医療用医薬品 詳細表示

ジンタス錠25mg/ジンタス錠50mg

処方せん医薬品

添付文書番号
企業コード
作成又は改訂年月
日本標準商品分類番号
薬効分類名
承認等
一般的名称
2.禁忌(次の患者には投与しないこと)
3.組成・性状
3.1組成
3.2製剤の性状
4.効能又は効果
5.効能又は効果に関連する注意
6.用法及び用量
7.用法及び用量に関連する注意
8.重要な基本的注意
9.特定の背景を有する患者に関する注意
9.3肝機能障害患者
9.5妊婦
9.6授乳婦
9.7小児等
9.8高齢者
10.相互作用
10.2併用注意(併用に注意すること)
11.副作用
11.1重大な副作用
11.2その他の副作用
13.過量投与
14.適用上の注意
16.薬物動態
16.1血中濃度
16.2吸収
17.臨床成績
17.1有効性及び安全性に関する試験
18.薬効薬理
18.1作用機序
18.2血中亜鉛濃度低下の改善効果
19.有効成分に関する理化学的知見
21.承認条件
22.包装
23.主要文献
24.文献請求先及び問い合わせ先
26.製造販売業者等

ジンタス錠25mg/ジンタス錠50mg

添付文書番号

3229008F1025_1_02

企業コード

620095

作成又は改訂年月

**2025年9月改訂(第3版)
2024年8月改訂(第2版)

日本標準商品分類番号

873229

薬効分類名

低亜鉛血症治療剤

承認等

ジンタス錠25mg

販売名コード

YJコード

32290A2F1021

販売名英語表記

Zintus Tablets 25mg

販売名ひらがな

じんたすじょう25mg

承認番号等

承認番号

30600AMX00110000

貯法・有効期間

貯法

室温保存

有効期間

*36箇月

ジンタス錠50mg

販売名コード

YJコード

3229008F1025

販売名英語表記

Zintus Tablets 50mg

販売名ひらがな

じんたすじょう50mg

承認番号等

承認番号

30600AMX00111000

販売開始年月

2024年8月

貯法・有効期間

貯法

室温保存

有効期間

*36箇月

一般的名称

ヒスチジン亜鉛水和物

2. 禁忌(次の患者には投与しないこと)

本剤の成分に対し過敏症の既往歴のある患者

3. 組成・性状

3.1 組成

ジンタス錠25mg

有効成分(1錠中)
ヒスチジン亜鉛水和物   156.7mg
(亜鉛として   25mg )
添加剤D-マンニトール、結晶セルロース、ヒドロキシプロピルセルロース、低置換度ヒドロキシプロピルセルロース、ステアリン酸マグネシウム

ジンタス錠50mg

有効成分(1錠中)
ヒスチジン亜鉛水和物   313.4mg
(亜鉛として   50mg )
添加剤D-マンニトール、結晶セルロース、ヒドロキシプロピルセルロース、低置換度ヒドロキシプロピルセルロース、ステアリン酸マグネシウム

3.2 製剤の性状

ジンタス錠25mg

剤形素錠
色調白色
外形表面
裏面
側面
大きさ直径9.0mm
厚さ3.7mm
質量310mg
識別コードNPC94

ジンタス錠50mg

剤形楕円形の割線入りの素錠
色調白色
外形表面
裏面
側面
大きさ長径17.0mm
短径7.0mm
厚さ5.7mm
質量620mg
識別コードNPC95

4. 効能又は効果

低亜鉛血症

5. 効能又は効果に関連する注意

食事等による亜鉛摂取で十分な効果が期待できない患者に使用すること。

6. 用法及び用量

通常、成人及び体重30kg以上の小児では、亜鉛として、1回50~100mgを開始用量とし1日1回食後に経口投与する。
なお、血清亜鉛濃度や患者の状態により適宜増減するが、1日1回150mgを超えないこと。

7. 用法及び用量に関連する注意

  1. 7.1 本剤投与開始時及び用量変更時には、血清亜鉛濃度を確認すること。なお、血清亜鉛濃度を測定するための採血は本剤を服薬する前に行うことが望ましい。
  2. 7.2 投与開始時の血清亜鉛濃度に応じて、以下の用量を目安に投与を開始すること。

    血清亜鉛濃度

    開始用量

    50μg/dL以上

    1日1回50mg

    50μg/dL未満

    1日1回100mg

8. 重要な基本的注意

  1. 8.1 本剤投与により、アミラーゼ及びリパーゼの異常が長期に持続する場合には、膵機能検査(腫瘍マーカーを含む)を考慮すること。
  2. 8.2 血清亜鉛濃度や患者の状態に留意し、本剤を漫然と投与しないこと。
  3. 8.3 本剤投与により血清銅濃度が低下する可能性があるため、本剤投与中は血清銅濃度を定期的に確認することが望ましい。

