医療用医薬品 詳細表示

ラクツロースシロップ65%「NIG」

処方せん医薬品以外の医薬品

添付文書番号
企業コード
作成又は改訂年月
日本標準商品分類番号
薬効分類名
承認等
一般的名称
2.禁忌(次の患者には投与しないこと)
3.組成・性状
3.1組成
3.2製剤の性状
4.効能又は効果
6.用法及び用量
9.特定の背景を有する患者に関する注意
9.1合併症・既往歴等のある患者
9.5妊婦
9.8高齢者
10.相互作用
10.2併用注意(併用に注意すること)
11.副作用
11.2その他の副作用
16.薬物動態
16.1血中濃度
16.2吸収
16.5排泄
17.臨床成績
17.1有効性及び安全性に関する試験
18.薬効薬理
18.1作用機序
19.有効成分に関する理化学的知見
20.取扱い上の注意
22.包装
23.主要文献
24.文献請求先及び問い合わせ先
26.製造販売業者等

ラクツロースシロップ65%「NIG」

添付文書番号

3999001Q2104_1_02

企業コード

581120

作成又は改訂年月

2024年1月改訂(第1版)

日本標準商品分類番号

872359
873999

薬効分類名

生理的腸管機能改善・高アンモニア血症用剤

承認等

ラクツロースシロップ65%「NIG」

販売名コード

YJコード

3999001Q2104

販売名英語表記

Lactulose Syrup

販売名ひらがな

らくつろーすしろっぷ65%「NIG」

承認番号等

承認番号

23100AMX00083

販売開始年月

1994年7月

貯法・有効期間

貯法

室温保存

有効期間

3年

一般的名称

ラクツロースシロップ

2. 禁忌(次の患者には投与しないこと)

ガラクトース血症の患者[本剤はラクツロースのほか、ガラクトース(11%以下)及び乳糖(6%以下)を含有する。]

3. 組成・性状

3.1 組成

ラクツロースシロップ65%「NIG」

有効成分1mL中:ラクツロース   650mg
(日局ラクツロースとして   0.91mL )

3.2 製剤の性状

ラクツロースシロップ65%「NIG」

色・性状無色〜黄褐色の濃稠な液

4. 効能又は効果

  • 高アンモニア血症に伴う下記症候の改善
    精神神経障害、手指振戦、脳波異常
  • 産婦人科術後の排ガス・排便の促進
  • 小児における便秘の改善

6. 用法及び用量

  • 〈高アンモニア血症に伴う症候の改善及び産婦人科術後の排ガス・排便の促進〉

    通常、成人1日量30~60mLを高アンモニア血症の場合3回、産婦人科術後の排ガス・排便の目的には朝夕2回に分けて経口投与する。
    年齢、症状により適宜増減する。

  • 〈小児における便秘の改善〉

    小児便秘症の場合、通常1日0.5~2mL/kgを3回に分けて経口投与する。
    投与量は便性状により適宜増減する。

9. 特定の背景を有する患者に関する注意

9.1 合併症・既往歴等のある患者

  1. 9.1.1 糖尿病の患者

    本剤はラクツロースのほか、ガラクトース(11%以下)及び乳糖(6%以下)を含有する。

9.5 妊婦

妊婦又は妊娠している可能性のある女性には、治療上の有益性が危険性を上回ると判断される場合にのみ投与すること。

9.8 高齢者

少量から投与を開始するなど患者の状態を観察しながら、慎重に投与すること。一般に生理機能が低下していることが多い。

10. 相互作用

    10.2 併用注意(併用に注意すること)

    薬剤名等臨床症状・措置方法機序・危険因子

    α-グルコシダーゼ阻害剤(アカルボース、ボグリボース、ミグリトール)

    消化器系副作用が増強される可能性がある。

    α-グルコシダーゼ阻害剤により増加する未消化多糖類及びラクツロースは、共に腸内細菌で分解されるため、併用により腸内ガスの発生や下痢等が増加する可能性がある。

    11. 副作用

    次の副作用があらわれることがあるので、観察を十分に行い、異常が認められた場合には投与を中止するなど適切な処置を行うこと。

    11.2 その他の副作用

    5%以上

    0.1 ~5%未満

    消化器

    下痢注2)

    悪心、嘔吐、腹痛、腹鳴、鼓腸、食欲不振等

    注1)発現頻度は副作用頻度報告を含む。
    注2)水様便が惹起された場合には減量するか、又は投与を中止すること。

    16. 薬物動態

    16.1 血中濃度

    健康成人5例に30mL(ラクツロースとして19.5g)を経口投与した結果、吸収されたラクツロースは4時間で最高血中濃度(平均56.8μg/mL)となり、12時間後の血中にはほとんど検出されなかった1)
    また、7~10歳の健康小児4例に0.5mL/kg(ラクツロースとして325mg/kg)を経口投与した結果、吸収されたラクツロースは4時間で最高血中濃度(平均85.5μg/mL)となった2)

