医療用医薬品 詳細表示

テルチア配合錠AP「NIG」/テルチア配合錠BP「NIG」

処方せん医薬品

添付文書番号
企業コード
作成又は改訂年月
日本標準商品分類番号
薬効分類名
承認等
一般的名称
2.禁忌(次の患者には投与しないこと)
3.組成・性状
3.1組成
3.2製剤の性状
4.効能又は効果
5.効能又は効果に関連する注意
6.用法及び用量
7.用法及び用量に関連する注意
8.重要な基本的注意
9.特定の背景を有する患者に関する注意
9.1合併症・既往歴等のある患者
9.2腎機能障害患者
9.3肝機能障害患者
9.4生殖能を有する者
9.5妊婦
9.6授乳婦
9.7小児等
9.8高齢者
10.相互作用
10.1併用禁忌(併用しないこと)
10.2併用注意(併用に注意すること)
11.副作用
11.1重大な副作用
11.2その他の副作用
12.臨床検査結果に及ぼす影響
13.過量投与
14.適用上の注意
15.その他の注意
16.薬物動態
16.1血中濃度
16.2吸収
16.3分布
16.4代謝
16.5排泄
16.6特定の背景を有する患者
16.8その他
17.臨床成績
17.1有効性及び安全性に関する試験
18.薬効薬理
18.1作用機序
18.2降圧作用
18.3利尿作用
19.有効成分に関する理化学的知見
20.取扱い上の注意
22.包装
23.主要文献
24.文献請求先及び問い合わせ先
26.製造販売業者等

テルチア配合錠AP「NIG」/テルチア配合錠BP「NIG」

添付文書番号

2149113F1086_1_07

企業コード

581120

作成又は改訂年月

**2026年2月改訂(第4版)
2025年9月改訂(第3版)

日本標準商品分類番号

872149

薬効分類名

胆汁排泄型持続性AT1受容体ブロッカー/利尿薬合剤

承認等

テルチア配合錠AP「NIG」

販売名コード

YJコード

2149113F1086

販売名英語表記

TELTHIA® Combination Tablets

販売名ひらがな

てるちあはいごうじょうAP「NIG」

承認番号等

承認番号

22900AMX00454

販売開始年月

2017年6月

貯法・有効期間

貯法

室温保存

有効期間

3年

基準名

日本薬局方

テルミサルタン・ヒドロクロロチアジド錠

テルチア配合錠BP「NIG」

販売名コード

YJコード

2149113F2082

販売名英語表記

TELTHIA® Combination Tablets

販売名ひらがな

てるちあはいごうじょうBP「NIG」

承認番号等

承認番号

22900AMX00455

販売開始年月

2017年6月

貯法・有効期間

貯法

室温保存

有効期間

3年

基準名

日本薬局方

テルミサルタン・ヒドロクロロチアジド錠

一般的名称

テルミサルタン・ヒドロクロロチアジド錠

2. 禁忌(次の患者には投与しないこと)

  1. 2.1 本剤の成分及びチアジド系薬剤又はその類似化合物(例えばクロルタリドン等のスルフォンアミド誘導体)に対し過敏症の既往歴のある患者
  2. 2.2 妊婦又は妊娠している可能性のある女性
  3. 2.3 胆汁の分泌が極めて悪い患者又は重篤な肝障害のある患者
  4. 2.4 無尿の患者又は血液透析中の患者[本剤の効果が期待できない。]
  5. 2.5 急性腎不全の患者
  6. 2.6 体液中のナトリウム・カリウムが明らかに減少している患者[低ナトリウム血症、低カリウム血症等の電解質失調を悪化させるおそれがある。]
  7. 2.7 アリスキレンフマル酸塩を投与中の糖尿病患者(ただし、他の降圧治療を行ってもなお血圧のコントロールが著しく不良の患者を除く)
  8. 2.8 デスモプレシン酢酸塩水和物(男性における夜間多尿による夜間頻尿)を投与中の患者

3. 組成・性状

3.1 組成

テルチア配合錠AP「NIG」

有効成分1錠中:テルミサルタン   40mg
ヒドロクロロチアジド   12.5mg
添加剤カルメロース、クロスポビドン、結晶セルロース、ステアリン酸マグネシウム、トウモロコシデンプン、ヒドロキシプロピルセルロース、部分アルファー化デンプン、D-マンニトール、メグルミン、黄色三二酸化鉄、その他1成分

テルチア配合錠BP「NIG」

有効成分1錠中:テルミサルタン   80mg
ヒドロクロロチアジド   12.5mg
添加剤カルメロース、クロスポビドン、結晶セルロース、ステアリン酸マグネシウム、トウモロコシデンプン、ヒドロキシプロピルセルロース、部分アルファー化デンプン、D-マンニトール、メグルミン、黄色三二酸化鉄、その他1成分

3.2 製剤の性状

テルチア配合錠AP「NIG」

外形表面
裏面
側面
大きさ直径8.5mm
厚さ3.5mm
質量243.5mg
識別コードTV TH1
色・剤形黄橙色の素錠

テルチア配合錠BP「NIG」

外形表面
裏面
側面
大きさ直径11.0mm
厚さ4.3mm
質量487mg
識別コードTV TH2
色・剤形黄橙色の素錠

4. 効能又は効果

高血圧症

5. 効能又は効果に関連する注意

  1. 5.1 過度な血圧低下のおそれ等があり、本剤を高血圧治療の第一選択薬としないこと。
  2. 5.2 原則として、テルミサルタン40mgで効果不十分な場合にテルミサルタン/ヒドロクロロチアジド40mg/12.5mgの投与を、テルミサルタン80mg、又はテルミサルタン/ヒドロクロロチアジド40mg/12.5mgで効果不十分な場合にテルミサルタン/ヒドロクロロチアジド80mg/12.5mgの投与を検討すること。

6. 用法及び用量

成人には1日1回1錠(テルミサルタン/ヒドロクロロチアジドとして40mg/12.5mg又は80mg/12.5mg)を経口投与する。本剤は高血圧治療の第一選択薬として用いない。

