医療用医薬品 詳細表示

ベラパミル塩酸塩錠40mg「タイヨー」

処方せん医薬品

添付文書番号
企業コード
作成又は改訂年月
日本標準商品分類番号
薬効分類名
承認等
一般的名称
2.禁忌(次の患者には投与しないこと)
3.組成・性状
3.1組成
3.2製剤の性状
4.効能又は効果
5.効能又は効果に関連する注意
6.用法及び用量
8.重要な基本的注意
9.特定の背景を有する患者に関する注意
9.1合併症・既往歴等のある患者
9.2腎機能障害患者
9.3肝機能障害患者
9.5妊婦
9.6授乳婦
9.7小児等
9.8高齢者
10.相互作用
10.1併用禁忌(併用しないこと)
10.2併用注意(併用に注意すること)
11.副作用
11.1重大な副作用
11.2その他の副作用
13.過量投与
14.適用上の注意
15.その他の注意
15.1臨床使用に基づく情報
16.薬物動態
16.1血中濃度
16.4代謝
17.臨床成績
17.1有効性及び安全性に関する試験
18.薬効薬理
18.1作用機序
18.2末梢血管抵抗を下げ、心仕事量を軽減する
18.3冠状動脈や末梢血管を拡張する
18.4心筋保護作用を示す
18.5Ca++流入を抑え、抗不整脈作用を示す
18.6ノルアドレナリンや電気刺激による実験的不整脈を抑制する
19.有効成分に関する理化学的知見
20.取扱い上の注意
22.包装
23.主要文献
24.文献請求先及び問い合わせ先
26.製造販売業者等

ベラパミル塩酸塩錠40mg「タイヨー」

添付文書番号

2171008F1088_2_03

企業コード

581120

作成又は改訂年月

**2026年2月改訂(第3版)
2025年3月改訂(第2版)

日本標準商品分類番号

872171

薬効分類名

Ca++拮抗性不整脈・虚血性心疾患治療剤

承認等

ベラパミル塩酸塩錠40mg「タイヨー」

販売名コード

YJコード

2171008F1088

販売名英語表記

Verapamil Hydrochloride Tablets

販売名ひらがな

べらぱみるえんさんえんじょう40mg「たいよー」

承認番号等

承認番号

21900AMX01009

販売開始年月

1998年7月

貯法・有効期間

貯法

室温保存

有効期間

3年

基準名

日本薬局方

ベラパミル塩酸塩錠

一般的名称

ベラパミル塩酸塩錠

2. 禁忌(次の患者には投与しないこと)

  1. 2.1 重篤なうっ血性心不全のある患者
    [本剤は陰性変力作用を有し、心不全症状を更に悪化させることがある。]
  2. 2.2 第Ⅱ度以上の房室ブロック、洞房ブロックのある患者
    [本剤は房室結節、洞結節を抑制する作用を有し、刺激伝導を更に悪化させることがある。]
  3. 2.3 妊婦又は妊娠している可能性のある女性
  4. 2.4 本剤の成分に対し過敏症の既往歴のある患者
  5. 2.5 *イバブラジン塩酸塩を投与中の患者
  6. 2.6 *ロミタピドメシル酸塩を投与中の患者

3. 組成・性状

3.1 組成

ベラパミル塩酸塩錠40mg「タイヨー」

有効成分1錠中:ベラパミル塩酸塩   40mg
添加剤アラビアゴム末、結晶セルロース、酸化チタン、ステアリン酸マグネシウム、ゼラチン、タルク、乳糖水和物、白糖、ヒプロメロース、黄色4号(タートラジン)アルミニウムレーキ

3.2 製剤の性状

ベラパミル塩酸塩錠40mg「タイヨー」

外形表面
裏面
側面
大きさ直径7.4mm
厚さ4.4mm
質量185mg
識別コードt 325
色・剤形淡黄色の糖衣錠

4. 効能又は効果

  • 成人:
    • 頻脈性不整脈(心房細動・粗動、発作性上室性頻拍)
    • 狭心症、心筋梗塞(急性期を除く)、その他の虚血性心疾患
  • 小児:
    • 頻脈性不整脈(心房細動・粗動、発作性上室性頻拍)

