医療用医薬品 詳細表示

イオパミロン注300/イオパミロン注300/イオパミロン注370/イオパミロン注370

処方せん医薬品

添付文書番号
企業コード
作成又は改訂年月
日本標準商品分類番号
薬効分類名
承認等
一般的名称
1.警告
2.禁忌(次の患者には投与しないこと)
3.組成・性状
3.1組成
3.2製剤の性状
4.効能又は効果
6.用法及び用量
8.重要な基本的注意
9.特定の背景を有する患者に関する注意
9.1合併症・既往歴等のある患者
9.2腎機能障害患者
9.3肝機能障害患者
9.5妊婦
9.6授乳婦
9.7小児等
9.8高齢者
10.相互作用
10.2併用注意(併用に注意すること)
11.副作用
11.1重大な副作用
11.2その他の副作用
12.臨床検査結果に及ぼす影響
14.適用上の注意
16.薬物動態
16.1血中濃度
16.5排泄
17.臨床成績
17.1有効性及び安全性に関する試験
18.薬効薬理
18.1測定法
19.有効成分に関する理化学的知見
20.取扱い上の注意
22.包装
23.主要文献
24.文献請求先及び問い合わせ先
26.製造販売業者等

イオパミロン注300/イオパミロン注300/イオパミロン注370/イオパミロン注370

添付文書番号

7219412A2068_2_15

企業コード

630004

作成又は改訂年月

**2026年4月改訂(第5版)
2023年6月改訂(第4版)

日本標準商品分類番号

877219

薬効分類名

非イオン性尿路・血管造影剤

承認等

イオパミロン注300

販売名コード

YJコード

7219412A2068

販売名英語表記

Iopamiron injection 300

販売名ひらがな

いおぱみろんちゅう300

承認番号等

承認番号

21700AMX00175000

販売開始年月

1986年8月

貯法・有効期間

貯法

室温保存

有効期間

60ヵ月

基準名

日本薬局方

イオパミドール注射液

イオパミロン注300

販売名コード

YJコード

7219412A3072

販売名英語表記

Iopamiron injection 300

販売名ひらがな

いおぱみろんちゅう300

承認番号等

承認番号

21700AMX00175000

販売開始年月

1986年8月

貯法・有効期間

貯法

室温保存

有効期間

60ヵ月

基準名

日本薬局方

イオパミドール注射液

イオパミロン注370

販売名コード

YJコード

7219412A5067

販売名英語表記

Iopamiron injection 370

販売名ひらがな

いおぱみろんちゅう370

承認番号等

承認番号

21800AMX10166000

販売開始年月

1986年8月

貯法・有効期間

貯法

室温保存

有効期間

60ヵ月

基準名

日本薬局方

イオパミドール注射液

イオパミロン注370

販売名コード

YJコード

7219412A6071

販売名英語表記

Iopamiron injection 370

販売名ひらがな

いおぱみろんちゅう370

承認番号等

承認番号

21800AMX10166000

販売開始年月

1986年8月

貯法・有効期間

貯法

室温保存

有効期間

60ヵ月

基準名

日本薬局方

イオパミドール注射液

一般的名称

イオパミドール

1. 警告

  1. 1.1 ショック等の重篤な副作用があらわれることがある。,,,,,,,,,
  2. 1.2 本剤は尿路・血管用造影剤であり、特に高濃度製剤(370mgI/mL)については脳・脊髄腔内に投与すると重篤な副作用が発現するおそれがあるので、脳槽・脊髄造影には使用しないこと。

2. 禁忌(次の患者には投与しないこと)

  1. 2.1 ヨード又はヨード造影剤に過敏症の既往歴のある患者
  2. 2.2 重篤な甲状腺疾患のある患者[ヨード過剰に対する自己調節メカニズムが機能できず、症状が悪化するおそれがある。]

3. 組成・性状

3.1 組成

イオパミロン注300

(50mL)
有効成分1mL中日局イオパミドール   612.4mg含有
添加剤トロメタモール   1mg/mL
エデト酸カルシウムナトリウム水和物   0.1mg/mL
pH調整剤(2成分)   適量
ヨード濃度  300mg/mL
1瓶中のヨード含有量  15g

イオパミロン注300

(100mL)
有効成分1mL中日局イオパミドール   612.4mg含有
添加剤トロメタモール   1mg/mL
エデト酸カルシウムナトリウム水和物   0.1mg/mL
pH調整剤(2成分)   適量
ヨード濃度  300mg/mL
1瓶中のヨード含有量  30g