7. 用法及び用量に関連する注意

肝障害のある患者に投与する場合、テルミサルタン/ヒドロクロロチアジドとして40mg/12.5mgを超えて投与しないこと。

8. 重要な基本的注意

  1. 8.1 本剤は、テルミサルタン40mgあるいは80mgとヒドロクロロチアジド12.5mgとの配合剤であり、テルミサルタンとヒドロクロロチアジド双方の副作用が発現するおそれがあるため、適切に本剤の使用を検討すること。
  2. 8.2 血清クレアチニン値上昇及び血清尿酸値上昇のおそれがあるので、定期的に血清クレアチニン値及び血清尿酸値のモニタリングを実施し、観察を十分に行うこと。
  3. 8.3 本剤の成分であるヒドロクロロチアジドは低カリウム血症を起こすことが知られているため、血清カリウム値のモニタリングを定期的に実施し、観察を十分に行うこと。
  4. 8.4 本剤の成分であるヒドロクロロチアジドは高尿酸血症を発現させるおそれがあるので、本剤投与中は定期的に血清尿酸値のモニタリングを実施し、観察を十分に行うこと。血清尿酸値の上昇が観察された場合は、その程度に応じて投薬の中止など適切な処置を行うこと。
  5. 8.5 本剤の成分であるヒドロクロロチアジドは急性近視、閉塞隅角緑内障、脈絡膜滲出を発現させるおそれがあるので、急激な視力の低下や眼痛等の異常が認められた場合には、直ちに眼科医の診察を受けるよう、患者に指導すること。
  6. 8.6 降圧作用に基づく失神、めまい、ふらつきがあらわれることがあるので、高所作業、自動車の運転等危険を伴う機械を操作する際には注意させること。
  7. 8.7 手術前24時間は投与しないことが望ましい。アンジオテンシンⅡ受容体拮抗剤投与中の患者は、麻酔及び手術中にレニン-アンジオテンシン系の抑制作用による高度な血圧低下を起こす可能性がある。
  8. 8.8 本剤を含むアンジオテンシンⅡ受容体拮抗剤投与中に肝炎等の重篤な肝障害があらわれたとの報告があるので、肝機能検査を実施するなど、観察を十分に行うこと。
  9. 8.9 本剤の利尿効果は急激にあらわれることがあるので、電解質失調、脱水に十分注意すること。
  10. 8.10 連用する場合、電解質失調があらわれることがあるので定期的に検査を行うこと。
  11. 8.11 重篤な血液障害があらわれることがあるので、定期的に検査を実施するなど観察を十分に行うこと。
  12. 8.12 夜間の休息が特に必要な患者には、夜間の排尿を避けるため、午前中に投与することが望ましい。

9. 特定の背景を有する患者に関する注意

9.1 合併症・既往歴等のある患者

  1. 9.1.1 両側性腎動脈狭窄のある患者又は片腎で腎動脈狭窄のある患者

    治療上やむを得ないと判断される場合を除き、使用は避けること。腎血流量の減少や糸球体ろ過圧の低下により急速に腎機能を悪化させるおそれがある。

  2. 9.1.2 血清カリウム値異常の患者、高カリウム血症の患者

    治療上やむを得ないと判断される場合を除き、使用は避けること。本剤の成分であるテルミサルタンは、高カリウム血症の患者において、高カリウム血症を増悪させるおそれがある。また、腎機能障害、コントロール不良の糖尿病等により血清カリウム値が高くなりやすい患者では、血清カリウム値に注意すること。

  3. 9.1.3 脳血管障害のある患者

    過度の降圧が脳血流不全を引き起こし、病態を悪化させるおそれがある。

  4. 9.1.4 重篤な冠動脈硬化症又は脳動脈硬化症のある患者

    急激な利尿があらわれた場合、急速な血漿量減少、血液濃縮を来し、血栓塞栓症を誘発するおそれがある。

  5. 9.1.5 本人又は両親、兄弟に痛風、糖尿病のある患者

    高尿酸血症、高血糖症を来し、痛風、糖尿病の悪化や顕性化のおそれがある。

  6. 9.1.6 下痢、嘔吐のある患者

    電解質失調があらわれることがある。

  7. 9.1.7 高カルシウム血症、副甲状腺機能亢進症のある患者

    血清カルシウムを上昇させるおそれがある。

  8. 9.1.8 減塩療法中の患者

    低ナトリウム血症等を起こすおそれがある。また、厳重な減塩療法中の患者では、テルミサルタンの用量を少量より開始すること。急激な血圧の低下を起こすおそれがある。,

  9. 9.1.9 交感神経切除後の患者

    本剤の降圧作用が増強される。

9.2 腎機能障害患者

  1. 9.2.1 血液透析中の患者

    投与しないこと。本剤の効果が期待できない。

  2. 9.2.2 急性腎不全の患者

    投与しないこと。腎機能を更に悪化させるおそれがある。

  3. 9.2.3 血清クレアチニン値が2.0mg/dLを超える腎機能障害患者

    治療上やむを得ないと判断される場合を除き、使用は避けること。腎機能を悪化させるおそれがある。

  4. 9.2.4 腎障害のある患者

    血清クレアチニン値上昇及び血清尿酸値上昇のおそれがある。

9.3 肝機能障害患者

  1. 9.3.1 胆汁の分泌が極めて悪い患者又は重篤な肝障害のある患者

    投与しないこと。,

  2. 9.3.2 中等度、軽度の肝障害・肝疾患のある患者

    テルミサルタンは主に胆汁中に排泄されるため、テルミサルタンのクリアランスが低下することがある。また、外国において肝障害患者でテルミサルタンの血中濃度が約3~4.5倍上昇することが報告されている。
    ヒドロクロロチアジドは、肝性昏睡を誘発することがある。,,

9.4 生殖能を有する者

  1. 9.4.1 妊娠する可能性のある女性

    妊娠していることが把握されずアンジオテンシン変換酵素阻害剤又はアンジオテンシンⅡ受容体拮抗剤を使用し、胎児・新生児への影響(腎不全、頭蓋・肺・腎の形成不全、死亡等)が認められた例が報告されている1),2)

    本剤の投与に先立ち、代替薬の有無等も考慮して本剤投与の必要性を慎重に検討し、治療上の有益性が危険性を上回ると判断される場合にのみ投与すること。また、投与が必要な場合には次の注意事項に留意すること。

    1. (1) 本剤投与開始前に妊娠していないことを確認すること。本剤投与中も、妊娠していないことを定期的に確認すること。投与中に妊娠が判明した場合には、直ちに投与を中止すること。
    2. (2) 次の事項について、本剤投与開始時に患者に説明すること。また、投与中も必要に応じ説明すること。
      • 妊娠中に本剤を使用した場合、胎児・新生児に影響を及ぼすリスクがあること。
      • 妊娠が判明した又は疑われる場合は、速やかに担当医に相談すること。
      • 妊娠を計画する場合は、担当医に相談すること。