5. 効能又は効果に関連する注意

小児等に本剤を使用する場合、小児等の不整脈治療に熟練した医師が監督すること。基礎心疾患のある場合は、有益性がリスクを上回ると判断される場合にのみ投与すること。

6. 用法及び用量

  • 成人:
    • 〈頻脈性不整脈(心房細動・粗動、発作性上室性頻拍)〉

      ベラパミル塩酸塩として、通常成人1回40~80mgを1日3回経口投与する。
      なお、年齢、症状により適宜減量する。

    • 〈狭心症、心筋梗塞(急性期を除く)、その他の虚血性心疾患〉

      ベラパミル塩酸塩として、通常成人1回40~80mgを1日3回経口投与する。
      なお、年齢、症状により適宜増減する。

  • 小児:
    • 〈頻脈性不整脈(心房細動・粗動、発作性上室性頻拍)〉

      通常、小児には、ベラパミル塩酸塩として1日3~6mg/kg(ただし、1日240mgを超えない)を、1日3回に分けて経口投与する。
      なお、年齢、症状により適宜減量する。

8. 重要な基本的注意

  1. 8.1 カルシウム拮抗剤の投与を急に中止したとき、症状が悪化した症例が報告されているので、本剤の休薬を要する場合は徐々に減量し、観察を十分に行うこと。また、患者に医師の指示なしに服薬を中止しないように注意すること。
  2. 8.2 本剤の投与に際しては、心電図、脈拍、血圧を定期的に調べること。PQの延長、徐脈、血圧低下等の異常所見が認められた場合には、直ちに減量又は投与を中止すること。
  3. 8.3 クラスI抗不整脈剤、β-遮断剤との併用により、心機能低下、高度の徐脈、房室ブロックがあらわれることがある。また、ジギタリスとの併用により、高度の徐脈、房室ブロックがあらわれることがある。これらの薬剤と併用する場合は、自覚症状に注意するとともに、定期的に心電図検査を行い、異常が認められた場合には、本剤又は相手薬剤を減量又は中止するなど適切な処置を行うこと。

9. 特定の背景を有する患者に関する注意

9.1 合併症・既往歴等のある患者

  1. 9.1.1 うっ血性心不全(重篤なうっ血性心不全を除く)又はその既往歴のある患者

    本剤は陰性変力作用を有し、心機能を更に低下させることがある。

  2. 9.1.2 高度の徐脈(50拍/分未満)、又は第Ⅰ度の房室ブロックのある患者

    本剤は房室結節、洞結節を抑制する作用を有し、刺激伝導を更に悪化させることがある。

  3. 9.1.3 低血圧の患者

    本剤は血管拡張作用を有し、血圧を更に低下させることがある。

  4. 9.1.4 WPW、LGL症候群のある患者

    本剤の房室伝導抑制作用により、心房興奮が副伝導路を通りやすくなる結果として心室細動を生じることがある。

  5. 9.1.5 基礎心疾患(心筋症、弁膜症、高血圧性心疾患等)のある患者

    本剤は陰性変力作用を有し、心機能を悪化させることがある。

  6. 9.1.6 筋ジストロフィーのある患者

    本剤は主に平滑筋を弛緩させるが骨格筋に対しても作用を有し、筋収縮力を悪化させることがある。

  7. 9.1.7 頻脈性不整脈(心房細動・粗動、発作性上室性頻拍)のある患者

    洞停止、洞不全症候群の誘発の危険性が高くなる。

9.2 腎機能障害患者

  1. 9.2.1 重篤な腎不全のある患者

    本剤は肝及び腎で代謝・排泄されるため、このような患者では本剤の血中濃度が予測以上に増加し、副作用に発展することがある。

9.3 肝機能障害患者

  1. 9.3.1 重篤な肝不全のある患者

    本剤は肝及び腎で代謝・排泄されるため、このような患者では本剤の血中濃度が予測以上に増加し、副作用に発展することがある。

9.5 妊婦

妊婦又は妊娠している可能性のある女性には、投与しないこと。動物実験(マウス)で胎児毒性(死胚)が報告されている。

9.6 授乳婦

治療上の有益性及び母乳栄養の有益性を考慮し、授乳の継続又は中止を検討すること。ヒトにおいて乳汁中への移行が報告されている。

9.7 小児等

  1. 9.7.1 小児等に本剤を使用する場合、小児等の不整脈治療に熟練した医師が監督すること。
  2. 9.7.2 新生児及び乳児はカルシウム拮抗剤の感受性が高く、徐脈、心停止等を生じる危険性が大きい。新生児及び乳児に本薬を静脈内投与した際、重篤な徐脈や低血圧、心停止等が認められたとの報告がある。

