医療用医薬品 詳細表示

スクラルファート内用液10%「NIG」

処方せん医薬品以外の医薬品

添付文書番号
企業コード
作成又は改訂年月
日本標準商品分類番号
薬効分類名
承認等
一般的名称
2.禁忌(次の患者には投与しないこと)
3.組成・性状
3.1組成
3.2製剤の性状
4.効能又は効果
6.用法及び用量
9.特定の背景を有する患者に関する注意
9.1合併症・既往歴等のある患者
9.2腎機能障害患者
9.5妊婦
9.6授乳婦
9.7小児等
9.8高齢者
10.相互作用
10.2併用注意(併用に注意すること)
11.副作用
11.2その他の副作用
15.その他の注意
15.1臨床使用に基づく情報
17.臨床成績
17.1有効性及び安全性に関する試験
18.薬効薬理
18.1作用機序
18.2胃液ペプシン活性抑制作用
18.3制酸作用
18.4再生粘膜の発育促進及び血管増生
18.5抗潰瘍及び潰瘍治癒効果
18.6胃炎モデルへの効果
19.有効成分に関する理化学的知見
22.包装
23.主要文献
24.文献請求先及び問い合わせ先
26.製造販売業者等

スクラルファート内用液10%「NIG」

添付文書番号

2329008S1130_1_03

企業コード

581120

作成又は改訂年月

2024年3月改訂(第1版)

日本標準商品分類番号

872329

薬効分類名

胃炎・消化性潰瘍治療剤

承認等

スクラルファート内用液10%「NIG」

販売名コード

YJコード

2329008S1130

販売名英語表記

Sucralfate Oral Solution

承認番号等

承認番号

30300AMX00326

販売開始年月

2021年12月

貯法・有効期間

貯法

室温保存

有効期間

36箇月

一般的名称

スクラルファート水和物液

2. 禁忌(次の患者には投与しないこと)

透析療法を受けている患者

3. 組成・性状

3.1 組成

スクラルファート内用液10%「NIG」

有効成分10mL中:
スクラルファート水和物
(ショ糖硫酸エステルアルミニウム塩)   1g
添加剤ヒドロキシプロピルスターチ、サッカリンナトリウム水和物、パラオキシ安息香酸ブチル、パラオキシ安息香酸プロピル、エタノール、グリセリン、香料

3.2 製剤の性状

スクラルファート内用液10%「NIG」

色・剤形白色の懸濁液

4. 効能又は効果

○胃・十二指腸潰瘍

○下記疾患の胃粘膜病変(びらん、出血、発赤、浮腫)の改善
急性胃炎、慢性胃炎の急性増悪期

6. 用法及び用量

通常、成人1回10mLを1日3回経口投与する。

なお、年齢、症状により適宜増減する。

9. 特定の背景を有する患者に関する注意

9.1 合併症・既往歴等のある患者

  1. 9.1.1 リン酸塩の欠乏している患者

    アルミニウムは消化管内でリン酸塩と結合し、その吸収を阻害する。

9.2 腎機能障害患者

  1. 9.2.1 透析療法を受けている患者

    投与しないこと。長期投与によりアルミニウム脳症、アルミニウム骨症、貧血等があらわれることがある。

  2. 9.2.2 腎障害のある患者

    長期投与によりアルミニウム脳症、アルミニウム骨症、貧血等があらわれるおそれがあるので、定期的に血中アルミニウム、リン、カルシウム、アルカリフォスファターゼ等の測定を行うこと。

9.5 妊婦

治療上の有益性が危険性を上回ると判断される場合にのみ投与すること。

9.6 授乳婦

治療上の有益性及び母乳栄養の有益性を考慮し、授乳の継続又は中止を検討すること。

9.7 小児等

小児等を対象とした臨床試験は実施していない。

9.8 高齢者

用量に注意すること。一般に生理機能が低下している。

10. 相互作用

    10.2 併用注意(併用に注意すること)