9.5 妊婦

妊婦又は妊娠している可能性のある女性には投与しないこと。投与中に妊娠が判明した場合には、直ちに投与を中止すること。
妊娠中期及び末期にテルミサルタンを含むアンジオテンシンⅡ受容体拮抗剤又はアンジオテンシン変換酵素阻害剤を投与された患者で羊水過少症、胎児・新生児の死亡、新生児の低血圧、腎不全、高カリウム血症、頭蓋の形成不全及び羊水過少症によると推測される四肢の拘縮、頭蓋顔面の奇形、肺の発育不全等があらわれたとの報告がある。チアジド系薬剤では新生児又は乳児に高ビリルビン血症、血小板減少症等を起こすことがある。また、利尿効果に基づく血漿量減少、血液濃縮、子宮・胎盤血流量減少があらわれることがある。,

9.6 授乳婦

授乳しないことが望ましい。
テルミサルタンでは、動物実験(ラット)で乳汁中へ移行することが報告されている。また、動物実験(ラット出生前、出生後の発生及び母動物の機能に関する試験)の15mg/kg/日以上の投与群で出生児の4日生存率の低下、50mg/kg/日投与群で出生児の低体重及び身体発達の遅延が報告されている。ヒドロクロロチアジドは、ヒト母乳中へ移行することが報告されている。

9.7 小児等

小児等を対象とした臨床試験は実施していない。

9.8 高齢者

  1. 9.8.1 一般に過度の降圧は好ましくないとされている。脳梗塞等が起こるおそれがある。
  2. 9.8.2 急激な利尿は血漿量の減少を来し、脱水、低血圧等による立ちくらみ、めまい、失神等を起こすことがある。
  3. 9.8.3 特に心疾患等で浮腫のある高齢者では急激な利尿は急速な血漿量の減少と血液濃縮を来し、脳梗塞等の血栓塞栓症を誘発するおそれがある。
  4. 9.8.4 低ナトリウム血症、低カリウム血症があらわれやすい。

10. 相互作用

  • テルミサルタンは、主としてUGT酵素(UDP-グルクロノシルトランスフェラーゼ)によるグルクロン酸抱合によって代謝される。

10.1 併用禁忌(併用しないこと)

薬剤名等臨床症状・措置方法機序・危険因子

アリスキレンフマル酸塩

  • ラジレス
    (糖尿病患者に使用する場合。ただし、他の降圧治療を行ってもなお血圧のコントロールが著しく不良の患者を除く。)

非致死性脳卒中、腎機能障害、高カリウム血症及び低血圧のリスク増加が報告されている。

テルミサルタン:レニン-アンジオテンシン系阻害作用が増強される可能性がある。

デスモプレシン酢酸塩水和物(ミニリンメルト)(男性における夜間多尿による夜間頻尿)

低ナトリウム血症が発現するおそれがある。

ヒドロクロロチアジド:いずれも低ナトリウム血症が発現するおそれがある。

10.2 併用注意(併用に注意すること)

薬剤名等臨床症状・措置方法機序・危険因子

ジギタリス剤

  • ジゴキシン
    ジギトキシン

テルミサルタンとの併用により、血中ジゴキシン濃度が上昇したとの報告がある3)

テルミサルタン:機序不明。

ジギタリス剤

  • ジゴキシン
  • ジギトキシン

ヒドロクロロチアジドとの併用により、ジギタリスの心臓に対する作用を増強し、不整脈等を起こすことがある。血清カリウム値に十分注意すること。

ヒドロクロロチアジド:ヒドロクロロチアジドによる血清カリウム値の低下により多量のジギタリスが心筋Na-K ATPaseに結合し、心収縮力増強と不整脈が起こる。マグネシウム低下も同様の作用を示す。

カリウム保持性利尿剤

  • スピロノラクトン
    トリアムテレン等

カリウム補給剤

血清カリウム濃度が上昇するおそれがある。

テルミサルタン:カリウム貯留作用が増強するおそれがある。
危険因子:特に腎機能障害のある患者。

リチウム製剤

  • 炭酸リチウム

アンジオテンシン変換酵素阻害剤との併用により、リチウム中毒を起こすことが報告されている。

テルミサルタン:明確な機序は不明であるが、ナトリウムイオン不足はリチウムイオンの貯留を促進するといわれているため、テルミサルタンがナトリウム排泄を促進することにより起こると考えられる。

リチウム製剤

  • 炭酸リチウム

ヒドロクロロチアジドにより、振戦、消化器愁訴等、リチウム中毒を増強することがある。

ヒドロクロロチアジド:腎におけるリチウムの再吸収を促進し、リチウムの血中濃度を上昇させる。

利尿降圧剤

  • フロセミド、トリクロルメチアジド等

急激な血圧低下を起こすおそれがあるので、低用量から投与を開始し、増量する場合は徐々に行うこと。

利尿降圧剤で治療を受けている患者にはレニン活性が亢進している患者が多く、本剤が奏効しやすい。

非ステロイド性抗炎症薬(NSAIDS

糸球体濾過量がより減少し、腎障害のある患者では急性腎障害を引き起こす可能性がある。

テルミサルタン:プロスタグランジン合成阻害作用により、腎血流量が低下するためと考えられる。

非ステロイド性抗炎症薬(NSAIDS

降圧薬の効果を減弱させることが報告されている。

テルミサルタン:血管拡張作用を有するプロスタグランジンの合成が阻害されるため、降圧薬の血圧低下作用を減弱させると考えられている。

非ステロイド性抗炎症薬(NSAIDS

チアジド系薬剤の作用が減弱することがある。

ヒドロクロロチアジド:非ステロイド系消炎鎮痛剤のプロスタグランジン合成酵素阻害作用により、腎内プロスタグランジンが減少し、水・ナトリウムの体内貯留が生じてヒドロクロロチアジドの作用と拮抗する。

アンジオテンシン変換酵素阻害剤

急性腎障害を含む腎機能障害、高カリウム血症及び低血圧を起こすおそれがある4)

テルミサルタン:レニン-アンジオテンシン系阻害作用が増強される可能性がある。

アリスキレンフマル酸塩

腎機能障害、高カリウム血症及び低血圧を起こすおそれがある。なお、eGFRが60mL/min/1.73m2未満の腎機能障害のある患者へのアリスキレンフマル酸塩との併用については、治療上やむを得ないと判断される場合を除き避けること。