9.8 高齢者

減量するなど注意すること。一般に生理機能が低下している。

10. 相互作用

  • 本剤は主として肝代謝酵素CYP3A4で代謝される。本剤はCYP3A及びP-糖蛋白の基質であるとともにCYP3A4及びP-糖蛋白に対して阻害作用を有する。

10.1 併用禁忌(併用しないこと)

薬剤名等臨床症状・措置方法機序・危険因子

* イバブラジン塩酸塩

* 過度の徐脈があらわれることがある。

* 本剤によるチトクロームP450(CYP3A4)に対する競合的阻害作用により、相手薬剤の血中濃度を上昇させる。また、心拍数減少作用を相加的に増強する。

* ロミタピドメシル酸塩

* 相手薬剤の血中濃度が著しく上昇するおそれがある。

* 本剤によるチトクロームP450(CYP3A4)に対する競合的阻害作用により、相手薬剤の血中濃度を上昇させる。

10.2 併用注意(併用に注意すること)

薬剤名等臨床症状・措置方法機序・危険因子

血圧降下剤

血圧の低下が増強することがある。

本剤と血圧降下剤の血管拡張作用が増強される。

β-遮断剤

ラウオルフィア製剤

心機能の低下や徐脈があらわれることがある。自覚症状、心電図等に注意し、異常が認められた場合には、本剤又は相手薬剤を減量又は中止するなど適切な処置を行うこと。

本剤は陰性変力作用や房室結節、洞結節を抑制する作用を有し、両者の心抑制作用が相互に増強される。特にジギタリス製剤との3剤併用時には注意すること。

抗不整脈剤

  • キニジン硫酸塩水和物
  • プロカインアミド塩酸塩
  • リドカイン
  • ピルシカイニド塩酸塩水和物
  • フレカイニド酢酸塩等

低カリウム血症を起こすおそれがある薬剤

  • 利尿剤等

徐脈、房室ブロックがあらわれることがあり、高度の不整脈に発展させることがある。自覚症状、心電図等に注意し、異常が認められた場合には、本剤又は相手薬剤を減量又は中止すること。

相加的な抗不整脈作用の増強や低カリウム血症により催不整脈作用が生じる。

ジギタリス製剤

  • ジゴキシン
  • メチルジゴキシン等

高度の徐脈、房室ブロック等の徐脈性不整脈があらわれることがある。また、これらの不整脈を含めたジギタリスの血中濃度上昇による中毒症状(悪心・嘔吐、食欲不振、頭痛、疲労、倦怠感等)があらわれることがある。定期的に心電図検査を行い、ジギタリスの中毒症状の有無を確認し、必要に応じてジギタリスの血中濃度を測定する。異常が認められた場合には、両剤を減量又は中止するなど適切な処置を行うこと。

相加的な房室結節・洞結節抑制作用の増強やジギタリスの心刺激作用により不整脈が生じる。特にβ-遮断剤との3剤併用時には注意すること。
また、ジギタリスの血中濃度の上昇は本剤のジギタリスの腎排泄抑制によるものと考えられる。

