医療用医薬品 詳細表示

ベシカム軟膏5%/ベシカムクリーム5%

処方せん医薬品以外の医薬品

添付文書番号
企業コード
作成又は改訂年月
日本標準商品分類番号
薬効分類名
承認等
一般的名称
2.禁忌(次の患者には投与しないこと)
3.組成・性状
3.1組成
3.2製剤の性状
4.効能又は効果
6.用法及び用量
9.特定の背景を有する患者に関する注意
9.5妊婦
9.6授乳婦
9.8高齢者
11.副作用
11.2その他の副作用
14.適用上の注意
16.薬物動態
16.1血中濃度
16.2吸収
16.3分布
16.4代謝
16.6特定の背景を有する患者
17.臨床成績
17.1有効性及び安全性に関する試験
18.薬効薬理
18.1作用機序
18.2抗炎症・鎮痛作用
18.3尋常性ざ瘡に対する作用
19.有効成分に関する理化学的知見
22.包装
23.主要文献
24.文献請求先及び問い合わせ先
26.製造販売業者等

ベシカム軟膏5%/ベシカムクリーム5%

添付文書番号

2649728M1061_1_11

企業コード

650034

作成又は改訂年月

2024年10月改訂(第2版)
2023年9月改訂(第1版)

日本標準商品分類番号

872649

薬効分類名

非ステロイド系 消炎・鎮痛外用剤

承認等

ベシカム軟膏5%

販売名コード

YJコード

2649728M1061

販売名英語表記

VESICUM Ointment 5%

販売名ひらがな

べしかむなんこう5%

承認番号等

承認番号

22000AMX00299000

販売開始年月

1984年3月

貯法・有効期間

貯法

室温保存

有効期間

4年

基準名

日本薬局方

イブプロフェンピコノール軟膏

ベシカムクリーム5%

販売名コード

YJコード

2649728N1067

販売名英語表記

VESICUM Cream 5%

販売名ひらがな

べしかむくりーむ5%

承認番号等

承認番号

22000AMX00300000

販売開始年月

1984年3月

貯法・有効期間

貯法

室温保存

有効期間

3年

基準名

日本薬局方

イブプロフェンピコノールクリーム

一般的名称

日本薬局方イブプロフェンピコノール軟膏
日本薬局方イブプロフェンピコノールクリーム

2. 禁忌(次の患者には投与しないこと)

本剤の成分に対し過敏症の既往歴のある患者

3. 組成・性状

3.1 組成

ベシカム軟膏5%

有効成分1g中
日局イブプロフェンピコノール   50mg
添加剤中鎖脂肪酸トリグリセリド、白色ワセリン、ベヘニルアルコール、モノステアリン酸グリセリン

ベシカムクリーム5%

有効成分1g中
日局イブプロフェンピコノール   50mg
添加剤エデト酸ナトリウム水和物、感光素201号、ジブチルヒドロキシトルエン、ジメチルポリシロキサン、セトステアリルアルコール、白色ワセリン、パラオキシ安息香酸メチル、ポリオキシエチレンベヘニルエーテル、ミリスチン酸イソプロピル、モノステアリン酸グリセリン

3.2 製剤の性状

ベシカム軟膏5%

識別コードHP208O
性状白色ワセリンを主体とする白色半透明の軟膏で、わずかに特異なにおいがある。

ベシカムクリーム5%

識別コードHP207C
pH本品1gに水10mLを加え、かき混ぜた後振りまぜる。この液のpHは4.0~6.0である。
性状本品は白色~微黄色の全質均等のクリーム剤である。

