医療用医薬品 詳細表示

リドカインテープ18mg「ニプロ」

処方せん医薬品以外の医薬品

添付文書番号
企業コード
作成又は改訂年月
日本標準商品分類番号
薬効分類名
承認等
一般的名称
2.禁忌(次の患者には投与しないこと)
3.組成・性状
3.1組成
3.2製剤の性状
4.効能・効果
6.用法・用量
7.用法・用量に関連する注意
9.特定の背景を有する患者に関する注意
9.5妊婦
9.6授乳婦
9.7小児等
10.相互作用
10.2併用注意(併用に注意すること)
11.副作用
11.1重大な副作用
11.2その他の副作用
13.過量投与
14.適用上の注意
15.その他の注意
15.1臨床使用に基づく情報
16.薬物動態
16.1血中濃度
16.5排泄
16.8その他
17.臨床成績
17.1有効性及び安全性に関する試験
18.薬効薬理
18.1作用機序
19.有効成分に関する理化学的知見
22.包装
23.主要文献
24.文献請求先及び問い合わせ先
26.製造販売業者等

リドカインテープ18mg「ニプロ」

添付文書番号

1214701S1078_2_04

企業コード

650037

作成又は改訂年月

2024年3月改訂(第1版)

日本標準商品分類番号

871214

薬効分類名

貼付用局所麻酔剤

承認等

リドカインテープ18mg「ニプロ」

販売名コード

YJコード

1214701S1078

販売名英語表記

LIDOCAINE TAPES

販売名ひらがな

りどかいんてーぷ18mg「にぷろ」

承認番号等

承認番号

22300AMX00813

販売開始年月

2011年11月

貯法・有効期間

貯法

室温保存

有効期間

3年

規制区分

劇薬

一般的名称

リドカイン

2. 禁忌(次の患者には投与しないこと)

本剤の成分又はアミド型局所麻酔薬に対し過敏症の既往歴のある患者

3. 組成・性状

3.1 組成

リドカインテープ18mg「ニプロ」

有効成分1枚中 日本薬局方 リドカイン   18mg
添加剤アクリル酸2-エチルヘキシル・アクリル酸ブチル・ジアセトンアクリルアミド共重合体溶液

3.2 製剤の性状

リドカインテープ18mg「ニプロ」

大きさ50.0mm×30.5mm
膏体の質量60mg
性状わずかに白色半透明の膏体を支持体に展延し、膏体表面をライナーで被覆した貼付剤

4. 効能・効果

  • 静脈留置針穿刺時の疼痛緩和
  • 伝染性軟属腫摘除時の疼痛緩和
  • 皮膚レーザー照射療法時の疼痛緩和

6. 用法・用量

  • 〈静脈留置針穿刺時の疼痛緩和〉

    本剤を1回1枚、静脈留置針穿刺予定部位に約30分間貼付する。

  • 〈伝染性軟属腫摘除時の疼痛緩和〉

    通常、小児には本剤1回2枚までを、伝染性軟属腫摘除予定部位に約1時間貼付する。

  • 〈皮膚レーザー照射療法時の疼痛緩和〉

    通常、成人には本剤1回6枚まで、小児には下記枚数までを、レーザー照射予定部位に約1時間貼付する。

    年齢

    1回あたりの最大貼付枚数

    3歳以下

    2枚

    4歳~5歳

    3枚

    6歳~7歳

    4枚

    8歳~9歳

    5枚

    10歳以上

    6枚

7. 用法・用量に関連する注意

  • 〈効能共通〉
    1. 7.1 本剤除去後直ちに処置等を行うこと。
  • 〈伝染性軟属腫摘除時の疼痛緩和〉
    1. 7.2 本剤を患部に応じた適切な大きさに切って貼付すること。
  • 〈皮膚レーザー照射療法時の疼痛緩和〉
    1. 7.3 小児における本剤の貼付枚数は、体重、患部の大きさを考慮して、必要最小限にとどめること。,

9. 特定の背景を有する患者に関する注意

9.5 妊婦

妊婦又は妊娠している可能性のある女性には、治療上の有益性が危険性を上回ると判断される場合にのみ使用すること。

9.6 授乳婦

治療上の有益性及び母乳栄養の有益性を考慮し、授乳の継続又は中止を検討すること。

9.7 小児等

低出生体重児、新生児及び乳児を対象とした臨床試験は実施していない。

10. 相互作用

  • 本剤は、主として肝代謝酵素CYP1A2及びCYP3A4で代謝される。

10.2 併用注意(併用に注意すること)

