医療用医薬品 詳細表示

フルデオキシグルコース(18F)静注「FRI」

処方せん医薬品

添付文書番号
企業コード
作成又は改訂年月
日本標準商品分類番号
薬効分類名
承認等
一般的名称
3.組成・性状
3.1組成
3.2製剤の性状
4.効能又は効果
6.用法及び用量
7.用法及び用量に関連する注意
8.重要な基本的注意
9.特定の背景を有する患者に関する注意
9.5妊婦
9.6授乳婦
9.7小児等
9.8高齢者
10.相互作用
10.2併用注意(併用に注意すること)
11.副作用
11.2その他の副作用
14.適用上の注意
16.薬物動態
16.3分布
16.4代謝
16.5排泄
17.臨床成績
17.1有効性及び安全性に関する試験
18.薬効薬理
18.2*集積機序
18.3*疾患特性
18.1測定法
19.有効成分に関する理化学的知見
20.取扱い上の注意
21.承認条件
22.包装
23.主要文献
24.文献請求先及び問い合わせ先
26.製造販売業者等

フルデオキシグルコース(18F)静注「FRI」

添付文書番号

4300448A1043_2_03

企業コード

651410

作成又は改訂年月

2024年3月改訂(第2版、効能追加)
2022年10月改訂(第1版)

日本標準商品分類番号

874300

薬効分類名

放射性医薬品/悪性腫瘍診断薬
虚血性心疾患診断薬
てんかん診断薬

承認等

フルデオキシグルコース(18F)静注「FRI」

販売名コード

YJコード

4300448A1043

販売名英語表記

Fludeoxyglucose(18F)Injection FRI

販売名ひらがな

ふるでおきしぐるこーす(18F)じょうちゅう「FRI」

承認番号等

承認番号

22900AMX00383000

販売開始年月

2017年8月

貯法・有効期間

貯法

室温保存

有効期間

検定日時から30分

一般的名称

フルデオキシグルコース(18F)注射液

3. 組成・性状

3.1 組成

フルデオキシグルコース(18F)静注「FRI」

1バイアル中  1~9mL
有効成分フルデオキシグルコース(18F)  74~370MBq(検定日時)※
添加剤塩化ナトリウム  9~81mg
ベンジルアルコール  2~18mg
※検定日時においてフルデオキシグルコース(18F)を74~370MBq含有するように、製剤ごとに異なる放射能量が充填されている。

3.2 製剤の性状

フルデオキシグルコース(18F)静注「FRI」

pH5.0~7.5
浸透圧比約1(生理食塩液に対する比)
外観無色~微黄色澄明の液

4. 効能又は効果

  • *悪性腫瘍の診断
    ・肺癌、乳癌、膵癌(他の検査、画像診断により癌の存在を疑うが、病理診断により確定診断が得られない場合、あるいは、他の検査、画像診断により病期診断、転移・再発の診断が確定できない場合)の診断
    ・頭頸部癌、胸膜中皮腫、食道癌、胃癌、大腸癌、消化管間質腫瘍、肝癌、胆道癌、膀胱癌、腎盂・尿管癌、子宮癌、卵巣癌、骨軟部腫瘍、皮膚癌、悪性リンパ腫、悪性黒色腫(他の検査、画像診断により病期診断、転移・再発の診断が確定できない場合)の診断
    ・脳腫瘍、胸腺腫瘍、腎癌、精巣腫瘍、甲状腺癌(他の検査、画像診断により転移・再発の診断が確定できない場合)の診断
    ・多発性骨髄腫が疑われる又は多発性骨髄腫患者における骨病変又は髄外病変の可視化(他の検査、画像診断により骨病変又は髄外病変の存在が疑われる場合)
    ・原発不明癌(リンパ節生検、CT等で転移巣が疑われ、かつ、腫瘍マーカーが高値を示す等、悪性腫瘍の存在を疑うが、原発巣の不明な場合)の診断
  • 虚血性心疾患(左室機能が低下している虚血性心疾患による心不全患者で、心筋組織のバイアビリティ診断が必要とされ、かつ、通常の心筋血流シンチグラフィで判定困難な場合)の診断
  • 難治性部分てんかんで外科切除が必要とされる場合の脳グルコース代謝異常領域の診断
  • 大型血管炎の診断における炎症部位の可視化
  • *心サルコイドーシスが疑われる又は心サルコイドーシス患者における炎症部位の可視化

