医療用医薬品 詳細表示

エキセメスタン錠25mg「NIG」

処方せん医薬品

添付文書番号
企業コード
作成又は改訂年月
日本標準商品分類番号
薬効分類名
承認等
一般的名称
2.禁忌(次の患者には投与しないこと)
3.組成・性状
3.1組成
3.2製剤の性状
4.効能又は効果
6.用法及び用量
8.重要な基本的注意
9.特定の背景を有する患者に関する注意
9.2腎機能障害患者
9.3肝機能障害患者
9.5妊婦
9.6授乳婦
10.相互作用
10.2併用注意(併用に注意すること)
11.副作用
11.1重大な副作用
11.2その他の副作用
14.適用上の注意
15.その他の注意
15.2非臨床試験に基づく情報
16.薬物動態
16.1血中濃度
16.2吸収
16.3分布
16.4代謝
16.5排泄
16.6特定の背景を有する患者
17.臨床成績
17.1有効性及び安全性に関する試験
18.薬効薬理
18.1作用機序
18.2抗腫瘍効果
18.3エストロゲン抑制作用
19.有効成分に関する理化学的知見
22.包装
23.主要文献
24.文献請求先及び問い合わせ先
26.製造販売業者等

エキセメスタン錠25mg「NIG」

添付文書番号

4291012F1073_1_04

企業コード

581120

作成又は改訂年月

2026年2月改訂(第2版)
2024年3月改訂(第1版)

日本標準商品分類番号

874291

薬効分類名

アロマターゼ阻害剤/閉経後乳癌治療剤

承認等

エキセメスタン錠25mg「NIG」

販売名コード

YJコード

4291012F1073

販売名英語表記

Exemestane Tablets

販売名ひらがな

えきせめすたんじょう25mg「NIG」

承認番号等

承認番号

22400AMX00594

販売開始年月

2012年6月

貯法・有効期間

貯法

室温保存

有効期間

3年

一般的名称

エキセメスタン錠

2. 禁忌(次の患者には投与しないこと)

  1. 2.1 妊婦又は妊娠している可能性のある女性
  2. 2.2 授乳婦
  3. 2.3 本剤の成分に対し過敏症の既往歴のある患者

3. 組成・性状

3.1 組成

エキセメスタン錠25mg「NIG」

有効成分1錠中:エキセメスタン   25.000mg
添加剤クロスポビドン、軽質無水ケイ酸、結晶セルロース、コポビドン、酸化チタン、ステアリン酸マグネシウム、デンプングリコール酸ナトリウム、ヒプロメロース、マクロゴール400、D-マンニトール

3.2 製剤の性状

エキセメスタン錠25mg「NIG」

外形表面
裏面
側面
大きさ直径6.0mm
厚さ4.2mm
質量103mg
識別コードt EX
色・剤形白色〜微灰白色のフィルムコーティング錠

4. 効能又は効果

閉経後乳癌

6. 用法及び用量

通常、成人にはエキセメスタンとして1日1回25mgを食後に経口投与する。

8. 重要な基本的注意

  1. 8.1 本剤はホルモン療法剤であり、がんに対する薬物療法について十分な知識・経験を持つ医師のもとで、本剤による治療が適切と判断される患者についてのみ使用すること。
  2. 8.2 本剤は末梢アロマターゼを阻害することにより治療効果を発揮するものであり、活発な卵巣機能を有する閉経前の患者ではアロマターゼを阻害する効果は不十分であると予想されること、並びに閉経前の患者では使用経験がないことを考慮して、閉経前患者に対し使用しないこと。
  3. 8.3 本剤の投与によって、骨粗鬆症、骨折が起こりやすくなるので、骨密度等の骨状態を定期的に観察することが望ましい。
  4. 8.4 本剤の使用による嗜眠、傾眠、無力(症)及びめまいが報告されており、このような症状がある場合、機械操作や自動車の運転はさせないよう十分注意すること。

9. 特定の背景を有する患者に関する注意

9.2 腎機能障害患者

  1. 9.2.1 重度の腎障害のある患者

    本剤の重度の腎障害患者における長期安全性を指標とした臨床試験は実施していない。

9.3 肝機能障害患者

  1. 9.3.1 重度の肝障害のある患者

    本剤の重度の肝障害患者における長期安全性を指標とした臨床試験は実施していない。

9.5 妊婦

妊婦又は妊娠している可能性のある女性には投与しないこと。本剤は、閉経後の患者を対象とするため、妊婦に対する投与は想定されていないが、妊婦への投与の安全性については次の知見がある。動物実験(ラット)で、分娩障害、妊娠期間の延長、吸収胚数の増加及び生存胎児数の減少が認められている。また動物実験(ウサギ)で、流産、吸収胚数の増加及び胎児体重の低下が認められている。しかし両種による動物実験で、催奇形性は認められてはいない。本剤の妊婦又は妊娠している可能性のある女性における臨床使用経験はない。