    16.2 吸収

    健康成人5例に30mL(ラクツロースとして19.5g)を経口投与した結果、ラクツロースの吸収は極めて微量であった1)
    また、7~10歳の健康小児4例に0.5mL/kg(ラクツロースとして325mg/kg)を経口投与した結果、成人の場合と同様ラクツロースとしての吸収は極めて微量であった2)

    16.5 排泄

    健康成人5例に30mL(ラクツロースとして19.5g)を経口投与した結果、尿中排泄は0~4時間で最高(93.0±30.6mg/4hr)となり、12時間で投与量の0.65%が未変化のまま排泄された1)
    また、7~10歳の健康小児4例に0.5mL/kg(ラクツロースとして325mg/kg)を経口投与した結果、尿中排泄は0~4時間で最高(50.9±26.2mg/4hr)となり、12時間で投与量の1.01%が未変化のまま排泄された2)

    17. 臨床成績

    17.1 有効性及び安全性に関する試験

    • 〈高アンモニア血症に伴う精神神経障害、手指振戦、脳波異常の改善〉
      1. 17.1.1 国内臨床試験

        肝性脳症患者を対象としたcross over二重盲検試験において有用性が認められた3)

      2. 17.1.2 国内臨床試験

        肝性脳症及び高アンモニア血症患者を対象としたcross over二重盲検試験において有用性が認められた4)

    • 〈産婦人科術後の排ガス・排便の促進〉
      1. 17.1.3 国内臨床試験

        産婦人科術後の排ガス・排便の促進効果についての二重盲検試験において、有用性が認められた5)

    • 〈小児における便秘の改善〉
      1. 17.1.4 国内臨床試験

        小児便秘症に対しての二重盲検試験で、有用性が認められた6)

    18. 薬効薬理

    18.1 作用機序

    1. 18.1.1 ヒト消化管粘膜にはラクツロースを単糖類に分解する酵素がないので、経口投与されたラクツロースの大部分は消化吸収されることなく下部消化管に達し、細菌による分解をうけて有機酸(乳酸、酢酸等)を生成しpHを低下させた。その結果、pH値酸性側で十分生育できるLactobacillusは増加し、Bacteroides、E. coli等は減少した7),8)
    2. 18.1.2 下部消化管に達したラクツロースは、その浸透圧作用により緩下作用を発揮するが、さらにウサギ腸管を用いた実験によりラクツロースの分解により生成した有機酸が腸管運動を亢進させることが示された9)
    3. 18.1.3 ヒト腸管ではpHが高いほどアンモニアの腸管吸収率の高いことが認められているが、ラクツロースの分解によって生成した有機酸により腸管内pHが低下するため、腸管でのアンモニア産生及びアンモニアの腸管吸収が抑制され、血中のアンモニアが低下した10),11)
    4. 18.1.4 ヒトの高アンモニア血症等の肝障害に対しては、多くの場合食事性蛋白の制限を必要とするがラクツロースの経口投与により蛋白摂取の増量が可能となり、血清アルブミン値の改善が認められた12)

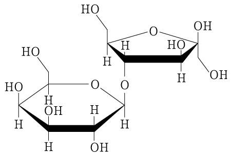
    19. 有効成分に関する理化学的知見

    一般的名称

    ラクツロース(Lactulose)

    化学名

    β-D-Galactopyranosyl-(1→4)-D-fructose

    分子式

    C12H22O11

    分子量

    342.30

    性状

    無色~淡黄色澄明の粘性の液で、においはなく、味は甘い。水又はホルムアミドと混和する。

    化学構造式

    20. 取扱い上の注意

    1. 20.1 着色が進むことがあるので、高温を避けて保存すること。
    2. 20.2 開封後、長期間使用する場合は冷所に保存すること。
    3. 20.3 冷所保存により結晶(乳糖)が析出することがあるが、使用上さしつかえない。

    22. 包装

    500mL(ガラス瓶)

    24. 文献請求先及び問い合わせ先

    日医工株式会社 お客様サポートセンター

    〒930-8583 富山市総曲輪1丁目6番21

    TEL(0120)517-215
    FAX(076)442-8948

    26. 製造販売業者等

    26.1 製造販売元

    日医工岐阜工場株式会社

    富山市総曲輪1丁目6番21

    26.2 発売元

    日医工株式会社

    富山市総曲輪1丁目6番21

    26.3 販売

    武田薬品工業株式会社

    大阪市中央区道修町四丁目1番1号

    〒100-0013 東京都千代田区霞が関3-3-2 新霞が関ビル

    画面を閉じる

    Copyright © Pharmaceuticals and Medical Devices Agency, All Rights reserved.