医療用医薬品 詳細表示

テクネMAG3キット

添付文書番号

4300444G1021_2_01

企業コード

651410

作成又は改訂年月

2022年3月改訂(第2版)
2021年5月改訂(第1版)

日本標準商品分類番号

874300

薬効分類名

放射性医薬品/腎及び尿路疾患診断薬

承認等

テクネMAG3キット

販売名コード

YJコード

4300444G1021

販売名英語表記

Techne MAG3 Kit

販売名ひらがな

てくねMAG3きっと

承認番号等

承認番号

20600AMZ00037000

販売開始年月

1994年5月

貯法・有効期間

貯法

室温保存

有効期間

製造日から24箇月間

一般的名称

メルカプトアセチルグリシルグリシルグリシンテクネチウム(99mTc)注射液(放射性医薬品基準)

3. 組成・性状

3.1 組成

テクネMAG3キット

有効成分1バイアル中 ベンゾイルメルカプトアセチルグリシルグリシルグリシン   0.10mg
添加剤塩化スズ(Ⅱ)二水和物 0.010mg、乳糖水和物 適量、酒石酸ナトリウム二水和物 40mg、塩酸 適量

3.2 製剤の性状

テクネMAG3キット

pH調製後注射液:5.5~6.5
浸透圧比調製後注射液:約2(生理食塩液に対する比)
外観ベンゾイルメルカプトアセチルグリシルグリシルグリシン:白色の均質な粉末
調製後注射液(メルカプトアセチルグリシルグリシルグリシンテクネチウム(99mTc)注射液):無色澄明の液

4. 効能又は効果

シンチグラフィ及びレノグラフィによる腎及び尿路疾患の診断

6. 用法及び用量

本品に、放射性医薬品基準過テクネチウム酸ナトリウム(99mTc)注射液ジェネレータの溶出液200~400MBq(1~2mL)を加えてふり混ぜ、95~99℃で10分間加熱したのち、室温で約15分間放冷する。
通常、成人には200~400MBqを静脈内に投与する。被検部に検出器を向け、投与直後から動態画像を得るとともに、データ処理装置にデータを収集し、画像上に関心領域を設定することによりレノグラムを得る。また、必要に応じて有効腎血流量または有効腎血漿流量を測定する。
なお、投与量は、年齢、体重および検査目的により適宜増減する。

8. 重要な基本的注意

診断上の有益性が被曝による不利益を上回ると判断される場合にのみ投与することとし、投与量は最小限度にとどめること。

9. 特定の背景を有する患者に関する注意

9.5 妊婦

妊婦又は妊娠している可能性のある女性には、診断上の有益性が被曝による不利益を上回ると判断される場合にのみ投与すること。

9.6 授乳婦

診断上の有益性及び母乳栄養の有益性を考慮し、授乳の継続又は中止を検討すること。

9.7 小児等

小児等を対象とした臨床試験は実施していない。

9.8 高齢者

患者の状態を十分に観察しながら慎重に投与すること。一般に生理機能が低下している。

11. 副作用

次の副作用があらわれることがあるので、観察を十分に行い、異常が認められた場合には適切な処置を行うこと。

11.1 重大な副作用

  1. 11.1.1 ショック(頻度不明)

14. 適用上の注意

14.1 薬剤調製時の注意

  1. 14.1.1 放射化学的純度に及ぼすテクネチウム99などの影響を除くため、放射性医薬品基準過テクネチウム酸ナトリウム(99mTc)注射液ジェネレータから溶出後、6時間以内の溶出液を使用すること。
  2. 14.1.2 本品の調製時に加える過テクネチウム酸ナトリウム(99mTc)注射液の調製放射能量と液量が「6.用法及び用量」に示す量を越えた場合、腎集積性が低下する場合があるので、「6.用法及び用量」に示す調製量を遵守すること。
  3. 14.1.3 本品の調製は無菌的に行い、また適当な鉛容器で遮蔽して行うこと。
  4. 14.1.4 本品の調製の際、バイアル内に空気を入れないこと、またバイアル内を陽圧にしないこと。
  5. 14.1.5 本品は調製後6時間以内に投与すること。
  6. 14.1.6 調製後は、放射線を安全に遮蔽できる貯蔵設備(貯蔵箱)に保存すること。