テルミサルタン:レニン-アンジオテンシン系阻害作用が増強される可能性がある。

バルビツール酸誘導体

起立性低血圧が増強されることがある。

ヒドロクロロチアジド:これらの薬剤の中枢抑制作用と利尿剤の降圧作用による。

あへんアルカロイド系麻薬

起立性低血圧が増強されることがある。

ヒドロクロロチアジド:あへんアルカロイドの大量投与で血圧下降があらわれることが報告されている。

アルコール

起立性低血圧が増強されることがある。

ヒドロクロロチアジド:血管拡張作用を有するアルコールとの併用により降圧作用が増強される可能性がある。

昇圧アミン

  • ノルアドレナリン
    アドレナリン

昇圧アミンの作用を減弱することがある。
手術前の患者に使用する場合、本剤の一時休薬等の処置を講ずること。

ヒドロクロロチアジド:チアジド系利尿剤は昇圧アミンに対する血管壁の反応性を低下させることが報告されている。

ツボクラリン及びその類似作用物質

  • ツボクラリン塩化物塩酸塩水和物
    パンクロニウム臭化物

ツボクラリン及びその類似作用物質の麻痺作用を増強することがある。
手術前の患者に使用する場合、本剤の一時休薬等の処置を講ずること。

ヒドロクロロチアジド:ヒドロクロロチアジドによる血清カリウム値の低下により、これらの薬剤の神経・筋遮断作用を増強すると考えられている。

降圧作用を有する他の薬剤

  • β-遮断剤
    ニトログリセリン等

降圧作用を増強するおそれがある。
降圧剤の用量調節等に注意すること。

ヒドロクロロチアジド:作用機序の異なる降圧作用により互いに協力的に作用する。

乳酸ナトリウム

チアジド系薬剤による代謝性アルカローシス、低カリウム血症を増強することがある。

ヒドロクロロチアジド:ヒドロクロロチアジドによるカリウム排泄作用により低カリウム血症や代謝性アルカローシスが引き起こされることがある。アルカリ化剤である乳酸ナトリウムの併用はこの状態をさらに増強させる。

糖質副腎皮質ホルモン剤
ACTH

低カリウム血症が発現することがある。

ヒドロクロロチアジド:ヒドロクロロチアジド及び糖質副腎皮質ホルモン剤ともカリウム排泄作用を持つ。

グリチルリチン製剤

血清カリウム値の低下があらわれやすくなる。

ヒドロクロロチアジド:グリチルリチン製剤は低カリウム血症を主徴とした偽アルドステロン症を引き起こすことがある。したがってヒドロクロロチアジドとの併用により低カリウム血症を増強する可能性がある。

糖尿病用剤

  • SU剤
    インスリン

糖尿病用剤の作用を著しく減弱することがある。

ヒドロクロロチアジド:機序は明確ではないが、ヒドロクロロチアジドによるカリウム喪失により膵臓のβ細胞のインスリン放出が低下すると考えられている。

コレスチラミン

チアジド系薬剤の作用が減弱することがある。

ヒドロクロロチアジド:コレスチラミンの吸着作用により、チアジド系薬剤の吸収が阻害されることがある。

スルフィンピラゾン

チアジド系薬剤はスルフィンピラゾンの尿酸排泄作用に拮抗することがある。

ヒドロクロロチアジド:チアジド系利尿剤は、腎での尿酸分泌の阻害、尿酸再吸収の増大作用を有すると考えられ、スルフィンピラゾンの尿酸排泄作用に拮抗することがある。

11. 副作用

次の副作用があらわれることがあるので、観察を十分に行い、異常が認められた場合には投与を中止するなど適切な処置を行うこと。

11.1 重大な副作用

  1. 11.1.1 *血管性浮腫(頻度不明)

    *顔面、口唇、咽頭・喉頭、舌等の腫脹を症状とする血管性浮腫があらわれ、喉頭浮腫等により呼吸困難を来した症例も報告されている。また、腹痛、嘔気、嘔吐、下痢等を伴う腸管血管性浮腫があらわれることがある。

  2. 11.1.2 高カリウム血症(頻度不明)
  3. 11.1.3 低ナトリウム血症(頻度不明)

    倦怠感、食欲不振、嘔気、嘔吐、意識障害等を伴う低ナトリウム血症があらわれることがある。高齢者であらわれやすい。,

  4. 11.1.4 腎機能障害(0.5%未満)

    急性腎障害を呈した例が報告されている。

  5. 11.1.5 ショック、失神、意識消失(いずれも頻度不明)

    冷感、嘔吐、意識消失等があらわれた場合には、直ちに適切な処置を行うこと。,

  6. 11.1.6 肝機能障害、黄疸(いずれも頻度不明)

    AST、ALT、Al-P、LDHの上昇等の肝機能障害があらわれることがある。

  7. 11.1.7 低血糖(頻度不明)

    脱力感、空腹感、冷汗、手の震え、集中力低下、痙攣、意識障害等があらわれた場合には投与を中止し、適切な処置を行うこと。糖尿病治療中の患者であらわれやすい。

  8. 11.1.8 アナフィラキシー(頻度不明)

    呼吸困難、血圧低下、喉頭浮腫等が症状としてあらわれることがある。

  9. 11.1.9 再生不良性貧血、溶血性貧血(いずれも頻度不明)
  10. 11.1.10 間質性肺炎、肺水腫、急性呼吸窮迫症候群(いずれも頻度不明)

    発熱、咳嗽、呼吸困難、胸部X線異常等を伴う間質性肺炎、肺水腫があらわれることがあるので、このような場合には投与を中止し、副腎皮質ホルモン剤の投与等の適切な処置を行うこと。また、ヒドロクロロチアジド服用後、数分から数時間以内に急性呼吸窮迫症候群が発現したとの報告がある5),6),7),8)

  11. 11.1.11 横紋筋融解症(頻度不明)

    筋肉痛、脱力感、CK上昇、血中及び尿中ミオグロビン上昇を特徴とする横紋筋融解症があらわれることがあるので、このような場合には直ちに投与を中止し、適切な処置を行うこと。

  12. 11.1.12 急性近視、閉塞隅角緑内障、脈絡膜滲出(いずれも頻度不明)

    急性近視(霧視、視力低下等を含む)、閉塞隅角緑内障、脈絡膜滲出があらわれることがある。

  13. 11.1.13 壊死性血管炎(頻度不明)
  14. 11.1.14 全身性紅斑性狼瘡の悪化(頻度不明)

