへの変換を阻害することにより、血圧降下作用を示す22)

    18.2 抗高血圧作用

    1. 18.2.1 本態性高血圧症患者において、1日1回2.5~20mg投与により血圧の日内プロフィール及び変動幅に影響を与えることなく24時間安定した降圧効果が認められた23)
    2. 18.2.2 高血圧自然発症ラット24)、腎性高血圧ラット24)及び腎性高血圧イヌ25),26)において著明かつ持続的な降圧作用を示した。
    3. 18.2.3 リシノプリル(0.3~1mg/kg,p.o.)は、2腎型腎性高血圧ラットの血圧を下降させ、その作用はカプトプリル及びエナラプリルマレイン酸塩よりも強力であった27)
    4. 18.2.4 リシノプリルを2腎型腎性高血圧ラットに3週間連続経口投与(1mg/kg,p.o.)したところ、投与期間中安定した降圧効果が得られ、耐性は生じなかった27)

    18.3 抗心不全作用

    1. 18.3.1 ジゴキシン製剤と利尿剤が投与されている慢性心不全患者に、リシノプリル2.5~10mgを単回投与したとき平均動脈圧、肺動脈楔入圧、全末梢血管抵抗の低下及び心係数の増加を示した28)
    2. 18.3.2 冠動脈結紮急性心不全ラット、麻酔犬に十二指腸内投与したとき、催不整脈作用及び抗不整脈作用を示さなかった29)
    3. 18.3.3 冠動脈結紮慢性心不全ラットで12カ月の連続経口投与により、延命効果とともに、左心肥大の抑制を示した30)

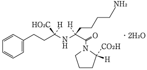
    19. 有効成分に関する理化学的知見

    一般的名称

    リシノプリル水和物(Lisinopril Hydrate)

    化学名

    (2S)-1-{(2S)-6-Amino-2-[(1S)-1-carboxy-3-phenylpropylamino]hexanoyl}pyrrolidine-2-carboxylic acid dihydrate

    分子式

    C21H31N3O5・2H2O

    分子量

    441.52

    性状

    白色の結晶性の粉末で、僅かに特異なにおいがある。水にやや溶けやすく、メタノールにやや溶けにくく、エタノール(99.5)にほとんど溶けない。

    化学構造式

    融点

    約160℃(分解)

    22. 包装

    • 〈リシノプリル錠5mg「NIG」〉

      100錠[10錠(PTP)×10]

    • 〈リシノプリル錠10mg「NIG」〉

      100錠[10錠(PTP)×10]

    • 〈リシノプリル錠20mg「NIG」〉

      100錠[10錠(PTP)×10]

    23. 主要文献

    1) 阿部真也, 他:周産期医学. 2017;47(10):1353-1355

    2) 齊藤大祐, 他:鹿児島産科婦人科学会雑誌. 2021;29:49-54

    3) Cooper, W. O. et al.:N. Engl. J. Med. 2006;354(23):2443-2451

    4) Herings, R. M. C. et al.:Lancet. 1995;345(8959):1195-1198

    5) Tunon-de-Lara, J. M. et al.:Lancet. 1992;340(8824):908

    6) 中島光好, 他:薬理と治療. 1990;18(2):525-547

    7) 塩之入洋, 他:医学と薬学. 1990;23(1):161-172

    8) Hogg, R. J. et al.:Pediatr. Nephrol. 2007;22:695-701

    9) Gautam, P. C. et al.:J. Pharm. Pharmacol. 1987;39:929-931

    10) 社内資料:生物学的同等性試験

    11) Case, D. E.:J. Human Hypertension. 1989;3:127-131

    12) 荒川規矩男, 他:最新医学. 1990;45(5):1031-1057

    13) 猿田享男, 他. 基礎と臨床. 1990;24(3):1365-1380

    14) 荒川規矩男, 他. 最新医学. 1990;45(4):834-858

    15) 尾前照雄, 他. 臨床と研究. 1990;67(4):1209-1220

    16) 石井當男, 他. 基礎と臨床. 1990;24(3):1393-1406

    17) 飯塚昌彦, 他:基礎と臨床. 1993;27(13):5227-5259

    18) 河合忠一, 他:基礎と臨床. 1993;27(12):4757-4776

    19) 河合忠一, 他:基礎と臨床. 1993;27(12):4777-4805

    20) 津田泰夫, 他. 臨床と研究. 1993;70(10):3309-3320

    21) 水谷 登, 他. 薬理と治療. 1993;21(10):3727-3737

    22) 第十八改正日本薬局方解説書. 廣川書店;2021:C-6021-C-6026

    23) 阿部圭志, 他:基礎と臨床. 1990;24(3):1381-1392

    24) 別所秀樹, 他:応用薬理. 1989;37(3):285-295

    25) 織田実, 他:日本薬理学雑誌. 1989;93(4):225-234

    26) 織田実, 他:日本薬理学雑誌. 1989;93(4):235-243

    27) 社内資料:薬効薬理試験

    28) Stone, C. K. et al.:Am. J. Cardiol. 1989;63:567-570

    29) 山田重行, 他:応用薬理. 1993;46(2):89-98

    30) Wollert, K. C. et al.:J. Am. Coll. Cardiol. 1994;30A, Abs. 845-106

    24. 文献請求先及び問い合わせ先

    日医工株式会社 お客様サポートセンター

    〒930-8583 富山市総曲輪1丁目6番21

    TEL(0120)517-215
    FAX(076)442-8948

    26. 製造販売業者等

    26.1 製造販売元

    日医工岐阜工場株式会社

    富山市総曲輪1丁目6番21

    26.2 **販売元

    日医工株式会社

    富山市総曲輪1丁目6番21

    〒100-0013 東京都千代田区霞が関3-3-2 新霞が関ビル

    画面を閉じる

    Copyright © Pharmaceuticals and Medical Devices Agency, All Rights reserved.