薬剤名等臨床症状・措置方法機序・危険因子

クラスⅢ抗不整脈剤

  • アミオダロン
  • ニフェカラント等

心機能抑制作用が増強するおそれがあるので、心電図検査等によるモニタリングを行うこと。

作用が増強することが考えられる。

11. 副作用

次の副作用があらわれることがあるので、観察を十分に行い、異常が認められた場合には投与を中止するなど適切な処置を行うこと。

11.1 重大な副作用

  1. 11.1.1 ショック、アナフィラキシー(いずれも頻度不明)

    不快感、口内異常感、喘鳴、眩暈、便意、耳鳴、発汗、全身潮紅、呼吸困難、血管浮腫(顔面浮腫、喉頭浮腫等)、血圧低下、顔面蒼白、脈拍の異常、意識障害等の異常が認められた場合には使用を中止し、適切な処置を行うこと。
    なお、本剤除去後にも、同様の症状を起こすことがあるので、注意すること。

11.2 その他の副作用

0.1~5%未満

0.1%未満

頻度不明

過敏症

発赤、そう痒

蕁麻疹

接触皮膚炎、刺激感、熱感

皮膚

色素沈着、適用部位疼痛、皮膚剥離1)

貼付が長時間にわたると皮膚症状が強くあらわれるおそれがあるので注意すること。
1) 本剤除去時に起こることがあるので注意すること。

13. 過量投与

局所麻酔剤の血中濃度の上昇に伴い、中毒が発現する。その症状は、主に中枢神経系及び心血管系の徴候、症状としてあらわれる。

  1. 13.1 徴候、症状
    1. 13.1.1 中枢神経系の症状

      初期症状として不安、興奮、多弁、口周囲の知覚麻痺、舌のしびれ、ふらつき、聴覚過敏、耳鳴、視覚障害、振戦等があらわれる。症状が進行すると意識消失、全身痙攣があらわれ、これらの症状に伴い低酸素血症、高炭酸ガス血症が生じるおそれがある。より重篤な場合には呼吸停止を来すこともある。

    2. 13.1.2 心血管系の症状

      血圧低下、徐脈、心筋収縮力低下、心拍出量低下、刺激伝導系の抑制、心室性頻脈及び心室細動等の心室性不整脈、循環虚脱、心停止等があらわれる。

  2. 13.2 処置

    以下の治療を行うことが望ましい。

    1. 13.2.1 中枢神経系及び心血管系の症状が起きたら直ちに本剤を剥離する。
    2. 13.2.2 振戦や痙攣が著明であれば、ジアゼパム又は超短時間作用型バルビツール酸製剤(チオペンタールナトリウム等)を投与する。

14. 適用上の注意

14.1 薬剤使用時の注意

  • 〈効能共通〉
    1. 14.1.1 湿疹又は発疹の部位に使用しないこと。
    2. 14.1.2 損傷皮膚及び粘膜に使用しないこと。
    3. 14.1.3 本剤を切って使用した場合、残薬は廃棄すること。
    4. 14.1.4 使用期限内であっても、開封後はなるべく速やかに使用すること。
  • 〈静脈留置針穿刺時の疼痛緩和〉
    1. 14.1.5 本剤を皮膚からはがした後、穿刺部位を消毒すること。

15. その他の注意

15.1 臨床使用に基づく情報

  • 〈効能共通〉
    1. 15.1.1 ポルフィリン症の患者に投与した場合、急性腹症、四肢麻痺、意識障害等の急性症状を誘発するおそれがある。
  • 〈皮膚レーザー照射療法時の疼痛緩和〉
    1. 15.1.2 シミ、シワ、ニキビ跡、脱毛等(半導体レーザーや炭酸ガスレーザー等を用いた皮膚レーザー照射療法)に対する本剤の有効性及び安全性は検討されていない。,

16. 薬物動態

16.1 血中濃度

  1. 16.1.1 健康成人

    健康成人男子6例の上肢内側にリドカインテープ2枚(リドカインとして36mg)を単回貼付(4時間)2)したときの薬物動態パラメータは次のとおりであった。また、貼付開始24時間後の血清中リドカイン濃度は定量限界(2ng/mL)未満であった1)