吸入麻酔薬

心機能の低下や徐脈があらわれることがある。脈拍数、心電図等に注意し、異常が認められた場合には、適切な処置を行うこと。

本剤は陰性変力作用や房室結節、洞結節を抑制する作用を有し、両剤の心抑制作用が相互に増強される。

*P-糖蛋白で排出される薬剤

  • *エドキサバントシル酸塩等

* 相手薬剤の血中濃度を上昇させ、作用を増強させることがある。異常が認められた場合には、適切な処置を行うこと。

*P-糖蛋白を阻害することにより、相手薬剤の血中濃度を上昇させる。

*P-糖蛋白で排出される薬剤

  • ダビガトランエテキシラートメタンスルホン酸塩

ダビガトランの抗凝固作用が増強することがあるので、ダビガトランエテキシラートの用量調節や投与間隔を考慮するなど、投与方法に十分注意すること。

ダビガトランの血中濃度を上昇させる。

*CYP3Aで代謝され、P-糖蛋白で排出される薬剤

  • *レンバチニブ等

*相手薬剤の血中濃度を上昇させ、作用を増強させることがある。異常が認められた場合には、適切な処置を行うこと。

*本剤のCYP3A及びP-糖蛋白に対する阻害作用により、相手薬剤の代謝・排泄が阻害される。

*CYP3Aを阻害する薬剤

  • *クラリスロマイシン
  • *エリスロマイシン等

*本剤の血中濃度が上昇し、副作用を増強するおそれがある。

*相手薬剤のチトクロームP450(CYP3A)の阻害作用により、本剤の代謝が阻害され、血中濃度を上昇させる。

*CYP3Aを阻害する薬剤

  • リトナビル

本剤のAUCが3倍を超えることが予測されるので、本剤を減量するとともに血中濃度のモニターや診察の回数を増やすなど慎重に投与すること。

相手薬剤によるチトクロームP450(CYP3A4)に対する競合的阻害作用により、本剤の血中濃度を上昇させる。

*CYP3Aを阻害する薬剤

  • インジナビル硫酸塩エタノール付加物
  • アタザナビル硫酸塩
  • キヌプリスチン・ダルホプリスチン

本剤の血中濃度が上昇し、副作用を増強するおそれがある。

相手薬剤によるチトクロームP450(CYP3A4)に対する競合的阻害作用により、本剤の血中濃度を上昇させる。

*CYP3Aを阻害する薬剤

  • イトラコナゾール
  • ミコナゾール

本剤の血中濃度を上昇させることがある。

相手薬剤のチトクロームP450(CYP3A4)の阻害作用により、本剤の代謝が阻害され、血中濃度を上昇させる。

*CYP3Aで代謝される薬剤

  • *レンボレキサント
  • *スボレキサント
  • *エベロリムス
  • *シロリムス
  • *イブルチニブ等

*相手薬剤の血中濃度が上昇することがある。異常が認められた場合には、適切な処置を行うこと。

*本剤によるチトクロームP450(CYP3A)に対する阻害作用により、相手薬剤の血中濃度を上昇させる。

*CYP3Aで代謝される薬剤

  • アプリンジン塩酸塩

アプリンジンの血中濃度が上昇することがある。異常が認められた場合には、アプリンジンを減量又は中止するなど適切な処置を行うこと。

本剤によるチトクロームP450(CYP3A4)に対する競合的阻害作用により、相手薬剤の血中濃度を上昇させる。

*CYP3Aで代謝される薬剤

  • カルバマゼピン

カルバマゼピンの血中濃度が上昇し、中毒症状(めまい、頭痛等)があらわれることがある。カルバマゼピンの血中濃度に注意し、異常が認められた場合には、適切な処置を行うこと。