16. 薬物動態

16.3 分布

  1. 16.3.1 メルカプトアセチルグリシルグリシルグリシンテクネチウム(99mTc)(99mTc-MAG3)は、静注直後より迅速に腎尿細管細胞へ集積し、速やかに尿中へ排泄される。排泄の大部分が尿細管細胞からの選択的分泌であり、糸球体濾過率は非常に低い1),2)
  2. 16.3.2 吸収線量

    MIRD法により計算した吸収線量は次のとおりである3)

    臓器

    吸収線量(mGy/200MBq)

    臓器

    吸収線量(mGy/200MBq)

    全身

    0.083

    0.028

    甲状腺

    0.0006

    小腸

    0.234

    心臓

    0.369

    大腸上部

    0.128

    0.010

    大腸下部

    0.280

    肝臓

    0.146

    膀胱

    5.779

    脾臓

    0.048

    0.041

    副腎

    0.044

    骨髄

    0.099

    腎臓

    0.446

    精巣

    0.170

    膵臓

    0.027

    卵巣

    0.284

    皮膚

    0.023

    他の組織

    0.073

16.5 排泄

男性健常人を対象とした臨床試験における99mTc-MAG3の累積尿中排泄率は、投与後30分で投与量の77.1%、180分では94.1%であり、尿中への排泄は迅速であった3)

17. 臨床成績

17.1 有効性及び安全性に関する試験

  1. 17.1.1 国内第Ⅲ相臨床試験

    腎及び尿路疾患患者357例を対象とした臨床試験の結果、有効性解析症例347例全例(100%)が「きわめて有用」、「有用」と評価された4)

    疾患名

    症例数

    有用率

    腎実質性病変

    116

    100%

    腎腫瘤性病変

    23

    100%

    水腎症

    23

    100%

    その他の腎疾患

    35

    100%

    尿管系疾患

    43

    100%

    膀胱腫瘍

    11

    100%

    その他膀胱疾患

    3

    100%

    下部尿路系病変

    11

    100%

    腎移植

    82

    100%

    合計

    347

    100%

    ※「きわめて有用」、「有用」、「やや有用」、「無用」の4段階で判定し、「有用」以上の割合を有用率とした。
    総症例357症例中、副作用は認められなかった。

18. 薬効薬理

18.1 測定法

本剤の有効成分に含まれる放射性核種から放出される放射線(ガンマ線)が核医学検査装置により画像化される。

18.2 集積機序

99mTc-MAG3は、排泄の大部分が尿細管細胞からの選択的分泌であり、糸球体濾過率は非常に低い1),2)

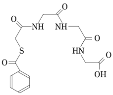
19. 有効成分に関する理化学的知見

19.1 メルカプトアセチルグリシルグリシルグリシンテクネチウム(99mTc)

調製前の化合物:ベンゾイルメルカプトアセチルグリシルグリシルグリシン

・分子式:

C15H17N3O6S

・分子量:

367.38

・化学構造式:

核物理学的特性(99mTcとして)

  • 物理的半減期:6.015時間
  • 主なγ線エネルギー:141keV(89.1%)
  • 減衰表:

    経過時間
    (時間)

    残存放射能
    (%)

    経過時間
    (時間)

    残存放射能
    (%)

    経過時間
    (時間)

    残存放射能
    (%)

    -3

    141.3

    9

    35.4

    21

    8.9

    -2

    125.9

    10

    31.6

    22

    7.9

    -1

    112.2

    11

    28.2

    23

    7.1

    0

    100

    12

    25.1

    24

    6.3

    1

    89.1

    13

    22.4

    25

    5.6

    2

    79.4

    14

    19.9

    26

    5.0

    3

    70.8

    15

    17.8

    27

    4.5

    4

    63.1

    16

    15.8

    28

    4.0

    5

    56.2

    17

    14.1

    29

    3.5

    6

    50.1

    18

    12.6

    30

    3.2

    7

    44.6

    19

    11.2

    8

    39.8

    20

    10.0

22. 包装

2バイアル

24. 文献請求先及び問い合わせ先

*PDRファーマ株式会社 製品情報センター

〒104-0031 東京都中央区京橋2-14-1 兼松ビルディング

電話番号 0120-383-624

26. 製造販売業者等

26.1 *製造販売元

PDRファーマ株式会社

東京都中央区京橋2-14-1 兼松ビルディング

〒100-0013 東京都千代田区霞が関3-3-2 新霞が関ビル

画面を閉じる

Copyright © Pharmaceuticals and Medical Devices Agency, All Rights reserved.