イオパミロン注370

(50mL)
有効成分1mL中日局イオパミドール   755.2mg含有
添加剤トロメタモール   1mg/mL
エデト酸カルシウムナトリウム水和物   0.1mg/mL
pH調整剤(2成分)   適量
ヨード濃度  370mg/mL
1瓶中のヨード含有量  18.5g

イオパミロン注370

(100mL)
有効成分1mL中日局イオパミドール   755.2mg含有
添加剤トロメタモール   1mg/mL
エデト酸カルシウムナトリウム水和物   0.1mg/mL
pH調整剤(2成分)   適量
ヨード濃度  370mg/mL
1瓶中のヨード含有量  37g

3.2 製剤の性状

イオパミロン注300

(50mL)
pH6.5~7.5
浸透圧比約3(生理食塩液に対する比)
色・性状無色~微黄色澄明の注射液で、僅かに粘性がある。光によって徐々に微黄色になる。
粘稠度4.4mPa・s、37℃

イオパミロン注300

(100mL)
pH6.5~7.5
浸透圧比約3(生理食塩液に対する比)
色・性状無色~微黄色澄明の注射液で、僅かに粘性がある。光によって徐々に微黄色になる。
粘稠度4.4mPa・s、37℃

イオパミロン注370

(50mL)
pH6.5~7.5
浸透圧比約4(生理食塩液に対する比)
色・性状無色~微黄色澄明の注射液で、僅かに粘性がある。光によって徐々に微黄色になる。
粘稠度9.1mPa・s、37℃

イオパミロン注370

(100mL)
pH6.5~7.5
浸透圧比約4(生理食塩液に対する比)
色・性状無色~微黄色澄明の注射液で、僅かに粘性がある。光によって徐々に微黄色になる。
粘稠度9.1mPa・s、37℃

4. 効能又は効果

  • 〈イオパミロン注300〉

    脳血管撮影、大動脈撮影、選択的血管撮影、四肢血管撮影、ディジタルX線撮影法による静脈性血管撮影、ディジタルX線撮影法による動脈性血管撮影、コンピューター断層撮影における造影、静脈性尿路撮影、逆行性尿路撮影

  • 〈イオパミロン注370〉

    血管心臓撮影(肺動脈撮影を含む)、大動脈撮影、選択的血管撮影、四肢血管撮影、ディジタルX線撮影法による静脈性血管撮影、ディジタルX線撮影法による動脈性血管撮影、コンピューター断層撮影における造影、静脈性尿路撮影

6. 用法及び用量

通常、成人1回下記量を使用する。なお、年齢、体重、症状、目的により適宜増減する。

効能・効果

イオパミロン注300

イオパミロン注370

脳血管撮影

6~13mL

血管心臓撮影(肺動脈撮影を含む)

20~50mL

大動脈撮影

30~50mL

30~50mL

選択的血管撮影

5~40mL

5~40mL

四肢血管撮影

20~50mL

20~50mL

ディジタルX線撮影法による静脈性血管撮影

30~50mL

30~50mL

ディジタルX線撮影法による動脈性血管撮影

3~30mL1)

3~30mL1)

コンピューター断層撮影における造影

100mL3)

100mL2)

静脈性尿路撮影

40~100mL2)

20~100mL2)

逆行性尿路撮影

5~200mL1)

1) 原液又は原液を生理食塩液で2~4倍希釈し用いる。

2) 50mL以上投与するときは、通常点滴静注とする。

3) 50mL以上投与するときは、通常点滴静注する。

なお、胸・腹部を高速らせんコンピューター断層撮影で撮像する場合は、撮影対象部位により静脈内投与速度を調節する。ただし、投与量は肝臓領域を除く胸・腹部の場合は100mLまでとするが、肝臓領域の場合は150mLまで投与することができる。