9.6 授乳婦

投与しないこと。本剤は、閉経後の患者を対象とするため、授乳婦に対する投与は想定されていないが、授乳婦への投与の安全性については次の知見がある。動物実験(ラット)で乳汁中への移行が認められている。本剤の授乳中の女性における臨床使用経験はない。

10. 相互作用

    10.2 併用注意(併用に注意すること)

    薬剤名等臨床症状・措置方法機序・危険因子

    エストロゲン含有製剤

    本剤の効果を減弱させる可能性がある。

    本剤の薬理作用はエストロゲン合成阻害によるものであるため。

    11. 副作用

    次の副作用があらわれることがあるので、観察を十分に行い、異常が認められた場合には投与を中止するなど適切な処置を行うこと。

    11.1 重大な副作用

    1. 11.1.1 肝炎(頻度不明)、肝機能障害(頻度不明)、黄疸(頻度不明)

      肝炎、AST、ALT、Al-P、γ-GTP等の上昇を伴う肝機能障害、黄疸があらわれることがある。

    11.2 その他の副作用

    5%以上

    0.1~5%未満

    頻度不明

    精神神経系

    多汗、めまい

    しびれ(感)、頭痛、知覚障害、ふらつき(感)、不眠(症)、抑うつ、不安、手根管症候群

    傾眠

    消化器

    悪心

    食欲不振、腹痛、嘔吐、腸管閉塞、のどの通過障害感、胃もたれ感、心窩部痛(心窩部の疼痛)、下痢

    肝臓

    肝機能異常、Al-P上昇

    皮膚

    発疹、脱毛(症)、爪の変化

    蕁麻疹、そう痒症

    筋骨格系

    関節痛、筋骨格痛

    骨折、骨粗鬆症、弾発指、狭窄性腱鞘炎

    循環器

    高血圧

    動悸、低血圧

    呼吸器

    鼻出血、かぜ症候群、肺炎

    泌尿器

    膀胱炎、尿検査異常

    生殖器

    不正(子宮)出血、帯下

    その他

    ほてり、疲労

    疼痛、体重減少、倦怠(感)、体臭、浮腫、味覚異常、嗅覚障害

    過敏症

    14. 適用上の注意

    14.1 薬剤交付時の注意

    PTP包装の薬剤はPTPシートから取り出して服用するよう指導すること。PTPシートの誤飲により、硬い鋭角部が食道粘膜へ刺入し、更には穿孔をおこして縦隔洞炎等の重篤な合併症を併発することがある。

    15. その他の注意

    15.2 非臨床試験に基づく情報

    24ヵ月間のマウスがん原性試験において、中用量(150mg/kg/日)、高用量(450mg/kg/日)で雌雄において肝細胞腺腫及び肝細胞癌の発生率の上昇が認められた。また、雄の高用量群で腎腺腫の発生の上昇がみられた。これらの腫瘍はマウス特有なものである可能性が高くヒトにおける臨床的な安全性との関連は低いと考えられる。

    16. 薬物動態

    16.1 血中濃度

    1. 16.1.1 単回・反復投与

      日本人の閉経後進行乳癌患者にエキセメスタン25mgを1日1回反復投与したとき、tmaxは2.01±1.35時間、Cmaxは27.4±16.6ng/mL、AUCは115±76ng・h/mL、終末相のt1/2は20.2±11.7時間であった1)

      日本人の閉経後健康成人女性に単回及び反復経口投与(0.5~50mg)後のエキセメスタンのCmax及びAUCは用量比例的であった2),3)

    2. 16.1.2 生物学的同等性試験

      エキセメスタン錠25mg「NIG」とアロマシン錠25mgを、クロスオーバー法によりそれぞれ1錠(エキセメスタンとして25mg)閉経後健康成人女性に絶食単回経口投与して血漿中未変化体濃度を測定し、得られた薬物動態パラメータ(AUC、Cmax)について90%信頼区間法にて統計解析を行った結果、log(0.80)〜log(1.25)の範囲内であり、両剤の生物学的同等性が確認された4)