    表 薬物動態パラメータ

    Cmax
    (ng/mL)

    Tmax
    (hr)

    AUC0-28
    (ng・hr/mL)

    T1/2
    (hr)

    13.2±14.0

    6

    90.5±53.8

    1.7

    平均±標準偏差

  2. 16.1.2 伝染性軟属腫患者

    6~8歳の小児伝染性軟属腫患者18例の体幹又は四肢に、リドカインテープ2枚(リドカインとして36mg)を非分割群12例又は分割群(1枚につき8分割)6例に単回貼付(2時間)2)したときの血清中リドカイン濃度を測定した。各時点における血清中リドカイン濃度は次のとおりであった。なお、被験者毎の測定ポイントは2点であった2)

    表 血清中リドカイン濃度の推移

    非分割群

    分割群

    貼付後時間


    平均
    ±標準偏差

    最小値-最大値
    (中央値)


    平均
    ±標準偏差

    最小値-最大値
    (中央値)

    1時間

    6

    1.86±3.62

    0.000-9.182
    (0.3580)

    2時間
    (除去直後)

    12

    30.15±56.74

    0.000-195.7
    (5.075)

    6

    12.52±7.99

    0.9547-23.37
    (13.00)

    4時間
    (除去後2時間)

    6

    13.85±9.73

    1.457-27.31
    (12.98)

    6

    10.62±4.87

    3.627-17.97
    (11.33)

    (ng/mL)

  3. 16.1.3 皮膚レーザー照射療法患者

    成人の太田母斑、扁平母斑患者12例の顔面母斑患部に、リドカインテープ1枚(リドカインとして18mg)又は3枚(リドカインとして54mg)を2時間貼付2)したときの薬物動態パラメータ及び血清中リドカイン濃度推移は次のとおりであった3)

    表 薬物動態パラメータ

    投与群

    例数

    Cmax
    (ng/mL)

    Tmax
    (hr)

    AUC0-24
    (ng・hr/mL)

    T1/2
    (hr)

    1枚貼付群

    6

    25.2±22.5

    2.2±0.4

    112.7±86.4

    3.7±0.9

    3枚貼付群

    6

    92.4±68.8

    2.2±0.4

    395.9±259.0

    3.7±1.0

    平均±標準偏差

    図 血清中リドカイン濃度の経時的推移

    また、成人の太田母斑、扁平母斑、異所性蒙古斑、外傷性色素沈着症患者58例に、リドカインテープ1枚~6枚を1時間貼付したときの血清中リドカイン濃度の最大値は144.8ng/mL(顔面3枚貼付、除去直後時)4)、1歳以上の小児及び成人血管腫患者(単純性血管腫、苺状血管腫、毛細血管拡張症)42例に、リドカインテープ1枚~6枚を1時間貼付したときの血清中リドカイン濃度の最大値は小児で322.1ng/mL(1歳、体重11kg、顔面2枚貼付、除去直後時)、成人で206.7ng/mL(52歳、体重46kg、顔面6枚貼付、除去直後時)であった5),6)

16.5 排泄

健康成人男子6例に、リドカインテープ2枚(リドカインとして36mg)を単回貼付(4時間)2)したときの除去後24時間(貼付開始後28時間)までのリドカイン未変化体の累積尿中排泄率は、貼付量の0.04%であった1)

16.8 その他

  1. 16.8.1 生物学的同等性試験

    リドカインテープ18mg「ニプロ」とペンレステープ18mgを健康成人男子の前腕内側に30分間貼付し、貼付箇所の角質層中薬物量(角質層中リドカイン量)を測定した。得られた角質層中薬物量について90%信頼区間法にて統計解析を行った結果、log(0.80)~log(1.25)の範囲内であり、両剤の生物学的同等性が確認された7)

    表 生物学的同等性パラメータ

    平均角質層中薬物量(μg)

    リドカインテープ18mg「ニプロ」

    28.230±17.652

    ペンレステープ18mg

    30.834±20.112

    (Mean±S.D.,n=12)