11.2 その他の副作用

5%以上

0.5~5%未満

0.5%未満

頻度不明

過敏症

光線過敏症

発疹

そう痒、じん麻疹、紅斑、呼吸困難、顔面潮紅

精神神経系

めまい(5.5%)

眠気

不安感、頭のぼんやり感、不眠、睡眠障害、抑うつ状態、知覚異常、錯感覚、頭痛

血液

白血球減少、好酸球上昇、血小板減少、ヘモグロビン減少、紫斑、貧血

循環器

低血圧

動悸

ほてり、心悸亢進、ふらつき、上室性期外収縮、心房細動、上室性頻脈、徐脈、不整脈、起立性低血圧

消化器

下痢、鼓腸

腹痛、消化不良、胃炎、嘔気、嘔吐、食欲不振、口渇、口内炎、膵炎、唾液腺炎、便秘、腹部不快感

視覚異常、視力異常(霧視等)、黄視症、結膜炎、目のチカチカ感、羞明

肝臓

AST、ALT、Al-P、LDH上昇等の肝機能異常

呼吸器

咽頭炎、気管支炎、副鼻腔炎、咳、喀痰増加、鼻閉

腎臓

高尿酸血症

血清クレアチニン上昇、血中尿酸値上昇

代謝異常

脂質異常症(低比重リポ蛋白増加、トリグリセリド増加等)、低クロール性アルカローシス、糖尿病のコントロール不良

骨格筋

関節痛、下肢痛、筋肉痛、下肢痙攣、背部痛、腱炎、筋痙攣

電解質

低カリウム血症、血清カリウム上昇、低マグネシウム血症、血清カルシウムの上昇等の電解質失調

その他

頻尿、疲労、無力症

インフルエンザ様症状、上気道感染、インポテンス、尿路感染、膀胱炎、敗血症、耳鳴、倦怠感、CRP陽性、CK上昇、浮腫、脱力感、発熱、多汗、胸痛、高カルシウム血症を伴う副甲状腺障害、皮膚エリテマトーデス、しびれ、味覚異常

12. 臨床検査結果に及ぼす影響

ヒドロクロロチアジドは、甲状腺障害のない患者の血清PBIを低下させることがある。

13. 過量投与

  1. 13.1 症状

    テルミサルタンの過量服用(640mg)により、低血圧及び頻脈があらわれたとの報告がある。また、本剤の過量服用(テルミサルタン/ヒドロクロロチアジド総量として320mg/50mg~400mg/62.5mg)により、低血圧及びめまいがあらわれたとの報告がある。

  2. 13.2 処置

    テルミサルタンは血液濾過されない。また、テルミサルタンは血液透析によって除去されない。
    低血圧が起こった場合は、臥位にさせ、すみやかに生理食塩液及び補液を投与する。

14. 適用上の注意

14.1 薬剤交付時の注意

  1. 14.1.1 PTP包装の薬剤はPTPシートから取り出して服用するよう指導すること。PTPシートの誤飲により、硬い鋭角部が食道粘膜へ刺入し、更には穿孔を起こして縦隔洞炎等の重篤な合併症を併発することがある。
  2. 14.1.2 本剤を食後に服用している患者には、毎日食後に服用するよう注意を与えること。本剤の薬物動態は食事の影響を受け、空腹時投与した場合は、食後投与よりも血中濃度が高くなることが報告されており、副作用が発現するおそれがある。

15. その他の注意

15.3 その他の注意

海外で実施された疫学研究において、ヒドロクロロチアジドを投与された患者で、基底細胞癌及び有棘細胞癌のリスクが増加することが報告されている9)10)

16. 薬物動態

16.1 血中濃度

  1. 16.1.1 単回投与

    健康成人男子にテルミサルタン・ヒドロクロロチアジド配合錠を空腹時単回経口投与したとき、テルミサルタン及びヒドロクロロチアジドは、それぞれ投与後1.00-1.50及び2.00時間に最高血漿中濃度に達し、消失半減期18.9-19.8及び8.49-8.82時間で消失した。単剤の時と同様に、テルミサルタンのCmaxは用量比以上に上昇する傾向が認められた11),12)

    単回投与

    テルミサルタン

    ヒドロクロロチアジド

    40mg/12.5mg

    80mg/12.5mg

    40mg/12.5mg

    80mg/12.5mg

    n=30

    n=131

    n=30

    n=66

    Cmax(ng/mL)

    120(60.3)

    686(75.2)

    66.2(16.7)

    70.8(26.9)

    AUC0-∞
    (ng・hr/mL)

    1260(72.2)

    2970(71.0)

    507(16.9)

    478(21.6)

    t1/2(hr)

    19.8(34.9)

    18.9(36.1)

    8.49(18.6)

    8.82(13.6)

    tmax(hr)a)

    1.50
    (0.500-4.00)

    1.00
    (0.500-6.00)

    2.00
    (1.00-4.00)

    2.00
    (1.00-4.02)

    算術平均値(CV%)
    a)中央値(最小値-最大値)

  2. 16.1.2 反復投与

    健康成人男子10例にテルミサルタン・ヒドロクロロチアジド配合錠との生物学的同等性が確認されているテルミサルタン80mg錠とヒドロクロロチアジド12.5mg錠を1日1回7日間空腹時併用反復経口投与した際のテルミサルタン及びヒドロクロロチアジドの薬物動態は単回投与時と類似していた。投与1日目及び7日目のAUC及びCmaxから算出したテルミサルタンの蓄積率(算術平均値±S.D.)はそれぞれ1.34±0.423及び1.50±0.783であり、ヒドロクロロチアジドの蓄積率はそれぞれ1.11±0.197及び1.10±0.286であった13)

    反復投与(n=10)

    テルミサルタン

    ヒドロクロロチアジド

    1日目

    Cmax(ng/mL)

    501±430

    94.1±27.1

    tmax(hr)a)

    1.00(1.00-4.00)

    1.50(1.00-2.00)

    AUCτ(ng・hr/mL)

    1970±1050

    508±121

    7日目

    Cmax(ng/mL)

    506±182

    100±28.6

    tmax(hr)a)

    1.00(1.00-2.00)

    1.50(1.00-3.00)

    AUCτ(ng・hr/mL)

    2310±737

    550±105

    t1/2(hr)

    20.9±10.3

    8.56±2.02

    算術平均値±S.D.
    a)中央値(最小値-最大値)