      薬物動態パラメータ

      投与量

      (mg)

      AUC0-72

      (ng・hr/mL)

      Cmax

      (ng/mL)

      Tmax

      (hr)

      T1/2

      (hr)

      エキセメスタン錠
      25mg「NIG」

      25

      69.458
      ±21.296

      27.913
      ±17.043

      1.13
      ±0.83

      16.4
      ±6.7

      アロマシン錠
      25mg

      25

      72.234
      ±21.956

      26.219
      ±14.062

      1.16
      ±0.93

      15.4
      ±6.8

      (平均±標準偏差、n=16)

      血漿中濃度並びにAUC、Cmax等のパラメータは、被験者の選択、体液の採取回数・時間等の試験条件によって異なる可能性がある。

    16.2 吸収

    1. 16.2.1 食事の影響

      エキセメスタン25mgを閉経後健康女性(欧米人)に朝食後投与した時、Cmax及びAUCの平均値は空腹投与時に比べそれぞれ25%及び39%上昇した5)

    16.3 分布

    1. 16.3.1 組織内濃度

      雌性ラットに14C-エキセメスタン1mg/kgを単回経口投与した後、放射能は組織中に広範囲に分布し、大部分の組織で投与後1あるいは6時間に最高放射能濃度を示した。肝臓、腎臓及び皮膚を除いた他の組織からの放射能の消失は速やかであった6)

    2. 16.3.2 胎児・胎盤移行性

      妊娠ラットに14C-エキセメスタンを経口投与した後の放射能は、胎盤を通過し胎児に分布した7)

    3. 16.3.3 蛋白結合率

      健康成人女性の血漿を用いたin vitroにおけるエキセメスタンの蛋白結合率は約96%であった。結合蛋白質はヒト血清アルブミン及びα1-酸性糖蛋白質と考えられた8)

    16.4 代謝

    エキセメスタンの主要代謝経路はCYP3A4による6位のメチレン基の酸化もしくはアルド-ケト還元酵素による17位のオキソの還元であり、その後加水分解又は抱合反応により代謝される9)
    CYP3A4阻害剤であるケトコナゾール(経口剤は国内未承認)との併用投与(欧米人閉経後健康女性対象)において、エキセメスタンの薬物動態に影響は認められず、CYP3A誘導剤であるリファンピシンとの併用投与(欧米人閉経後健康女性対象)において、エキセメスタンのCmax及びAUCは有意に低下したが、血漿中エストロゲン(エストロンスルフェート)濃度の低下率には変動は認められなかった10),11)

    16.5 排泄

    1. 16.5.1 14C標識したエキセメスタンを閉経後の外国人健康女性に投与後、168時間までの放射能の尿中及び糞中の累積排泄量はそれぞれ42±3%及び42±6%であった。尿中に未変化体として排泄された量は、投与量の1%未満であった12)
    2. 16.5.2 分娩後の哺育中ラットに14C-エキセメスタン1mg/kgを経口投与した後の乳汁中放射能濃度は投与後6時間で最高濃度を示した。同時に測定した血漿中濃度と比較すると、6時間以降では乳汁中濃度の方が高濃度を示すものの、同様な推移で減少した13)

    16.6 特定の背景を有する患者

    1. 16.6.1 腎機能障害患者における体内動態

      中等度又は重度の腎機能障害患者(欧米人の閉経後女性、クレアチニンクリアランス<60mL/min/1.73m2)にエキセメスタン25mgを単回経口投与した後のAUCは、欧米人の閉経後健康女性におけるAUCの約2~3倍であった14)

    2. 16.6.2 肝機能障害患者における体内動態

      中等度又は重度の肝機能障害患者(欧米人の閉経後女性、Child-Pugh分類でB又はC)にエキセメスタン25mgを単回経口投与した後のAUCは、欧米人の閉経後健康女性におけるAUCの約2~3倍であった14)

    17. 臨床成績

    17.1 有効性及び安全性に関する試験

    1. 17.1.1 国内臨床試験

      第Ⅰ相試験において、閉経後健康女性(単回14例、反復25例)を対象として、エキセメスタンの0.5~50mg/日までの用量における安全性及び薬力学的作用(血清中エストロゲン濃度抑制作用)を検討した結果、用量依存的な血清中エストロゲン濃度の低下が認められた。前期第Ⅱ相試験において、閉経後乳癌患者(10mg、25mg各36例)を対象として、エキセメスタンの有効性及び安全性を検討の上、臨床推奨用量の設定を試みた。奏効率において有意差はないものの25mgの方が10mgより優っていたことなどから、エキセメスタンの臨床推奨用量として25mg/日を選択した。ホルモン療法耐性例に対する25mg群の奏効率は26.1%(6/23)であった2),3),15)