6. 用法及び用量

通常、成人には本剤1バイアルを静脈内に投与し撮像する。投与量(放射能)は、年齢、体重により適宜増減するが、最小74MBq、最大370MBqまでとする。

7. 用法及び用量に関連する注意

撮像開始時間は検査目的に応じて設定すること。連続的な動態イメージングを行う場合は本剤投与直後より、静止画像を得る場合は本剤投与後30~40分以降に撮像する。

8. 重要な基本的注意

診断上の有益性が被曝による不利益を上回ると判断される場合にのみ投与することとし、投与量は最小限度にとどめること。

9. 特定の背景を有する患者に関する注意

9.5 妊婦

診断上やむを得ないと判断される場合を除き、投与しないこと。動物試験において胎児移行性が報告されている1)

9.6 授乳婦

授乳を避けさせること。授乳婦に投与した場合、24時間授乳を中止し投与後12時間は乳幼児との密接な接触を避けるよう指導すること。

9.7 小児等

  1. 9.7.1 小児等を対象とした臨床試験は実施していない。
  2. 9.7.2 低出生体重児、新生児に使用する場合には十分注意すること。外国において、ベンジルアルコールの静脈内大量投与(99~234mg/kg)により、中毒症状(あえぎ呼吸、アシドーシス、痙攣等)が低出生体重児に発現したとの報告がある。本剤は添加剤としてベンジルアルコールを含有している。

9.8 高齢者

患者の状態を十分に観察しながら慎重に投与すること。一般に生理機能が低下している。

10. 相互作用

    10.2 併用注意(併用に注意すること)

    薬剤名等臨床症状・措置方法機序・危険因子

    膵臓ホルモン
    インスリン

    本剤投与前4時間以内のインスリンの投与は避けること。

    本剤の腫瘍への集積とバックグラウンドとのコントラストが低下する可能性がある2)

    11. 副作用

    次の副作用があらわれることがあるので、観察を十分に行い、異常が認められた場合には投与を中止するなど適切な処置を行うこと。

    11.2 その他の副作用

    1~2%未満

    0.1~1%未満

    頻度不明

    血液

    好中球百分率増加、リンパ球百分率減少

    腎臓

    尿蛋白陽性、尿潜血陽性、尿糖陽性

    血中尿素窒素増加

    肝臓

    血中ビリルビン増加

    皮膚

    そう痒感、蕁麻疹

    発疹、紅斑、発赤

    消化器

    嘔気、嘔吐

    その他

    血圧上昇、血圧低下、気分不良、発熱、血中カリウム増加、血中カリウム減少、血中アルブミン減少

    頻度は製造販売後臨床試験を含む

    14. 適用上の注意

    14.1 薬剤調製時の注意

    本剤は、患者ごとに適切な投与量となるように製造された製剤であることから、本剤の取違え防止のため、投与にあたっては、本剤の製剤ラベルの表示を確認し、意図した患者へ確実に投与すること。