    健康成人にテルミサルタン160mg注)とヒドロクロロチアジド25mg注)をそれぞれ単独に1日1回7日間反復経口投与したときと併用反復経口投与したときの薬物動態を比較した結果、単独投与後と併用投与後の血漿中濃度推移はテルミサルタン、ヒドロクロロチアジドともに類似しており、併用投与による体内動態への影響は認められなかった14)(外国人データ)。

  3. 16.1.3 生物学的同等性試験
    • 〈テルチア配合錠BP「NIG」〉

      テルチア配合錠BP「NIG」とミコンビ配合錠BPを、クロスオーバー法によりそれぞれ1錠(テルミサルタンとして80mg、ヒドロクロロチアジドとして12.5mg)健康成人男子に絶食単回経口投与して血漿中未変化体濃度を測定し、得られた薬物動態パラメータ(AUC、Cmax)について90%信頼区間法にて統計解析を行った結果、log(0.80)~log(1.25)の範囲内であり、両剤の生物学的同等性が確認された15)

      • テルミサルタン
        薬物動態パラメータ

        投与量

        (mg)

        AUC0-72

        (ng・hr/mL)

        Cmax

        (ng/mL)

        Tmax

        (hr)

        T1/2

        (hr)

        テルチア配合錠BP「NIG」

        80

        3955.20
        ±6279.45

        687.31
        ±725.00

        1.55
        ±1.29

        28.46
        ±20.13

        ミコンビ配合錠BP

        80

        3802.87
        ±5199.38

        662.59
        ±556.40

        1.20
        ±0.89

        31.10
        ±22.40

        (平均±標準偏差、n=56(※:n=55))

      • ヒドロクロロチアジド
        薬物動態パラメータ

        投与量

        (mg)

        AUC0-36

        (ng・hr/mL)

        Cmax

        (ng/mL)

        Tmax

        (hr)

        T1/2

        (hr)

        テルチア配合錠BP「NIG」

        12.5

        489.95
        ±99.21

        91.28
        ±25.43

        1.82
        ±0.77

        7.73
        ±1.56

        ミコンビ配合錠BP

        12.5

        496.82
        ±105.08

        86.00
        ±24.90

        2.14
        ±1.06

        7.70
        ±1.21

        (平均±標準偏差、n=32)

      血漿中濃度並びにAUC、Cmax等のパラメータは、被験者の選択、体液の採取回数・時間等の試験条件によって異なる可能性がある。

16.2 吸収

  1. 16.2.1 健康成人に14C-ヒドロクロロチアジド5mgを経口投与したとき、投与量の60~80%は消化管から吸収され、特に小腸上部での吸収が顕著であった16)(外国人データ)。
  2. 16.2.2 食事の影響

    健康成人男子32例(各用量16例)に、テルミサルタン・ヒドロクロロチアジド配合錠(テルミサルタン/ヒドロクロロチアジド40mg/12.5mg及びテルミサルタン/ヒドロクロロチアジド80mg/12.5mg)を単回経口投与したとき、テルミサルタンは食後投与で空腹時投与に比べtmaxの中央値が遅延(食後:3.00及び2.50時間、空腹時:1.25及び1.50時間)し、Cmax及びAUC0-tzはそれぞれ62%及び29~33%低下した。一方、ヒドロクロロチアジドのtmaxの中央値(食後:2.00及び2.50時間、空腹時:2.25及び2.00時間)は類似していた。食後投与時のCmax及びAUC0-tzも、空腹時に比べてそれぞれ13~15%及び13%低下する程度であった17)

16.3 分布

テルミサルタンのラット及びヒトの血漿蛋白結合率は、in vitro及びin vivoともに99%以上であった18)

16.4 代謝

テルミサルタンは主としてUGT酵素によるグルクロン酸抱合によって代謝される19)
ヒドロクロロチアジドは生体内でほとんど代謝を受けない16)

16.5 排泄

テルミサルタンは尿中にはほとんど排泄されず、大部分が胆汁を介して糞中に排泄される20),21)
ヒドロクロロチアジドは未変化体として尿中に排泄される16)
健康成人男子10例にテルミサルタン80mg錠とヒドロクロロチアジド12.5mg錠を1日1回7日間空腹時併用反復経口投与した後のヒドロクロロチアジドの尿中排泄率は89.3%であった13)

16.6 特定の背景を有する患者

  1. 16.6.1 肝機能障害患者

    肝機能障害男性患者12例(Child-Pugh分類A(軽症):8例、B(中等症):4例)にテルミサルタン20mg及び120mg注)を経口投与したとき、健康成人に比較しCmaxは4.5倍及び3倍高く、AUCは2.5倍及び2.7倍高かった22)(外国人データ)。

16.8 その他

  • 〈テルチア配合錠AP「NIG」〉

    テルチア配合錠AP「NIG」は、「含量が異なる経口固形製剤の生物学的同等性試験ガイドライン(平成24年2月29日 薬食審査発0229第10号)」に基づき、テルチア配合錠BP「NIG」を標準製剤としたとき、溶出挙動が等しく、生物学的に同等とみなされた15)

  • 注)本剤の承認用量はテルミサルタン40mg/ヒドロクロロチアジド12.5mg及びテルミサルタン80mg/ヒドロクロロチアジド12.5mgである。また、肝機能障害のある患者に投与する場合のテルミサルタンの最大投与量は1日40mgである。

17. 臨床成績

17.1 有効性及び安全性に関する試験

  1. 17.1.1 国内第Ⅱ相試験

    高血圧症患者に対する臨床上の至適用量比を設定することを目的とし、テルミサルタン及びヒドロクロロチアジド複数用量により要因デザインを組み、プラセボ対照比較試験として実施した。結果は次表のとおりであった。最終トラフ時臥位拡張期血圧下降度(mmHg)及び安全性の結果から、テルミサルタン/ヒドロクロロチアジド40mg/12.5mg及びテルミサルタン/ヒドロクロロチアジド80mg/12.5mgを至適用量として選択した。

    投与群
    テルミサルタン/ヒドロクロロチアジド(例数)

    最終トラフ時臥位収縮期血圧下降度(mmHg)

    最終トラフ時臥位拡張期血圧下降度(mmHg)

    0mg/12.5mg

    (n=66)

    12.6(13.8)

    6.8(7.9)

    40mg/0mg

    (n=63)

    11.8(12.0)

    8.1(7.3)

    40mg/12.5mg

    (n=64)