    2) 本剤の承認用法・用量と異なる。

17. 臨床成績

17.1 有効性及び安全性に関する試験

  • 〈伝染性軟属腫摘除時の疼痛緩和〉
    1. 17.1.1 国内第Ⅲ相試験

      国内8施設で実施された小児(4~11歳)を対象としたプラセボ対照二重盲検比較試験8)における、リドカインテープ貼付部位の疼痛緩和効果の有効率3)は83.6%(51/61例)であった。副作用は総症例61例中、2例(3.3%)に認められ、その内訳は適用部位皮膚炎1件(1.6%)、適用部位そう痒感1件(1.6%)であった。

      3) 優劣比較判定が評価された例数において疼痛緩和効果が認められた例数の割合

  • 〈皮膚レーザー照射療法時の疼痛緩和〉
    1. 17.1.2 国内第Ⅲ相比較試験

      太田母斑、扁平母斑、異所性蒙古斑、外傷性色素沈着症に対する皮膚レーザー照射療法を受ける患者を対象に、国内15施設で実施されたプラセボ対照二重盲検比較試験4),9)における、リドカインテープ貼付部位のVAS変化率4)はプラセボに比較して有意に優った。副作用は総症例58例中、4例(6.9%)に認められ、その内訳は適用部位紅斑3件(5.2%)、蕁麻疹1件(1.7%)であった。
      なお、リドカインテープの最大使用枚数は、6枚であった。

      表 VAS変化率

      例数

      VAS変化率(%)

      リドカインテープ18mg

      58

      -26.71±41.69

      プラセボ

      30

      -6.74±35.08

      平均±標準偏差

      (p=0.0274、2標本t検定、95%信頼区間:-37.67~-2.28、VAS変化率の群間差:-19.97)

      4) VAS(Visual Analogue Scale):100mmのスケールを用い痛みを評価する視覚アナログスケール。数値が大きい方が痛みは強い。
      VAS変化率:-(非貼付部位のVAS値-貼付部位のVAS値)/非貼付部位のVAS値×100

    2. 17.1.3 国内第Ⅲ相一般臨床試験

      国内4施設で実施された1歳以上の小児及び成人の血管腫(単純性血管腫、苺状血管腫、毛細血管拡張症)患者を対象とした非盲検非対照試験5),6)において、痛みの評価が可能であった患者におけるリドカインテープ貼付部位の痛みは「痛くないまたはレーザー照射の感覚はあるが痛くない」が34.5%(10/29例)、「少し痛い」が58.6%(17/29例)、「痛い」が6.9%(2/29例)であり、「すごく痛い」は0%(0/29例)であった。副作用は総症例42例中、1例(2.4%)に適用部位紅斑が認められた。
      なお、リドカインテープの最大使用枚数は、成人で6枚、小児で2枚(1歳以上、体重10.1kg以上)であった。,

18. 薬効薬理

18.1 作用機序

神経細胞膜のNaチャネルを抑制することによって神経の活動電位発生を抑制するという局所麻酔薬共通の作用により、知覚神経の求心性伝導を抑制する10)

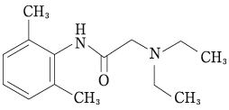
19. 有効成分に関する理化学的知見

一般的名称

リドカイン(Lidocaine)

化学名

2-Diethylamino-N -(2,6-dimethylphenyl)acetamide

分子式

C14H22N2O

分子量

234.34

性状

  • 白色~微黄色の結晶又は結晶性の粉末である。
  • メタノール又はエタノール(95)に極めて溶けやすく、酢酸(100)又はジエチルエーテルに溶けやすく、水にほとんど溶けない。
  • 希塩酸に溶ける。

化学構造式

融点

66~69℃

22. 包装

50枚(1枚×50)
200枚(1枚×200)

24. 文献請求先及び問い合わせ先

ニプロ株式会社 医薬品情報室

〒566-8510 大阪府摂津市千里丘新町3番26号

TEL 0120-226-898
FAX 050-3535-8939

26. 製造販売業者等

26.1 製造販売元

ニプロファーマ株式会社

大阪府摂津市千里丘新町3番26号

26.2 販売元

ニプロ株式会社

大阪府摂津市千里丘新町3番26号

〒100-0013 東京都千代田区霞が関3-3-2 新霞が関ビル

画面を閉じる

Copyright © Pharmaceuticals and Medical Devices Agency, All Rights reserved.