4. 効能又は効果

  • 〈軟膏〉

    急性湿疹、接触皮膚炎、アトピー皮膚炎、慢性湿疹、酒さ様皮膚炎・口囲皮膚炎、帯状疱疹

  • 〈クリーム〉

    急性湿疹、接触皮膚炎、アトピー皮膚炎、慢性湿疹、酒さ様皮膚炎・口囲皮膚炎、帯状疱疹、尋常性ざ瘡

6. 用法及び用量

効能又は効果

用法及び用量

軟膏

急性湿疹、接触皮膚炎、アトピー皮膚炎、慢性湿疹、酒さ様皮膚炎・口囲皮膚炎

本品の適量を1日数回患部に塗布する。

帯状疱疹

本品の適量を1日1~2回患部に貼布する。

クリーム

急性湿疹、接触皮膚炎、アトピー皮膚炎、慢性湿疹、酒さ様皮膚炎・口囲皮膚炎

本品の適量を1日数回患部に塗布する。

帯状疱疹

本品の適量を1日1~2回患部に貼布する。

尋常性ざ瘡

本品の適量を1日数回石鹸で洗顔後患部に塗布する。

9. 特定の背景を有する患者に関する注意

9.5 妊婦

*妊婦又は妊娠している可能性のある女性には、治療上の有益性が危険性を上回ると判断される場合にのみ使用すること。シクロオキシゲナーゼ阻害剤を妊娠中期以降の妊婦に使用し、胎児動脈管収縮が起きたとの報告がある。また、シクロオキシゲナーゼ阻害剤(経口剤、坐剤)を妊婦に使用し、胎児の腎機能障害及び尿量減少、それに伴う羊水過少症が起きたとの報告がある。

9.6 授乳婦

治療上の有益性及び母乳栄養の有益性を考慮し、授乳の継続又は中止を検討すること。動物実験(ラット)で乳汁移行が認められている。

9.8 高齢者

一般に生理機能が低下している。

11. 副作用

次の副作用があらわれることがあるので、観察を十分に行い、異常が認められた場合には使用を中止するなど適切な処置を行うこと。

11.2 その他の副作用

1%以上5%未満

1%未満

頻度不明

皮膚

刺激感

つっぱり感、そう痒感、症状の悪化、色素沈着

接触皮膚炎(発疹、腫脹、水疱・びらん、熱感、鱗屑等)、膿疱、皮膚乾燥

血管障害

発赤

14. 適用上の注意

14.1 薬剤使用時の注意

  • 〈製剤共通〉
    1. 14.1.1 眼科用として角膜、結膜に使用しないこと。
  • 〈クリーム〉
    1. 14.1.2 尋常性ざ瘡に使用する場合には、下記の点に注意すること。
      • 石鹸で洗顔後使用すること。
      • 膿疱の多発した重症例には他の適切な治療を行うことが望ましい。

16. 薬物動態

16.1 血中濃度

健康成人男子7名に5%クリーム30gを1日14時間、3日間密封塗布したとき、血中にはイブプロフェンとその代謝物が検出されたが、いずれも0.4μg/mL以下であった1)

16.2 吸収

ラットにイブプロフェンピコノールを密封塗布したとき、正常皮膚では投与後24時間で投与量の約30%、48時間で投与量の約50%が吸収されたのに対し、損傷皮膚では24時間で投与量の約70%が吸収された2),3)

16.3 分布

16.2の試験において、イブプロフェンピコノールは皮膚内に最も多く分布した。また、正常皮膚に7日間連続経皮投与したとき、皮膚及び腎内濃度は単回投与の約2倍に上昇したが、その他の組織で顕著な変化は認められなかった2),3)

16.4 代謝

16.1の試験において、尿中にはイブプロフェンとその代謝物及びピコノールの代謝物が検出されたが、未変化のイブプロフェンピコノールは血中及び尿中のいずれにも検出されなかった。全代謝物が塗布終了後比較的速やかに血中より消失し、尿中より検出されなくなった1)

16.6 特定の背景を有する患者

  1. 16.6.1 妊婦

    妊娠ラットにイブプロフェンピコノールを経皮投与(損傷皮膚)又は皮下投与したとき、胎盤、羊水及び胎児中の濃度は、母獣の血漿中濃度より低かった4)

  2. 16.6.2 授乳婦

    16.6.1の試験において、分娩後14~16日目に皮下投与したとき、イブプロフェンとして比較的容易に乳汁中へ移行し、乳汁中濃度は母獣の血漿中濃度より高い値を示した4)

17. 臨床成績

17.1 有効性及び安全性に関する試験

  1. 17.1.1 国内臨床試験

    比較試験及び一般試験を含む臨床試験の概要は次表のとおりである5),6),7),8)