    2. 17.1.2 ブリッジング試験

      後期第Ⅱ相試験において、抗エストロゲン剤耐性の閉経後乳癌患者33例を対象としてエキセメスタンの有効性及び安全性が検討された。なお、本試験は海外にて実施された同様の試験結果の再現性を確認することを目的として実施された16),17),18)

      実施国

      抗腫瘍効果

      日本

      米国等

      欧州等

      奏効率
      (奏効例/評価例)

      24.2%
      (8/33)

      28.1%
      (36/128)

      23.4%
      (32/137)

      長期NC注)を含む有効率
      (奏効例+長期NC例/評価例)

      39.4%
      (13/33)

      46.9%
      (60/128)

      47.4%
      (65/137)

      注)長期NC:24週以上のNC持続

    3. 17.1.3 海外臨床試験(第Ⅲ相試験)

      欧米19ヵ国が参加した多施設共同試験において、タモキシフェンに無効となった閉経後の進行乳癌に対するエキセメスタンの抗腫瘍効果及び安全性を、酢酸メゲストロール(160mg/日:国内未承認)を対照薬として検討した。抗腫瘍効果において、奏効率では群間に有意差は認められなかったものの、エキセメスタンの奏効率は15.0%(55/366)であり、酢酸メゲストロール群は12.4%(50/403)であった。長期NCを含む有効率はエキセメスタンで37.4%、酢酸メゲストロールで34.6%であった。さらにエキセメスタンの病勢進行までの期間、治療変更等までの期間及び生存期間は、酢酸メゲストロール群と比較し有意に延長した19)

    4. 17.1.4 海外比較試験(術後補助療法)

      海外で実施した多施設共同二重盲検比較試験において、再発リスクの低い乳癌又は腺管上皮内癌(147例)を、エキセメスタン投与群(73例)とプラセボ群(74例)に割り付け、骨密度(Bone Mineral Density)に与える影響及び有効性、安全性を検討した(投与期間:2年間、追跡期間最長:1年間)。投与2年後のエキセメスタン投与群の腰椎・大腿骨頸部における骨密度の年平均変化率はそれぞれ-2.17%、-2.72%であり、プラセボ群は-1.84%、-1.48%(p=0.568、p=0.024)であった。試験中に4例が再発し、1例はエキセメスタン投与群、3例がプラセボ群であった。また、HDL-コレステロールはエキセメスタン投与群(6-9%低下)は、プラセボ群(1-2%増加)に比較し、有意(p<0.01)に低下したが、他の脂質パラメータ及び凝固系パラメータでは両群間に差は認められなかった20)

    18. 薬効薬理

    18.1 作用機序

    1. 18.1.1 アロマターゼ阻害作用

      エキセメスタンはアンドロゲンをエストロゲンに変換する酵素であるアロマターゼを非可逆的に阻害することにより、血中エストロゲン濃度を抑制し、エストロゲン依存性の乳癌の増殖を阻害する21)

      1. (1) in vivo試験

        妊馬血清ゴナドトロピン刺激ラットにおいて、エキセメスタンの単回経口投与は卵巣アロマターゼ活性を用量依存的に減少させ、そのED50値は3.7mg/kgであった22)

      2. (2) in vitro試験

        エキセメスタンは、他のステロイド合成系酵素にはほとんど影響を与えることなく、アロマターゼを選択的に不活性化した23)

    18.2 抗腫瘍効果

    DMBA誘発ラット乳癌(閉経後モデル)に対しエキセメスタンを週6日、4週間経口投与した結果、1mg/kg/日以上の用量で腫瘍の増殖を有意に阻害した24)

    18.3 エストロゲン抑制作用

    1. 18.3.1 妊馬血清ゴナドトロピン刺激ラットにおいて、エキセメスタンの単回経口投与により血漿中エストラジオール濃度は用量依存的に低下し、そのED50値は3.8mg/kgであった25)
    2. 18.3.2 閉経後乳癌患者にエキセメスタン25mgを連日経口投与することにより、血漿又は血清中エストロゲン(エストラジオール、エストロン及びエストロンスルフェート)濃度は78~95%低下した16),17),18)