    14.2 薬剤投与時の注意

    • 〈効能共通〉
      1. 14.2.1 本剤の生理的集積の増加を避けるため、本剤投与前から撮像前は安静にして、投与後も激しい運動等は行わないこと。
      2. 14.2.2 本剤の集積は血糖値の影響を受ける可能性があるため、糖尿病患者では血糖をコントロールするなど、本剤投与時には適切に血糖値を安定化させること。
        なお、血糖値200mg/dL以上では、本剤の患部への集積の低下により偽陰性所見を呈する可能性が高いため、投与しないことが望ましい。
    • 〈心サルコイドーシスが疑われる又は心サルコイドーシス患者における炎症部位の可視化以外の効能共通〉
      1. 14.2.3 *本剤投与前4時間以上は絶食すること。
    • 〈心サルコイドーシスが疑われる又は心サルコイドーシス患者における炎症部位の可視化〉
      1. 14.2.4 *本剤投与前、少なくとも12時間は絶食すること。可能な場合は18時間絶食すること。絶食前は低炭水化物糖質制限食が望ましい。

    14.3 薬剤投与後の注意

    膀胱部の被曝を軽減させるため及び骨盤部読影の妨げとなる膀胱の描出を避けるため、撮像前後にできるだけ排尿させること。

    14.4 診断上の注意

    • 〈効能共通〉
      1. 14.4.1 本剤の生理的集積及び病変部位の解剖学的位置を正確に把握するためには、他の画像検査所見を参考にすること。
      2. 14.4.2 確定診断が必要な場合、生検等を実施することが望ましい。
    • 〈悪性腫瘍の診断〉
      1. 14.4.3 本剤は炎症等に集積し偽陽性所見を呈する可能性があるため、注意すること3),4)
      2. 14.4.4 *悪性腫瘍の種類によっては糖代謝の活性や解剖学的な位置等により病変を検出できない可能性があるため、注意すること。
      3. 14.4.5 微小な腫瘍を検出できない可能性があるため、注意すること。
      4. 14.4.6 悪性黒色腫の診断において、所属リンパ節転移に対する本剤の感度は低いため、所属リンパ節転移の見落としに注意すること。
    • 〈虚血性心疾患の診断〉
      1. 14.4.7 心筋バイアビリティ診断において絶食する場合、健常部心筋への本剤の集積が抑制されない例があり、虚血心筋(糖代謝が亢進している)との鑑別に注意を要することがある。

    16. 薬物動態

    16.3 分布

    1. 16.3.1 *フルデオキシグルコース(18F)注射液は血中から速やかに消失して主に脳へ分布し、その分布率は投与量の約25%(25%ID)、単位重量(g)あたりで約0.015%ID/gであった。心臓への分布は被験者ごとに傾向が異なり、最も多く分布した例では約5%ID、単位重量(g)あたりで約0.014%ID/gであった。肺、肝臓、腎臓、脾臓、腸管、精巣及び全身筋肉への放射能の滞留はほとんどみられなかった5)
    2. 16.3.2 *吸収線量

      MIRD法により算出した吸収線量は次のとおりである6)

      臓器

      吸収線量(mGy/185MBq)

      19.0

      心臓

      8.3

      2.0

      肝臓

      3.7

      脾臓

      2.6

      小腸

      1.6

      大腸上部壁

      1.6

      大腸下部壁

      1.9

      腎臓

      4.4

      赤色骨髄

      1.7

      甲状腺

      1.6

      精巣

      1.5

      卵巣

      1.9

      膀胱壁

      19.0

      全身

      1.9

      2時間ごとに排尿した場合

    16.4 代謝

    *フルデオキシグルコース(18F)注射液は血漿中でほとんど代謝されずに存在し、未変化体のまま尿中に排泄されることが示された6)

    16.5 排泄

    *尿中放射能累積排泄率は経時的に増加し、投与後6時間で約32%IDであった。主たる排泄経路は腎・尿路系であることが示された6)