    疾患名

    使用方法

    使用期間

    改善率%(中等度改善以上)

    軟膏

    クリーム

    急性湿疹

    1日2~3回
    単純塗布

    1週間

    64.8%(35/54例)

    50.6%(39/77例)

    接触皮膚炎

    77.4%(41/53例)

    57.4%(27/47例)

    アトピー皮膚炎

    3週間

    64.7%(97/150例)

    55.2%(69/125例)

    慢性湿疹

    75.0%(36/48例)

    71.7%(38/53例)

    酒さ様皮膚炎
    口囲皮膚炎

    4~8週間

    72.7%(48/66例)

    66.7%(10/15例)

    帯状疱疹

    1日1~2回貼布

    2~3週間

    96.5%(109/113例)

    93.8%(30/32例)

    尋常性ざ瘡

    1日2~3回石鹸
    洗顔後単純塗布

    4~8週間

    70.7%(104/147例)

18. 薬効薬理

18.1 作用機序

イブプロフェンピコノールの抗炎症作用は、血管透過性亢進の抑制、白血球遊走抑制、プロスタグランジン類の生合成阻害、血小板凝集抑制、肉芽増殖抑制等の機序に基づくと考えられている9)

18.2 抗炎症・鎮痛作用

  1. 18.2.1 軟膏及びクリームはラットのカラゲニン皮膚浮腫、マウスのピクリルクロリド接触皮膚炎、モルモットの紫外線紅斑などの皮膚炎症に対して有意な抗炎症作用を示した10),11)
  2. 18.2.2 軟膏及びクリームはラットのカラゲニン炎症足を用いたランダル・セリット法による疼痛試験で、有意な局所鎮痛作用が認められた10),11)

18.3 尋常性ざ瘡に対する作用

  1. 18.3.1 クリームはウサギ耳のテトラデカンによる実験的面皰において、面皰毛孔径の増大を抑制し、皮膚の総脂質及びトリグリセリドの増加を有意に抑制した。遊離脂肪酸の増加に対しては抑制傾向を示した12)
  2. 18.3.2 イブプロフェンピコノールはモルモット皮膚リパーゼ活性及びPropionibacterium acnes由来のリパーゼ活性をin vitroで強く抑制した12)

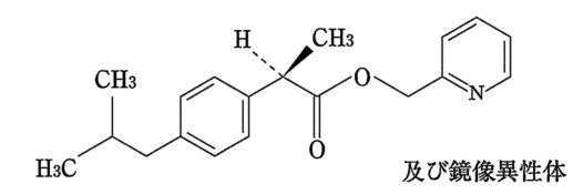
19. 有効成分に関する理化学的知見

一般的名称

イブプロフェンピコノール(Ibuprofen Piconol)

化学名

Pyridin-2-ylmethyl(2RS)-2-[4-(2-methylpropyl)phenyl]propanoate

分子式

C19H23NO2

分子量

297.39

性状

無色~微黄色澄明の液で、においはないか、又はわずかに特異なにおいがある。メタノール、エタノール(95)、アセトン又は酢酸(100)と混和する。水にほとんど溶けない。光により分解する。旋光性を示さない。

化学構造式

分配係数

∞(pH7.0、クロロホルム/水)

粘度

約43mm2s-1(20℃)

沸点

約178℃(減圧1mmHg)

22. 包装

  • 〈ベシカム軟膏5%〉

    200g[10g(アルミチューブ)×20本]
    500g(プラスチック容器)

  • 〈ベシカムクリーム5%〉

    200g[10g(アルミチューブ)×20本]
    500g(プラスチック容器)

24. 文献請求先及び問い合わせ先

久光製薬株式会社 お客様相談室

〒135-6008 東京都江東区豊洲三丁目3番3号

TEL. 0120-381332
FAX.(03)5293-1723
受付時間/9:00-17:50(土日・祝日・会社休日を除く)

26. 製造販売業者等

26.1 製造販売元

久光製薬株式会社

〒841-0017 鳥栖市田代大官町408番地

〒100-0013 東京都千代田区霞が関3-3-2 新霞が関ビル

画面を閉じる

Copyright © Pharmaceuticals and Medical Devices Agency, All Rights reserved.