    23.9(12.4)

    13.9(7.9)

    80mg/0mg

    (n=65)

    16.3(13.3)

    9.7(8.2)

    80mg/12.5mg

    (n=63)

    23.6(11.9)

    13.1(7.9)

    (平均値(標準偏差))

    副作用の発現割合は、プラセボ群で4.7%(3/64例)、テルミサルタン/ヒドロクロロチアジド 0mg/12.5mg、40mg/0mg、40mg/12.5mg、80mg/0mg、80mg/12.5mg群ではそれぞれ4.5%(3/66例)、4.8%(3/63例)、9.4%(6/64例)、6.1%(4/66例)、9.4%(6/64例)であった。主な副作用は体位性めまい及び浮動性めまいであり、テルミサルタン/ヒドロクロロチアジド40mg/12.5mg群及び80mg/12.5mg群における体位性めまいの発現割合はそれぞれ4.7%(3/64例)、1.6%(1/64例)、浮動性めまいの発現割合はそれぞれ1.6%(1/64例)、3.1%(2/64例)であった23)

  2. 17.1.2 国内第Ⅲ相試験

    高血圧症患者を対象とした、二重盲検群間比較試験の結果、テルミサルタン/ヒドロクロロチアジド40mg/12.5mgの有用性が認められた。臨床成績の概要は次表のとおりであった。テルミサルタン40mg投与により効果不十分な軽症・中等症の本態性高血圧症患者にテルミサルタン/ヒドロクロロチアジド40mg/12.5mg又はテルミサルタン40mgを8週間投与したとき、テルミサルタン/ヒドロクロロチアジド40mg/12.5mgはテルミサルタン40mgに比べて坐位拡張期血圧が平均4.7mmHg、坐位収縮期血圧が平均5.6mmHg下降し、追加の降圧効果が確認された24)

    最終トラフ時血圧下降度の平均値(拡張期及び収縮期)

    投与群

    例数

    拡張期血圧(mmHg)

    収縮期血圧(mmHg)

    投与前値

    下降度a)

    群間差a)

    投与前値

    下降度a)

    群間差a)

    平均値
    (SD)

    調整平均値
    (SE)

    調整平均値
    (95% CI)

    平均値
    (SD)

    調整平均値
    (SE)

    調整平均値
    (95% CI)

    テルミサルタン
    40mg

    108

    97.7
    (5.7)

    5.0
    (0.8)

    4.7b)
    (2.5,6.9)

    147.7
    (11.9)

    8.4
    (1.2)

    5.6c)
    (2.3,8.9)

    テルミサルタン/
    ヒドロクロロ
    チアジド40mg/
    12.5mg配合剤

    105

    96.9
    (5.2)

    9.7
    (0.8)

    148.7
    (13.6)

    14.0
    (1.2)

    調整平均値:共分散分析モデルによる最小二乗平均値
    95%CI:95%信頼区間
    a)投与前値を共変量とした共分散分析モデルに基づく
    b)p<0.0001
    c)p=0.0010

    副作用の発現割合は、テルミサルタン40mg群で0.9%(1/109例)、テルミサルタン/ヒドロクロロチアジド40mg/12.5mg群では4.6%(5/109例)であった。テルミサルタン/ヒドロクロロチアジド40mg/12.5mg群の主な副作用は低血圧1.8%(2/109例)であった25)

  3. 17.1.3 国内第Ⅲ相試験(長期投与試験)

    日本人高血圧症患者を対象とした、テルミサルタン/ヒドロクロロチアジド40mg/12.5mg及びテルミサルタン/ヒドロクロロチアジド80mg/12.5mgの52週の長期投与時の安全性及び有効性を検討した結果、忍容性に問題はなかった。また、テルミサルタン/ヒドロクロロチアジド40mg/12.5mgで効果不十分な患者に対し、テルミサルタン/ヒドロクロロチアジド80mg/12.5mgを投与した際、増量効果(増量後、拡張期血圧で平均8.3mmHg及び収縮期血圧で平均10.1mmHg(ともにN=80)の追加降圧効果)が確認された。経時的な効果の減弱は認められなかった。
    副作用の発現割合は、テルミサルタン/ヒドロクロロチアジド40mg/12.5mg群で18.3%(19/104例)、テルミサルタン/ヒドロクロロチアジド80mg/12.5mg群では13.8%(11/80例)であった。主な副作用は、テルミサルタン/ヒドロクロロチアジド40mg/12.5mg群では浮動性めまい4.8%(5/104例)及び体位性めまい3.8%(4/104例)であり、テルミサルタン/ヒドロクロロチアジド80mg/12.5mg群では、体位性めまい3.8%(3/80例)、浮動性めまい2.5%(2/80例)及び高尿酸血症2.5%(2/80例)であった26)

18. 薬効薬理

18.1 作用機序

テルミサルタンは主に血管平滑筋のアンジオテンシンⅡ(A-Ⅱ)タイプ1(AT1)受容体において、生理的昇圧物質であるA-Ⅱと特異的に拮抗し、その血管収縮作用を抑制することにより降圧作用を発現する。テルミサルタンのAT1受容体親和性は高く(Ki=3.7nM)、AT1受容体から容易に解離しない。テルミサルタンは10~1000nMの濃度範囲で、A-Ⅱによる摘出ウサギ大動脈標本の血管収縮反応曲線を濃度依存的に右方に移動させると共に最大収縮を40~50%抑制する。また標本洗浄120分後においても有意な血管収縮抑制を示し、作用は持続的である。また、ブラジキニン分解酵素であるACE(キニナーゼⅡ)に対しては直接影響を及ぼさない27),28),29),30)
ヒドロクロロチアジドは腎遠位尿細管におけるNaとClの再吸収を抑制し、水の排泄を促進させる。炭酸脱水素酵素阻害作用も有する。降圧作用は、初期には循環血流量の低下により、長期的には末梢血管の拡張によると考えられている31)

18.2 降圧作用

覚醒下の雄性高血圧自然発症ラット(SHR)を用いて、3mg/kgのテルミサルタン、10mg/kgのヒドロクロロチアジドあるいはその両者を5日間連続経口投与した場合の降圧作用を検討した。その結果、3mg/kgのテルミサルタン単独経口投与は投与5日目に36mmHgの最大降圧作用を示した。ヒドロクロロチアジドの単独投与では明らかな降圧作用は認められなかったが、テルミサルタンとの併用によりテルミサルタンの作用を明らかに増強し、最大降圧作用は53mmHgであった32)