8. 重要な基本的注意

  1. 8.1 ショック等の発現に備え、十分な問診を行うこと。,,,,,,
  2. 8.2 投与量と投与方法の如何にかかわらず過敏反応を示すことがある。本剤によるショック等の重篤な副作用は、ヨード過敏反応によるものとは限らず、それを確実に予知できる方法はないので、投与に際しては必ず救急処置の準備を行うこと。,,,
  3. 8.3 投与にあたっては、開始時より患者の状態を観察しながら、過敏反応の発現に注意し、慎重に投与すること。また、異常が認められた場合には、直ちに投与を中止し、適切な処置を行うこと。,,,
  4. 8.4 重篤な遅発性副作用(ショックを含む)等があらわれることがあるので、投与中及び投与後も、患者の状態を十分に観察すること。,,,
  5. 8.5 外来患者に使用する場合には、本剤投与開始より1時間~数日後にも遅発性副作用の発現の可能性があることを患者に説明した上で、発疹、発赤、じん麻疹、悪心、嘔吐、血圧低下、頭痛等の副作用と思われる症状が発現した場合には、速やかに主治医に連絡するように指示するなど適切な対応をとること。,,,
  6. 8.6 ヨード造影剤の投与により腎機能の低下があらわれるおそれがあるので、適切な水分補給を行うこと。,,,,,,,,

9. 特定の背景を有する患者に関する注意

9.1 合併症・既往歴等のある患者

  1. 9.1.1 一般状態の極度に悪い患者

    診断上やむを得ないと判断される場合を除き、投与しないこと。

  2. 9.1.2 気管支喘息の患者

    診断上やむを得ないと判断される場合を除き、投与しないこと。副作用の発生頻度が高いとの報告がある。

  3. 9.1.3 重篤な心障害のある患者

    診断上やむを得ないと判断される場合を除き、投与しないこと。血圧低下、不整脈、頻脈等の報告があり、重篤な心障害患者においては症状が悪化するおそれがある。

  4. 9.1.4 マクログロブリン血症の患者

    診断上やむを得ないと判断される場合を除き、投与しないこと。静脈性胆のう造影剤で血液のゼラチン様変化をきたし死亡した報告がある。

  5. 9.1.5 多発性骨髄腫の患者

    診断上やむを得ないと判断される場合を除き、投与しないこと。特に脱水症状のある場合、腎不全(無尿等)を起こすおそれがある。,

  6. 9.1.6 テタニーのある患者

    診断上やむを得ないと判断される場合を除き、投与しないこと。血中カルシウム低下により、症状が悪化するおそれがある。

  7. 9.1.7 *褐色細胞腫又はパラガングリオーマの患者及びその疑いのある患者

    診断上やむを得ないと判断される場合を除き、投与しないこと。やむをえず造影検査を実施する場合には静脈確保の上、フェントラミンメシル酸塩等のα遮断薬及びプロプラノロール塩酸塩等のβ遮断薬の十分な量を用意するなど、これらの発作に対処できるよう十分な準備を行い、慎重に投与すること。血圧上昇、頻脈、不整脈等の発作が起こるおそれがある。

  8. 9.1.8 本人又は両親、兄弟に発疹、じん麻疹等のアレルギーを起こしやすい体質を有する患者

    ,,,,

  9. 9.1.9 薬物過敏症の既往歴のある患者

    ,,,,

  10. 9.1.10 脱水症状のある患者

    急性腎障害を起こすおそれがある。,

  11. 9.1.11 高血圧症の患者

    血圧上昇等、症状が悪化するおそれがある。

  12. 9.1.12 動脈硬化のある患者

    心・循環器系に影響を及ぼすことがある。

  13. 9.1.13 糖尿病の患者

    急性腎障害を起こすおそれがある。,

  14. 9.1.14 甲状腺疾患のある患者(重篤な甲状腺疾患のある患者を除く)

    ヨード過剰に対する自己調節メカニズムが機能できず、症状が悪化するおそれがある。

  15. 9.1.15 急性膵炎の患者

    本剤投与前後にはガイドライン等を参考にして十分な輸液を行うこと。症状が悪化するおそれがある。,,

9.2 腎機能障害患者

  1. 9.2.1 重篤な腎障害(無尿等)のある患者

    診断上やむを得ないと判断される場合を除き、投与しないこと。本剤の主たる排泄臓器は腎臓であり、腎機能低下患者では排泄遅延から急性腎障害等、症状が悪化するおそれがある。,