9. 特定の背景を有する患者に関する注意

9.3 肝機能障害患者

肝機能障害患者を対象とした有効性及び安全性を指標とした臨床試験は実施していない。

9.5 妊婦

妊婦又は妊娠している可能性のある女性には、治療上の有益性が危険性を上回ると判断される場合にのみ投与すること。

9.6 授乳婦

治療上の有益性及び母乳栄養の有益性を考慮し、授乳の継続又は中止を検討すること。亜鉛が乳汁中に移行し、授乳中の乳児に亜鉛誘発性の銅欠乏が発現するおそれがある。

9.7 小児等

低出生体重児、新生児、乳児、幼児又は体重30kg未満の小児を対象とした有効性及び安全性を指標とした臨床試験は実施していない。

9.8 高齢者

一般に生理機能が低下している。

10. 相互作用

    10.2 併用注意(併用に注意すること)

    薬剤名等臨床症状・措置方法機序・危険因子
    • ポラプレジンク

    本剤の効果を増強させるおそれがある。

    亜鉛含有製剤であるため。

    • キレート剤
      • ペニシラミン
      • トリエンチン塩酸塩

    本剤及びキレート剤の効果を減弱するおそれがあるので、1時間以上あけて投与すること。

    同時投与した場合、本剤がキレートされ、本剤及びキレート剤の吸収率が低下する可能性がある。

    • テトラサイクリン系抗生物質
    • キノロン系抗菌剤
    • セフジニル
    • 経口鉄剤
    • ビスホスホネート系製剤
    • エルトロンボパグ オラミン
    • ドルテグラビルナトリウム

    本剤及びこれらの薬剤の効果を減弱するおそれがあるので、時間をあけて投与すること。

    同時投与した場合、本剤及びこれらの薬剤の吸収率が低下する可能性がある。

    11. 副作用

    次の副作用があらわれることがあるので、観察を十分に行い、異常が認められた場合には投与を中止するなど適切な処置を行うこと。

    11.1 重大な副作用

    1. 11.1.1 銅欠乏症(頻度不明)

      本剤は亜鉛を含有するため、亜鉛により銅の吸収が阻害され銅欠乏症を起こすおそれがある。栄養状態不良の患者で銅欠乏に伴う汎血球減少、貧血や神経障害を起こすことがある。

    11.2 その他の副作用

    1%以上

    1%未満

    血液・リンパ

    貧血

    鉄欠乏性貧血

    代謝・栄養

    食欲減退

    精神・神経

    浮動性めまい

    頭痛、不眠症

    呼吸器

    間質性肺疾患

    消化器

    下痢、悪心、腹部不快感

    下腹部痛、上腹部痛、便秘、胃潰瘍、胃食道逆流性疾患、嘔吐

    肝機能異常

    臨床検査

    血中銅減少、リパーゼ増加、アミラーゼ増加、肝機能検査値異常

    体重減少

    13. 過量投与

    1. 13.1 症状

      グルコン酸亜鉛の過量投与により、重度の悪心、嘔吐及び浮動性めまいが報告されている1) 。また、硫酸亜鉛の過量投与により、腎不全及び高血糖昏睡を伴う出血性膵炎による死亡例が報告されている2)

    2. 13.2 処置

      速やかに胃洗浄を行うか催吐させて未吸収の亜鉛を除去する。血清亜鉛濃度が顕著に上昇している場合はキレート剤による治療を行うこと3)

    14. 適用上の注意

    14.1 薬剤交付時の注意

    PTP包装の薬剤はPTPシートから取り出して服用するよう指導すること。PTPシートの誤飲により、硬い鋭角部が食道粘膜へ刺入し、更には穿孔をおこして縦隔洞炎等の重篤な合併症を併発することがある。

    16. 薬物動態

    16.1 血中濃度

    1. 16.1.1 単回投与(食後)

      健康成人男性12例にヒスチジン亜鉛水和物(亜鉛として50、100又は150mg)をクロスオーバー法により食後(高脂肪食)に単回経口投与したときの血清亜鉛濃度(実測値)の推移及び外因性血清亜鉛濃度(服用後の濃度から服用前の濃度を差し引いた濃度)の薬物動態パラメータは以下のとおりであった4)