    薬剤名等臨床症状・措置方法機序・危険因子

    クエン酸製剤
     クエン酸カリウム、クエン酸ナトリウム水和物 等

    血中アルミニウム濃度が上昇することがあるので、同時に服用させないなど注意すること。

    キレートを形成し、アルミニウムの吸収が促進されると考えられる。

    血清カリウム抑制イオン交換樹脂
     ポリスチレンスルホン酸カルシウム、ポリスチレンスルホン酸ナトリウム

    血清カリウム抑制イオン交換樹脂の効果が減弱するおそれがある。

    アルミニウムイオンと非選択的に交換すると考えられる。

    ニューキノロン系抗菌剤
     ノルフロキサシン、塩酸シプロフロキサシン 等

    同時に服用することにより、これら併用薬剤の吸収を遅延又は阻害するおそれがある。この相互作用は併用薬を本剤の2時間以上前に服用することにより、弱まるとの報告がある。

    アルミニウムイオンと併用薬剤が不溶性のキレートを形成し、消化管からの吸収を遅延又は阻害する。

    ジギタリス製剤
     ジゴキシン 等
    フェニトイン
    テトラサイクリン系抗生物質
    スルピリド 等

    同時に服用することにより、これら併用薬剤の吸収を遅延又は阻害するおそれがある。この作用は薬剤の服用時間をずらすことにより、弱まるとの報告がある。

    本剤が併用薬剤を吸着し、消化管からの吸収を遅延又は阻害する。

    甲状腺ホルモン剤
     レボチロキシンナトリウム水和物 等

    同時に服用することにより、これら併用薬剤の吸収を遅延又は阻害することがある。これらの作用は薬剤の服用時間をずらすことにより、弱まると考えられる。

    消化管内で本剤と吸着することにより、これらの薬剤の吸収が阻害される。

    胆汁酸製剤
     ウルソデオキシコール酸、ケノデオキシコール酸

    同時に服用することにより、これら併用薬剤の吸収を遅延又は阻害することがある。これらの作用は薬剤の服用時間をずらすことにより、弱まると考えられる。

    消化管内で本剤と吸着することにより、これらの薬剤の吸収が阻害される。

    テオフィリン徐放性製剤

    同時に服用することにより、テオフィリン徐放性製剤のAUCが低下するおそれがある。

    本剤がテオフィリン徐放性製剤の吸収を阻害するとの報告がある。

    キニジン 等

    制酸剤(乾燥水酸化アルミニウムゲル等)の投与により、併用薬剤の排泄が遅延することが知られている。

    制酸剤による尿のpH上昇による。

    11. 副作用

    次の副作用があらわれることがあるため、観察を十分に行い、異常が認められた場合には、減量・休薬又は中止など適切な処置を行うこと。

    11.2 その他の副作用

    0.1~5%未満

    頻度不明

    消化器

    便秘、嘔気

    口渇、悪心等

    皮膚

    発疹、蕁麻疹等

    過敏症

    アナフィラキシー反応

    注:長期投与によりアルミニウム脳症、アルミニウム骨症、貧血等があらわれるおそれがある。

    15. その他の注意

    15.1 臨床使用に基づく情報

    経管栄養処置を受けている成人患者、低出生体重児及び新生児発育不全において、胃石・食道結石がみられたとの報告があるので、観察を十分に行い、これらが疑われた場合には本剤の投与を中止し、適切な処置を行うこと。

    17. 臨床成績

    17.1 有効性及び安全性に関する試験

    国内のべ58施設、250例で実施した胃潰瘍1)、十二指腸潰瘍2)及び急性胃炎・慢性胃炎の急性増悪期3)の一般臨床試験成績は次の通りである。

    対象

    胃潰瘍

    十二指腸潰瘍

    急性胃炎・慢性胃炎
    の急性増悪期

    施設数・総症例数

    23施設・75例

    16施設・70例

    19施設・105例

    自他覚症状改善例数

    中等度改善以上(%)