  2. 9.2.2 腎機能が低下している患者

    腎機能が悪化するおそれがある。,

9.3 肝機能障害患者

  1. 9.3.1 重篤な肝障害のある患者

    診断上やむを得ないと判断される場合を除き、投与しないこと。症状が悪化するおそれがある。

  2. 9.3.2 肝機能が低下している患者

    肝機能が悪化するおそれがある。

9.5 妊婦

妊婦又は妊娠している可能性のある女性には、診断上の有益性が危険性を上回ると判断される場合にのみ投与すること。本剤投与の際にはX線照射を伴う。

9.6 授乳婦

診断上の有益性及び母乳栄養の有益性を考慮し、授乳の継続又は中止を検討すること。動物(ラット静脈内投与)で乳汁中への移行が報告されている。

9.7 小児等

患者の状態を十分に観察しながら慎重に投与すること。小児等を対象とした有効性及び安全性を指標とした臨床試験は実施していない。

9.8 高齢者

患者の状態を十分に観察しながら慎重に投与すること。一般に生理機能が低下している。

10. 相互作用

    10.2 併用注意(併用に注意すること)

    薬剤名等臨床症状・措置方法機序・危険因子

    ビグアナイド系糖尿病用剤

    • メトホルミン塩酸塩、ブホルミン塩酸塩等

    乳酸アシドーシスがあらわれるおそれがあるので、本剤を使用する場合は、ビグアナイド系糖尿病用剤の投与を一時的に中止するなど適切な処置を行うこと。

    ビグアナイド系糖尿病用剤の腎排泄が減少し、血中濃度が上昇すると考えられている。

    11. 副作用

    次の副作用があらわれることがあるので、観察を十分に行い、異常が認められた場合には投与を中止するなど適切な処置を行うこと。

    11.1 重大な副作用

    • 〈効能共通〉
      1. 11.1.1 ショック(頻度不明)

        ショック(遅発性を含む)を起こし、失神、意識消失、呼吸困難、呼吸停止、心停止等の症状があらわれることがある。また、軽度の過敏症状も重篤な症状に進展する場合がある。,,,,,,,

      2. 11.1.2 アナフィラキシー(頻度不明)

        呼吸困難、咽・喉頭浮腫、顔面浮腫等のアナフィラキシー(遅発性を含む)があらわれることがある。,,,,,,,,

      3. 11.1.3 腎不全(頻度不明)

        急性腎障害があらわれることがある。,,,,,

      4. 11.1.4 急性呼吸窮迫症候群、肺水腫(いずれも頻度不明)

        急速に進行する呼吸困難、低酸素血症、両側性びまん性肺浸潤影等の胸部X線異常等が認められた場合には、必要に応じ適切な処置を行うこと。

      5. 11.1.5 意識障害、失神(いずれも頻度不明)

        ショックを伴わない意識障害、失神があらわれることがあるので、検査終了後も意識レベル等の観察を十分に行い、必要に応じ適切な処置を行うこと。

      6. 11.1.6 血小板減少(頻度不明)
      7. 11.1.7 痙攣発作(頻度不明)

        発現した場合にはフェノバルビタール等バルビツール酸誘導体又はジアゼパム等を投与すること。

      8. 11.1.8 肝機能障害、黄疸(いずれも頻度不明)

        AST、ALT、γ-GTPの上昇等を伴う肝機能障害、黄疸があらわれることがある。,

      9. 11.1.9 心室細動、冠動脈攣縮(いずれも頻度不明)

      10. 11.1.10 皮膚障害(頻度不明)

        皮膚粘膜眼症候群(Stevens-Johnson症候群)、急性汎発性発疹性膿疱症があらわれることがあるので、観察を十分に行い、発熱、紅斑、小膿疱、そう痒感、眼充血、口内炎等の症状が認められた場合には適切な処置を行うこと。

      11. 11.1.11 アレルギー反応に伴う急性冠症候群(頻度不明)

        ,,,,,,,,,

    • 〈脳血管撮影〉
      1. 11.1.12 せん妄、錯乱、健忘症、麻痺(いずれも頻度不明)
    • 〈脳血管撮影、血管心臓撮影(肺動脈撮影を含む)、大動脈撮影〉
      1. 11.1.13 造影剤脳症(頻度不明)

        本剤が脳血管外に漏出し、意識障害、麻痺、失語、皮質盲等の中枢神経症状があらわれることがあるので投与量は必要最小限とし、異常が認められた場合には適切な処置を行うこと。

    11.2 その他の副作用

    1%以上

    1%未満

    頻度不明

    過敏症

    発疹

    そう痒感、じん麻疹

    潮紅

    循環器

    血圧上昇、頻脈、血圧低下、顔面蒼白

    チアノーゼ、動悸、不整脈、虚脱、徐脈

    呼吸器

    咳、くしゃみ

    咽頭不快感、喘息発作、頻呼吸、喉頭不快感、嗄声、鼻閉、鼻汁

    精神神経系

    閃光感

    頭痛、めまい、羞明感、しびれ(感)