本剤によるチトクロームP450(CYP3A4)に対する競合的阻害作用により、相手薬剤の血中濃度を上昇させる。

*CYP3Aで代謝される薬剤

  • ミダゾラム

ミダゾラムの血中濃度が上昇することがある。異常が認められた場合には、適切な処置を行うこと。

本剤によるチトクロームP450(CYP3A4)に対する競合的阻害作用により、相手薬剤の血中濃度を上昇させる。

*CYP3Aで代謝される薬剤

  • セレギリン塩酸塩

セレギリンの作用を増強し、毒性が大幅に増強する可能性がある。

本剤によるチトクロームP450(CYP3A4)に対する競合的阻害作用により、相手薬剤の血中濃度を上昇させる。

*CYP3Aで代謝される薬剤

  • シクロスポリン

シクロスポリンの血中濃度が上昇することがある。シクロスポリンの血中濃度に注意し、異常が認められた場合には、シクロスポリンを減量又は中止すること。

本剤によるチトクロームP450(CYP3A4)に対する競合的阻害作用により、相手薬剤の血中濃度を上昇させる。

*CYP3Aで代謝される薬剤

  • パクリタキセル

パクリタキセルの血中濃度が上昇することがある。異常が認められた場合には、パクリタキセルを減量、投与間隔を延長又は中止するなど適切な処置を行うこと。

本剤によるチトクロームP450(CYP3A4)に対する競合的阻害作用により、相手薬剤の血中濃度を上昇させる。

*CYP3Aで代謝される薬剤

  • ビノレルビン酒石酸塩

ビノレルビンの血中濃度が上昇することがある。

本剤によるチトクロームP450(CYP3A4)に対する競合的阻害作用により、相手薬剤の血中濃度を上昇させる。

*CYP3Aで代謝される薬剤

  • ゲフィチニブ

ゲフィチニブの血中濃度が上昇し、副作用を増強するおそれがある。

本剤によるチトクロームP450(CYP3A4)に対する競合的阻害作用により、相手薬剤の血中濃度を上昇させる。

*CYP3Aで代謝される薬剤

  • エレトリプタン臭化水素酸塩

エレトリプタンの血中濃度が上昇することがある。

本剤によるチトクロームP450(CYP3A4)に対する競合的阻害作用により、相手薬剤の血中濃度を上昇させる。

*CYP3Aを誘導する薬剤

  • リファンピシン
  • フェニトイン
  • *フェノバルビタール等

本剤の作用が減弱することがある。

相手薬剤のチトクロームP450(CYP3A4)の誘導作用により、本剤の血中濃度を低下させる。

テオフィリン
アミノフィリン水和物
コリンテオフィリン

テオフィリンの血中濃度が上昇することがある。テオフィリンの血中濃度に注意し、異常が認められた場合には、テオフィリン製剤を減量又は中止するなど適切な処置を行うこと。

本剤による肝薬物代謝酵素阻害作用により、テオフィリンのクリアランスが低下するため、テオフィリンの血中濃度を上昇させる。

ダントロレンナトリウム

高カリウム血症や心機能低下が生じることがある。

機序は不明である。

グレープフルーツジュース

本剤の血中濃度を上昇させることがある。異常が認められた場合には、本剤を減量するなど適切な処置を行うこと。また、グレープフルーツジュースとの同時服用をしないよう注意すること。

グレープフルーツジュースに含まれる成分のチトクロームP450(CYP3A4)の阻害作用により、本剤の血中濃度を上昇させる。

11. 副作用

次の副作用があらわれることがあるので、観察を十分に行い、異常が認められた場合には投与を中止するなど適切な処置を行うこと。

11.1 重大な副作用

  1. 11.1.1 循環器障害(頻度不明)

    心不全、洞停止、房室ブロック、徐脈、意識消失があらわれることがある。

  2. 11.1.2 皮膚障害(頻度不明)

    皮膚粘膜眼症候群(Stevens-Johnson症候群)、多形滲出性紅斑、乾癬型皮疹等の重篤な皮膚障害があらわれることがある。観察を十分に行い、発熱、紅斑、瘙痒感、眼充血、口内炎等の症状があらわれた場合には投与を中止し、適切な処置を行うこと。

11.2 その他の副作用

0.1~5%未満

0.1%未満

頻度不明

循環器

房室伝導時間の延長、頭痛、めまい、血圧低下

過敏症

発疹

消化器

便秘、悪心・嘔吐

食欲不振

口腔

歯肉肥厚

肝臓

AST、ALTの上昇等

内分泌

血中プロラクチンの上昇、男性における血中黄体形成ホルモン・血中テストステロンの低下、女性型乳房

その他

浮腫

13. 過量投与

  1. 13.1 徴候・症状

    ショック、著明な血圧低下、心不全の悪化、完全房室ブロック等が認められたとの報告がある。

  2. 13.2 処置
    1. 13.2.1 ショックや心不全の悪化の場合

      投与を中止し、昇圧剤、強心薬、輸液等の投与やIABP等の補助循環の適用を考慮すること。

    2. 13.2.2 心停止や完全房室ブロックの場合

      投与を中止し、アトロピン硫酸塩水和物、イソプレナリン等の投与や心臓ペーシングの適用を考慮すること。

14. 適用上の注意

14.1 薬剤交付時の注意

PTP包装の薬剤はPTPシートから取り出して服用するよう指導すること。PTPシートの誤飲により、硬い鋭角部が食道粘膜へ刺入し、更には穿孔をおこして縦隔洞炎等の重篤な合併症を併発することがある。

15. その他の注意

15.1 臨床使用に基づく情報

因果関係が明らかではないが、外国において本薬投与中に心筋梗塞や狭心症があらわれたとの報告がある。

16. 薬物動態

16.1 血中濃度

ベラパミル塩酸塩80mgを健康成人男子10名に単回経口投与した場合、tmaxは2.2時間で以後比較的速やかに減少した。なお、投与後24時間までの血漿中濃度曲線下面積(AUC)は450.9ng・hr/mLであった1)

ベラパミル塩酸塩80mgの単回経口投与時の薬物動態パラメータ

tmax
(hr)