    62/62例

    (100)

    60/62例

    (96.8)

    86/92例

    (93.5)

    内視鏡改善例数

    治癒a)又は中等度
    改善以上b)(%)

    50/64例

    (78.1)a)

    46/63例

    (73.0)a)

    78/92例

    (84.8)b)

    有効例数

    有効以上(%)

    59/64例

    (92.2)

    56/63例

    (88.9)

    79/93例

    (84.9)

    18. 薬効薬理

    18.1 作用機序

    ラット酢酸胃潰瘍及び十二指腸潰瘍実験において経口投与した14C-スクラルファート水和物は、正常胃粘膜部位に比較して胃及び十二指腸潰瘍部位に選択的に結合し、かつ保護層を形成することによって治癒を促進させた4)。同様に、エタノール及びアスピリン胃炎ラットにおいても14C-スクラルファート水和物の胃炎病巣への選択的結合・付着が確かめられた5)。消化性潰瘍及び胃炎患者に本剤を経口投与した際にも、本剤が潰瘍部位ないし胃炎病巣へ強固に結合していることが確認されており、本剤は炎症部位ないし潰瘍底の白苔中の蛋白成分と強力に結合し、保護層を形成することによって胃液の消化力から病変部を化学的に保護し、治癒を促進するものと考えられる6),7),8)

    18.2 胃液ペプシン活性抑制作用

    ラットの実験により、攻撃因子である胃液中のペプシン活性を抑制することが認められている9),10),11),12)

    18.3 制酸作用

    ラットの実験により、制酸作用を有することが認められている11),12)

    18.4 再生粘膜の発育促進及び血管増生

    ラットのクランピング コルチゾン潰瘍実験の結果、再生粘膜の発育や血管増生が認められ、潰瘍の治癒が促進された13),14)

    18.5 抗潰瘍及び潰瘍治癒効果

    モルモットあるいはラットのストレス、ヒスタミン、ステロイド、レセルピン、アスピリン等の実験潰瘍において抗潰瘍効果が、またクランピング コルチゾン潰瘍、焼灼潰瘍、酢酸潰瘍等の実験潰瘍において潰瘍治癒効果が認められている9),10),11),14),15),16),17),18)

    18.6 胃炎モデルへの効果

    本剤の前投与により、ラットのアスピリン及びエタノール胃炎の発生を有意に抑制した19)。また、タウロコール酸による実験びらん性胃炎に対する治療効果が認められている20)

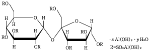
    19. 有効成分に関する理化学的知見

    一般的名称

    スクラルファート水和物(Sucralfate Hydrate)

    化学名

    Basic aluminum sucrose sulfate

    分子式

    C12H30Al8O51S8xAl(OH)3yH2O

    性状

    白色の粉末で、におい及び味はない。水、熱湯、エタノール(95)又はジエチルエーテルにほとんど溶けない。希塩酸又は硫酸・水酸化ナトリウム試液に溶ける。

    化学構造式

    22. 包装

    10mL分包×210

    24. 文献請求先及び問い合わせ先

    日医工株式会社 お客様サポートセンター

    〒930-8583 富山市総曲輪1丁目6番21

    TEL(0120)517-215
    FAX(076)442-8948

    26. 製造販売業者等

    26.1 製造販売元

    日医工岐阜工場株式会社

    富山市総曲輪1丁目6番21

    26.2 発売元

    日医工株式会社

    富山市総曲輪1丁目6番21

    26.3 販売

    武田薬品工業株式会社

    大阪市中央区道修町四丁目1番1号

    〒100-0013 東京都千代田区霞が関3-3-2 新霞が関ビル

    画面を閉じる

    Copyright © Pharmaceuticals and Medical Devices Agency, All Rights reserved.