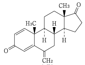
    19. 有効成分に関する理化学的知見

    一般的名称

    エキセメスタン(Exemestane)

    化学名

    (+)-6-Methyleneandrosta-1,4-diene-3,17-dione

    分子式

    C20H24O2

    分子量

    296.40

    性状

    白色~黄白色の粉末である。N,N-ジメチルホルムアミド及びテトラヒドロフランに溶けやすく、メタノール又はエタノール(95)にやや溶けやすく、アセトニトリルにやや溶けにくく、水にほとんど溶けない。

    化学構造式

    22. 包装

    28錠[14錠(PTP)×2]、140錠[14錠(PTP)×10]

    23. 主要文献

    1) 閉経後乳癌患者における薬物動態(アロマシン錠;2002年7月5日承認、申請資料概要ヘ.3.1.2)

    2) 三浦 重人ほか:癌と化学療法.2002;29(7):1179-1187

    3) 三浦 重人ほか:癌と化学療法.2002;29(7):1189-1197

    4) 社内資料:生物学的同等性試験

    5) 食事の影響(アロマシン錠;2002年7月5日承認、申請資料概要ヘ.3.2.1.ⅳ)

    6) 臓器・組織内濃度(単回投与)(アロマシン錠;2002年7月5日承認、申請資料概要ヘ.2.2.1.ⅰ)

    7) 胎盤・胎児への移行(アロマシン錠;2002年7月5日承認、申請資料概要ヘ.2.2.3)

    8) 蛋白結合率(アロマシン錠;2002年7月5日承認、申請資料概要ヘ.2.2.4)

    9) 代謝(アロマシン錠;2002年7月5日承認、申請資料概要ヘ.2.3)

    10) エキセメスタンの代謝とCYP3A4(アロマシン錠;2002年7月5日承認、申請資料概要ヘ.3.2.1.ⅵ)

    11) 薬物動態試験結果(CYP3A誘導剤の影響)(アロマシン錠;2002年7月5日承認、申請資料概要ヘ.4)

    12) 健康人における薬物動態(海外データ)(アロマシン錠;2002年7月5日承認、申請資料概要ヘ.3.2.1.ⅰ)

    13) 乳汁中排泄(アロマシン錠;2002年7月5日承認、申請資料概要ヘ.2.4.4)

    14) Jannuzzo Maria Gabriella et al.:Cancer Chemother Pharmacol.2004;53(6):475-481

    15) 田部井 敏夫ほか:癌と化学療法.2002;29(7):1199-1209

    16) 渡辺 亨ほか:癌と化学療法.2002;29(7):1211-1221

    17) 第二次療法における第Ⅱ相試験(海外データ)(アロマシン錠;2002年7月5日承認、申請資料概要ト.1.3)

    18) Kvinnsland, S. et al.:Eur J Cancer.2000;36(8):976-982

    19) Kaufmann, M. et al.:J Clin Oncol.2000;18(7):1399-1411

    20) Lonning, P. E. et al.:J Clin Oncol.2005;23(22):5126-5137

    21) 薬理作用(アロマシン錠;2002年7月5日承認、申請資料概要ホ.)

    22) 卵巣アロマターゼ阻害作用(アロマシン錠;2002年7月5日承認、申請資料概要ホ.1.2.1)

    23) ステロイド合成系酵素に対する作用(アロマシン錠;2002年7月5日承認、申請資料概要ホ.1.3.2)

    24) 抗腫瘍効果(閉経後乳癌モデル)(アロマシン錠;2002年7月5日承認、申請資料概要ホ.1.1.1)

    25) 血中エストロゲン抑制作用(アロマシン錠;2002年7月5日承認、申請資料概要ホ.1.2.2)

    24. 文献請求先及び問い合わせ先

    日医工株式会社 お客様サポートセンター

    〒930-8583 富山市総曲輪1丁目6番21

    TEL(0120)517-215
    FAX(076)442-8948

    26. 製造販売業者等

    26.1 製造販売元

    日医工岐阜工場株式会社

    富山市総曲輪1丁目6番21

    26.2 *販売元

    日医工株式会社

    富山市総曲輪1丁目6番21

    〒100-0013 東京都千代田区霞が関3-3-2 新霞が関ビル

    画面を閉じる

    Copyright © Pharmaceuticals and Medical Devices Agency, All Rights reserved.