Cmax
(ng/mL)

AUC0-24
(ng・hr/mL)

2.2±0.2

86.2±8.1

450.9±37.3

(Mean±S.E., n=10)

16.4 代謝

ベラパミルの代謝酵素は主にCYP3A4であり、主要代謝物はN-脱メチル化されたノルベラパミルである2)

17. 臨床成績

17.1 有効性及び安全性に関する試験

労作及び安静時狭心症や陳旧性心筋梗塞等の虚血性心疾患に対する有効性が一般臨床試験において確認された。
ベラパミル塩酸塩は、虚血性心疾患に伴う狭心痛を改善し、狭心発作回数や硝酸剤舌下消費量を減少させるとともに、安静時心電図や負荷心電図の改善効果を示した3),4),5)

18. 薬効薬理

18.1 作用機序

ベラパミル塩酸塩の作用機序は、細胞外液Ca++の細胞内流入阻止に基づくCa++拮抗作用である6)

18.2 末梢血管抵抗を下げ、心仕事量を軽減する

ベラパミル塩酸塩を虚血性心疾患患者に経口投与した場合、血圧を緩徐に降下させ、心拍数も軽度に減少させる。その結果、心仕事量が軽減し、心筋酸素消費量も抑制される3)

18.3 冠状動脈や末梢血管を拡張する

イヌ摘出心筋や麻酔イヌを用いた実験において、冠状動脈を含む血管平滑筋の興奮-収縮連関を抑制し、冠血流量を増加し、末梢血管抵抗を減少する7),8)

18.4 心筋保護作用を示す

虚血、高血圧、過剰の細胞内遊離Ca++の存在、過剰のカテコールアミンによって惹起される心筋細胞内ATPの欠乏に基づく心筋の変性に対し、ベラパミル塩酸塩はこれら種々の心筋変性誘発因子に拮抗して心筋変性を抑制し、心筋を保護することがラットやウサギで確認されている9)

18.5 Ca++流入を抑え、抗不整脈作用を示す

モルモット及びウサギの摘出心筋を用いた実験において、slow channelを通るCa++の流入を抑制することが確認されている。また、麻酔イヌを用いた実験で、特に房室結節に作用して房室伝導系の有効不応期、機能的不応期を延長させ、房室伝導を遅延させる10),11),12)

18.6 ノルアドレナリンや電気刺激による実験的不整脈を抑制する

  1. 18.6.1 イヌ摘出心筋を用いた実験において、ノルアドレナリンの房室結節への局所投与によって誘発される上室性頻拍を消失又は著明に軽減する13)
  2. 18.6.2 麻酔イヌを用いた実験において、電気刺激によって誘発された心房細動時の心室レートを減少させる12)

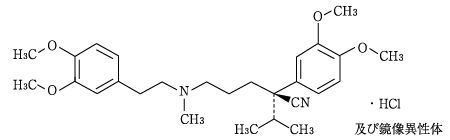
19. 有効成分に関する理化学的知見

一般的名称

ベラパミル塩酸塩(Verapamil Hydrochloride)

化学名

(2RS)-5-[(3,4-Dimethoxyphenethyl)methylamino]-2-(3,4-dimethoxyphenyl)-2-(1-methylethyl)pentanenitrile monohydrochloride

分子式

C27H38N2O4・HCl

分子量

491.06

性状

白色の結晶性の粉末である。メタノール又は酢酸(100)に溶けやすく、エタノール(95)又は無水酢酸にやや溶けやすく、水にやや溶けにくい。

化学構造式

融点

141~145℃

20. 取扱い上の注意

外箱開封後は、遮光して保存すること。本剤は光により変色することがある。

22. 包装

100錠[10錠(PTP)×10]、1,000錠[10錠(PTP)×100]

24. 文献請求先及び問い合わせ先

日医工株式会社 お客様サポートセンター

〒930-8583 富山市総曲輪1丁目6番21

TEL(0120)517-215
FAX(076)442-8948

26. 製造販売業者等

26.1 製造販売元

日医工岐阜工場株式会社

富山市総曲輪1丁目6番21

26.2 **販売元

日医工株式会社

富山市総曲輪1丁目6番21

〒100-0013 東京都千代田区霞が関3-3-2 新霞が関ビル

画面を閉じる

Copyright © Pharmaceuticals and Medical Devices Agency, All Rights reserved.