18.3 利尿作用

覚醒下の雄性SHRを用いて、3mg/kgのテルミサルタン、10mg/kgのヒドロクロロチアジドあるいはその両者を5日間連続経口投与したときの利尿作用を検討した。その結果、3mg/kgのテルミサルタンの単独投与によっては尿量及び尿中電解質濃度(Na、K及びCl)に有意な変化はみられなかった。一方、10mg/kgのヒドロクロロチアジドの単独投与によって、尿量、Na、K及びClの電解質濃度の明らかな増加がみられた。テルミサルタンを併用投与しても、ヒドロクロロチアジドの利尿作用はみられ、テルミサルタンはヒドロクロロチアジドの利尿作用にほとんど影響しなかった33)

19. 有効成分に関する理化学的知見

〈テルミサルタン〉

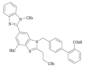
一般的名称

テルミサルタン(Telmisartan)

化学名

4’-{[4-Methyl-6-(1-methyl-1H-benzimidazol-2-yl)-2-propyl-1H-benzimidazol-1-yl]methyl}biphenyl-2-carboxylic acid

分子式

C33H30N4O2

分子量

514.62

性状

白色~微黄色の結晶性の粉末である。ギ酸に溶けやすく、メタノールに溶けにくく、エタノール(99.5)に極めて溶けにくく、水にほとんど溶けない。結晶多形が認められる。

化学構造式

〈ヒドロクロロチアジド〉

一般的名称

ヒドロクロロチアジド(Hydrochlorothiazide)

化学名

6-Chloro-3,4-dihydro-2H-1,2,4-benzothiadiazine-7-sulfonamide 1,1-dioxide

分子式

C7H8ClN3O4S2

分子量

297.74

性状

白色の結晶又は結晶性の粉末で、においはなく、味は僅かに苦い。アセトンに溶けやすく、アセトニトリルにやや溶けにくく、水又はエタノール(95)に極めて溶けにくく、ジエチルエーテルにほとんど溶けない。水酸化ナトリウム試液に溶ける。

化学構造式

融点

約267℃(分解)

20. 取扱い上の注意

分包後は吸湿して軟化することがあるので、高温・多湿を避けて保存すること。

22. 包装

  • テルチア配合錠AP「NIG」

    100錠[10錠(PTP)×10(乾燥剤入り)]

  • テルチア配合錠BP「NIG」

    100錠[10錠(PTP)×10(乾燥剤入り)]

23. 主要文献

1) 阿部真也ほか:周産期医学. 2017;47:1353-1355

2) 齊藤大祐ほか:鹿児島産科婦人科学会雑誌. 2021;29:49-54

3) Stangier J, et al.:J Clin Pharmacol. 2000;40:1373-1379

4) Makani H, et al.:BMJ. 2013;346:f360

5) Rai A, et al.:Am J Respir Crit Care Med. 2016;193:A1890

6) Jansson PS, et al.:J Emerg Med. 2018;55:836-840

7) Vadas P,:Am J Emerg Med. 2020;38:1299 e1-e2

8) Kane SP, et al.:Perfusion. 2018;33:320-322

9) Pottegard A, et al.:J Intern Med. 2017;282:322-331

10) Pedersen SA, et al.:J Am Acad Dermatol. 2018;78:673-681

11) 生物学的同等性試験(ミコンビ配合錠;2009年4月22日承認、CTD 2.7.1.2、2.7.1.4)

12) 生物学的同等性試験(ミコンビ配合錠;2009年4月22日承認、CTD 2.7.6.1)

13) 健康成人での薬物動態試験(ミコンビ配合錠;2009年4月22日承認、CTD 2.7.2.2)

14) Young CL, et al.:J Clin Pharmacol. 2000;40:1323-1330

15) 社内資料:生物学的同等性試験

16) Beerman B, et al.:Clin Pharmacol Ther. 1976;19(5)Part1:531-537

17) 食事の影響試験(ミコンビ配合錠;2009年4月22日承認、CTD 2.7.6.1)

18) 血漿蛋白との結合(ミカルディスカプセル;2002年10月8日承認、申請資料概要 ヘ.2.(4))

19) 代謝(ミカルディスカプセル;2002年10月8日承認、申請資料概要 ヘ.2.(5))

20) Stangier J, et al.:J Clin Pharmacol. 2000;40:1312-1322

21) 荻原俊男ほか:薬理と治療. 2002;30(Suppl.1):S7-S32

22) 肝機能障害患者の薬物動態試験(ミコンビ配合錠;2009年4月22日承認、CTD 2.7.3.4)

23) 用量比検討試験(ミコンビ配合錠;2009年4月22日承認、CTD 2.7.6.3)

24) 検証試験(ミコンビ配合錠;2009年4月22日承認、CTD 2.7.3.3)

25) 検証試験(ミコンビ配合錠;2009年4月22日承認、CTD 2.7.6.3)

26) 長期投与試験(ミコンビ配合錠;2009年4月22日承認、CTD 2.7.3.4、2.7.6.3)

27) Wienen W, et al.:Br J Pharmacol. 1993;110(1):245-252

28) Wienen W, et al.:Cardiovascular Drug Reviews. 2000;18(2):127-154

29) アンジオテンシンⅡ受容体に対する親和性(ミカルディスカプセル;2002年10月8日承認、申請資料概要 ホ.1.(2)2))

30) アンジオテンシンⅡ拮抗作用(ミカルディスカプセル;2002年10月8日承認、申請資料概要 ホ.1.(2)3))

31) 第十八改正日本薬局方解説書. 廣川書店;2021:C-4338-C-4343

32) 薬効薬理試験(ミコンビ配合錠;2009年4月22日承認、CTD 2.6.2.2)

33) 薬効薬理試験(ミコンビ配合錠;2009年4月22日承認、CTD 2.6.2.2)

24. 文献請求先及び問い合わせ先

日医工株式会社 お客様サポートセンター

〒930-8583 富山市総曲輪1丁目6番21

TEL(0120)517-215
FAX(076)442-8948

26. 製造販売業者等

26.1 製造販売元

日医工岐阜工場株式会社

富山市総曲輪1丁目6番21

26.2 **販売元

日医工株式会社

富山市総曲輪1丁目6番21

〒100-0013 東京都千代田区霞が関3-3-2 新霞が関ビル

画面を閉じる

Copyright © Pharmaceuticals and Medical Devices Agency, All Rights reserved.