    あくび、不安感、振戦、一過性盲等の視力障害、意識レベルの低下、錯感覚(ピリピリ感等)

    自律神経系

    発汗

    消化器

    口渇、悪心

    嘔吐、腹痛

    口内にがみ感、口腔内不快感、唾液増加、下痢、耳下腺腫大

    内分泌系

    甲状腺機能低下症

    その他

    熱感

    発熱

    胸内苦悶感、悪寒、冷感、倦怠感、異常感、結膜充血、流涙、疼痛、背部痛、四肢痛、関節痛

    注)主にコンピューター断層撮影における造影、静脈性尿路・血管撮影からの報告である。

    12. 臨床検査結果に及ぼす影響

    本剤投与により、甲状腺機能検査等の放射性ヨードによる検査に影響を及ぼすことがある。したがって、これらの検査は本剤の投与前に実施すること。本剤投与後2週間はこれらの検査に影響を及ぼすとの報告がある。

    14. 適用上の注意

    14.1 薬剤投与前の注意

    • 〈効能共通〉
      1. 14.1.1 投与前に体温まで温めること。
      2. 14.1.2 投与前には極端な水分制限をしないこと。,
      3. 14.1.3 投与開始前に目視による確認を行い、内容液に結晶が認められた場合や容器に破損等の異常が認められた場合には使用しないこと。
    • 〈静脈性尿路撮影、逆行性尿路撮影〉
      1. 14.1.4 検査前に腸内ガスを排除し、検査終了まで絶食すること。

    14.2 薬剤投与時の注意

    1. 14.2.1 脳槽・脊髄造影には使用しないこと。
    2. 14.2.2 静脈内投与により血管痛、血栓性静脈炎があらわれることがあるので、注入時に十分注意すること。
    3. 14.2.3 本剤を用いてカテーテル等を使用する血管撮影の実施にあたっては、カテーテル内をよくフラッシュすること。また、注入器やカテーテル内で本剤と血液とを長時間にわたって接触させることは避け、直ちに使用すること。非イオン性造影剤(本剤を含む)の血液凝固抑制作用はイオン性造影剤に比較して弱いとのin vitro試験の報告がある。
    4. 14.2.4 他の薬剤(抗ヒスタミン剤、副腎皮質ホルモン剤等)を併用する場合は別々に投与すること。
    5. 14.2.5 注入装置の洗浄が不十分な場合には、注入器内部に付着する残存液に由来する銅イオン溶出等によって、生成物(緑色等に着色)を生じるおそれがあるので、使い捨て以外の器具を用いる場合には内部の汚れに注意し、洗浄、滅菌を十分に行うこと。
    6. 14.2.6 誤って血管外に造影剤を漏出させた場合には発赤、腫脹、水疱、血管痛等があらわれることがあるので、注入時に十分注意すること。
    7. 14.2.7 高速らせんコンピューター断層撮影で撮像する際、4mL/秒を超える投与速度の安全性は確立されていない。,

    14.3 薬剤投与後の注意

    1. 14.3.1 投与後は水分補給を行い、造影剤の速やかな排泄を促すこと。,
    2. 14.3.2 1回の検査にのみ使用し、余剰の溶液は廃棄すること。

    16. 薬物動態

    16.1 血中濃度

    健康成人男子(4名)に本剤(370mgI/mL)40mLを静注すると、血漿中のヨウ素濃度は静注後5分で約1.9mgI/mL、30分で約1mgI/mLを示し、4時間後には0.2mgI/mL以下に減少した1)

    16.5 排泄

    健康成人男子(4名)に本剤(370mgI/mL)40mLを静注すると、2時間後までに投与量の約60%が、24時間後には全量が尿中に排泄された1)

    17. 臨床成績

    17.1 有効性及び安全性に関する試験

    • 〈コンピューター断層撮影における造影、静脈性尿路撮影、血管撮影〉
      1. 17.1.1 国内第Ⅱ相及び第Ⅲ相臨床試験

        イオパミロン注300及びイオパミロン注370を使用した比較臨床試験1),2),3)を含む国内第Ⅱ相及び第Ⅲ相臨床試験における造影効果の有効率は次のとおりであった。