    17. 臨床成績

    17.1 有効性及び安全性に関する試験

    • 参考情報(公表論文を集計した成績である)
    • *〈悪性腫瘍〉

      手術適応を検討する非小細胞肺癌患者での所属リンパ節転移診断において、CTに対して、CTにFDG-PETを加えた場合(以下、CT+FDG)の診断能について2試験の成績を合計した。感度はCT 65.8%、CT+FDG 92.1%、特異度はCT 72.4%、CT+FDG 86.7%であり、CTに対するFDG-PETの上乗せ効果が認められた7),8)。また、CTで悪性・良性の鑑別診断が困難な肺結節を有する患者におけるFDG-PETの診断能について2試験の成績を合計した。FDG-PETの感度は96.2%、特異度は75.6%であった9),10)
      また、FDG-PETの診断目的ごとの診断能について、肺癌、乳癌、大腸癌、頭頸部癌、脳腫瘍、膵癌、悪性リンパ腫、原発不明癌及び悪性黒色腫を評価した84試験におけるFDG-PETの試験成績を以下に示す11)

      癌種

      診断目的

      感度

      特異度

      肺癌

      悪性・良性鑑別診断

      92.0%
      (310/337)

      67.4%
      (95/141)

      所属リンパ節転移診断

      78.9%
      (296/375)

      89.4%
      (693/775)

      遠隔転移診断

      93.0%
      (93/100)

      94.3%
      (199/211)

      転移・再発診断

      97.8%
      (88/90)

      78.0%
      (32/41)

      乳癌

      悪性・良性鑑別診断

      76.0%
      (168/221)

      87.7%
      (71/81)

      腋窩リンパ節転移診断

      75.6%
      (344/455)

      87.2%
      (565/648)

      遠隔転移・再発診断

      92.6%
      (189/204)

      89.4%
      (161/180)

      大腸癌

      遠隔転移・再発診断

      95.1%
      (293/308)

      90.3%
      (130/144)

      頭頸部癌

      頸部リンパ節転移診断

      87.7%
      (193/220)

      93.4%
      (1248/1336)

      残存腫瘍・再発診断

      96.8%
      (91/94)

      80.3%
      (122/152)

      遠隔転移又は重複癌の検出

      癌検出率
      7.3%(6/82)

      脳腫瘍

      再発診断

      79.3%
      (69/87)

      82.7%
      (62/75)

      膵癌

      悪性・良性鑑別診断

      86.4%
      (184/213)

      85.2%
      (115/135)

      悪性リンパ腫

      病期診断

      93.8%
      (480/512)

      99.6%
      (2481/2491)

      骨髄浸潤診断

      82.1%
      (32/39)

      93.3%
      (83/89)

      残存腫瘍・再発診断

      77.4%
      (48/62)

      89.5%
      (179/200)

      原発不明癌

      原発巣検出

      癌検出率
      25.8%(42/163)

      悪性黒色腫

      所属リンパ節転移診断

      9.4%
      (3/32)

      94.4%
      (67/71)

      遠隔転移・再発診断

      90.9%
      (251/276)

      71.9%
      (141/196)

      注:転移性肝癌を含む

    • *〈虚血性心疾患〉

      冠動脈疾患及び左室機能低下を示す患者を対象とした14試験におけるFDG-PETの心筋バイアビリティ診断能は感度89.9%(726/808)、特異度64.2%(512/797)であった12)

    • *〈部分てんかん〉

      外科的治療が考慮される部分てんかん患者を対象とした20試験を評価した。全ての試験においてFDG-PETは発作間欠期に実施されていた。術後の発作予後良好例のうち、FDG-PETで示された焦点部位がてんかん焦点の手術部位と一致する例数の割合を一致率として評価した。その結果、FDG-PETの一致率は73.4%(281/383)であった。MRIで異常所見が認められない例において、FDG-PETの一致率は71.1%(32/45)であった。また、側頭葉てんかんにおけるFDG-PETの一致率は、74.4%(169/227)であった。なお、側頭葉てんかんにおける発作時脳血流検査の一致率は、75.8%(138/182)であった13)