      図1 単回投与時の血清亜鉛濃度推移
      表1 単回投与時の薬物動態パラメータ

      投与量

      Cmax

      tmax

      AUC0-24

      50mg

      39.67±21.69

      3.00±0.74

      106.88±61.64

      100mg

      167.33±44.43

      3.04±0.86

      576.58±158.78

      150mg

      252.67±45.49

      3.67±0.49

      974.40±252.71

      平均値±標準偏差(n=12)
      単位:Cmax;μg/dL、tmax;hr、AUC0-24;μg・hr/dL

    2. 16.1.2 反復投与(食後)

      健康成人男性各群8例にヒスチジン亜鉛水和物(亜鉛として50又は100mg)を食後(通常食)に1日1回14日間反復経口投与したときの血清亜鉛濃度(実測値)の推移(2~13日目はトラフ値のみ)は以下のとおりであった。いずれの投与群においても、投与1日目から投与14日目にかけてトラフ値は経時的に増加した5)

      図2 反復投与時の血清亜鉛濃度推移

    16.2 吸収

    1. 16.2.1 食事の影響

      健康成人男性12例にヒスチジン亜鉛水和物(亜鉛として25mg、承認用量とは異なる)をクロスオーバー法により絶食時又は食後(高脂肪食)に単回経口投与したときの外因性血清亜鉛濃度(服用後の濃度から服用前の濃度を差し引いた濃度)のAUC0-24は、それぞれ569.88及び11.13μg・hr/dLであり、食事による吸収阻害の影響を強く受けた4)

    17. 臨床成績

    17.1 有効性及び安全性に関する試験

    1. 17.1.1 国内第III相臨床試験(実薬対照非盲検試験)

      低亜鉛血症患者を対象に、酢酸亜鉛水和物を対照とした無作為化非盲検試験を実施した。血清亜鉛濃度に応じて、1日1回50又は100mgで投与を開始し、血清亜鉛濃度が目標濃度(80μg/dL以上200μg/dL未満)に到達するまで1日1回150mgを超えない範囲で用量調節した。投与24週間後までに目標血清亜鉛濃度を8週間維持できた症例の割合は本剤群86.4%(89/103例)、酢酸亜鉛水和物群80.4%(86/107例)であった。群間差[95%信頼区間]は6.0[-4.2, 16.3]%であり、95%信頼区間の下限値が事前に規定された非劣性マージン-15%を上回った。
      本剤群で副作用の発現頻度は24.3%(26/107例)であり、主な副作用(2%以上)は、血中銅減少4.7%(5/107例)、リパーゼ増加3.7%(4/107例)、貧血、下痢、悪心、アミラーゼ増加が各2.8%(3/107例)であった6)

    18. 薬効薬理

    18.1 作用機序

    本剤は亜鉛の補充効果を示す。

    18.2 血中亜鉛濃度低下の改善効果

    3種類の血中亜鉛濃度低下動物モデル(卵巣摘出ラット、四塩化炭素誘発性肝硬変ラット及びアルドステロン/Na誘発性アルドステロン血症ラット)において、酢酸亜鉛又は硫酸亜鉛を腹腔内又は経口投与したとき、血中の亜鉛濃度は増加し、これらの動物モデルにおける血中亜鉛濃度低下が改善することが報告されている7),8),9)

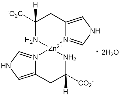
    19. 有効成分に関する理化学的知見

    一般的名称

    ヒスチジン亜鉛水和物(Zinc Histidine Hydrate)

    化学名

    Bis[L-histidine-κNαN3]zinc dihydrate

    分子式

    C12H16N6O4Zn・2H2O

    分子量

    409.70

    性状

    白色の粉末である。水にやや溶けやすく、メタノールに溶けにくく、エタノール(99.5)に極めて溶けにくく、アセトニトリルにほとんど溶けない。

    化学構造式

    融点

    約266℃(分解)

    21. 承認条件

    医薬品リスク管理計画を策定の上、適切に実施すること。

    22. 包装

    • 〈ジンタス錠25mg〉

      100錠[10錠(PTP)×10]

    • 〈ジンタス錠50mg〉

      100錠[10錠(PTP)×10]

    24. 文献請求先及び問い合わせ先

    ノーベルファーマ株式会社 カスタマーセンター

    〒104-0033 東京都中央区新川1-17-24

    フリーダイヤル:0120-003-140

    26. 製造販売業者等

    26.1 製造販売元

    ノーベルファーマ株式会社

    東京都中央区新川1-17-24

    〒100-0013 東京都千代田区霞が関3-3-2 新霞が関ビル

    画面を閉じる

    Copyright © Pharmaceuticals and Medical Devices Agency, All Rights reserved.