        効能・効果

        イオパミロン注300

        イオパミロン注370

        症例数

        造影効果

        症例数

        造影効果

        脳血管撮影

        240例

        99%(688/697)

        血管心臓撮影(肺動脈撮影を含む)

        131例

        96%(177/184)

        大動脈撮影

        59例

        94%(65/69)

        74例

        98%(83/85)

        選択的血管撮影

        93例

        98%(369/375)

        204例

        98%(698/714)

        四肢血管撮影

        118例

        99%(208/211)

        51例

        98%(88/90)

        ディジタルX線撮影法による静脈性血管撮影

        73例

        90%(135/150)

        73例

        91%(165/181)

        ディジタルX線撮影法による動脈性血管撮影

        60例

        99%(259/260)

        60例

        100%(178/178)

        コンピューター断層撮影における造影

        81例

        100%(112/112)

        50例

        100%(50/50)

        静脈性尿路撮影

        78例

        91%(267/293)

        84例

        90%(376/420)

    • 〈逆行性尿路撮影〉
      1. 17.1.2 国内第Ⅲ相臨床試験

        イオパミロン注300を使用した比較臨床試験4)を含む国内第Ⅲ相臨床試験における造影効果の有効率は次のとおりであった。

        効能・効果

        イオパミロン注300

        症例数

        造影効果

        逆行性尿路撮影

        56例

        98%(61/62)

    • 〈胸・腹部を対象とした高速らせんコンピューター断層撮影〉
      1. 17.1.3 国内第Ⅲ相臨床試験

        イオパミロン注300を使用した国内第Ⅲ相臨床試験5)では、主に胸・腹部を対象に100mLを64例に静脈内投与した。投与速度は、肝臓では2.5~4.0mL/秒(21例)、肝臓以外の腹部では1.0~3.0mL/秒(15例)、胸部では1.0~2.0mL/秒(21例)及びその他の症例では1.0~2.0mL/秒(7例)であった。「存在診断」、「質的診断」及び「拡がり診断」を総合評価した有効率は90.2%(55/61)であった。

      2. 17.1.4 国内第Ⅲ相比較臨床試験

        イオパミロン注300を使用した国内第Ⅲ相比較臨床試験6)では、肝臓を対象に100mLあるいは2.5mL/kgが各62例に3~4mL/秒の投与速度で投与された。門脈の描出について、独立した3名の評価者による有効率は100mLを投与された群が93.3~98.3%(56~59/60)、2.5mL/kgを投与された群が96.8~98.4%(60~61/62)であった。
        なお、体重70kgを超えた患者での門脈の描出について、100mLでは不足する場合があった。

    18. 薬効薬理

    18.1 測定法

    本剤の主成分(イオパミドール)の構成元素であるヨウ素は高いX線吸収能をもつ。これに基づき、本剤の存在部位と他の生体組織との間にX線画像上のコントラストが生じる。

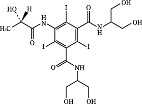
    19. 有効成分に関する理化学的知見

    一般的名称

    イオパミドール(Iopamidol)

    化学名

    N,N’-Bis[2-hydroxy-1-(hydroxymethyl)ethyl]-5-[(2S)-2-hydroxypropanoylamino]-2,4,6-triiodoisophthalamide

    分子式

    C17H22I3N3O8

    分子量

    777.09

    性状

    本品は白色の結晶性の粉末である。
    本品は水に極めて溶けやすく、メタノールにやや溶けにくく、エタノール(99.5)に極めて溶けにくい。

    化学構造式

    20. 取扱い上の注意

    外箱開封後は遮光して保存すること。

    22. 包装

    • 〈イオパミロン注300〉

      50mL[5瓶]、100mL[1瓶]、100mL[5瓶]

    • 〈イオパミロン注370〉

      50mL[5瓶]、100mL[1瓶]、100mL[5瓶]

    24. 文献請求先及び問い合わせ先

    文献請求先
    バイエル薬品株式会社・メディカルインフォメーション

    〒530-0001大阪市北区梅田二丁目4番9号

    バイエル医療用医薬品のお問い合わせ先

    電話0120-106-398

    26. 製造販売業者等

    26.1 製造販売元

    バイエル薬品株式会社

    大阪市北区梅田二丁目4番9号

    〒100-0013 東京都千代田区霞が関3-3-2 新霞が関ビル

    画面を閉じる

    Copyright © Pharmaceuticals and Medical Devices Agency, All Rights reserved.