    18. 薬効薬理

    18.1 測定法

    本剤の有効成分に含まれる放射性核種から放出される放射線(ガンマ線)が核医学検査装置により画像化される。

    18.2 *集積機序

    フルデオキシグルコース(18F)注射液は、グルコースと同様にグルコーストランスポーターにより細胞に取り込まれ、ヘキソキナーゼによりリン酸化を受けるが、グルコースと異なり解糖系の酵素であるホスホグルコースイソメラーゼによるフルクトースへの異性化反応を受けないことから、リン酸化体として細胞内に滞留する。したがって、その滞留した18F由来のポジトロンを核医学検査装置で追跡することにより、腫瘍細胞の診断、虚血性心疾患における心筋バイアビリティの診断、てんかん焦点の診断、並びに大型血管炎及び心サルコイドーシスにおける炎症部位の可視化が可能となる14),15),16),17)

    18.3 *疾患特性

    1. 18.3.1 腫瘍細胞及び炎症細胞においては、グルコーストランスポーターの発現による糖取り込み能の増加、解糖系の律速酵素であるヘキソキナーゼ活性の亢進並びに糖新生系の酵素であるグルコース-6-ホスファターゼ活性の低下によって、糖代謝が亢進している15),16)
    2. 18.3.2 心筋においては、虚血状態に陥った場合、グルコーストランスポーターの増加による糖取り込み能の増加及び解糖系の律速酵素であるヘキソキナーゼ活性亢進により、糖代謝が亢進している15)
    3. 18.3.3 てんかんの脳においては、焦点及び発作に関係する部位の神経細胞の活動が増加している場合に糖代謝が亢進する一方、神経細胞の活動が減少している場合では糖代謝が低下する15)

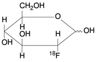
    19. 有効成分に関する理化学的知見

    19.1 フルデオキシグルコース(18F)

    一般名:フルデオキシグルコース(18F)

    Fludeoxyglucose(18F)

    分子式:

    C6H1118FO5

    化学構造式:

    核物理学的特性(18Fとして)

    • 物理的半減期:109.739分
    • 主なγ線エネルギー:0.511MeV
    • 減衰表:

      経過時間
      (分)

      残存放射能
      (%)

      経過時間
      (分)

      残存放射能
      (%)

      -110
      -100
      -90
      -80
      -70
      -60
      -50
      -40
      -30
      -20
      -10
      0
      10

      200.3
      188.1
      176.6
      165.7
      155.6
      146.1
      137.1
      128.7
      120.9
      113.5
      106.5
      100.0
      93.9

      20
      30
      40
      50
      60
      70
      80
      90
      100
      110
      120
      130
      140

      88.1
      82.7
      77.7
      72.9
      68.5
      64.3
      60.3
      56.6
      53.2
      49.9
      46.9
      44.0
      41.3

    20. 取扱い上の注意

    放射線を安全に遮蔽できる貯蔵設備(貯蔵箱)に保存すること。

    21. 承認条件

    放射性医薬品としての特性を考慮し、製品の出荷の可否判定に用いる製造管理及び品質管理に関する試験検査項目を適切に設定するとともに、当該試験結果に基づき、適切な流通管理が行われるよう製造販売にあたって適正な措置を講ずること。

    22. 包装

    111MBq、148MBq、185MBq、222MBq、259MBq(1~9mL)[1バイアル]

    23. 主要文献

    1) Sakuragawa N, et al:Nucl Med Biol, 1988;15:645-650

    2) Minn H, et al:J Comput Assist Tomogr, 1993;17:115-123

    3) 窪田和雄,他:臨床医のためのクリニカルPET,株式会社寺田国際事務所/先端医療技術研究所,東京,2001;99-103

    4) 織内昇:画像診断,2003;23:1142-1150

    5) *吸収・分布・代謝・排泄に関する資料(FDGスキャン注:2005年7月25日承認,申請資料概要へⅡ-1,Ⅱ-2)

    6) *第Ⅰ相臨床試験(FDGスキャン注:2005年7月25日承認,申請資料概要トⅠ-1)

    7) Pieterman RM, et al:N Engl J Med, 2000;343:254-261

    8) Marom EM, et al:Radiology, 1999;212:803-809

    9) Lowe VJ, et al:J Clin Oncol, 1998;16:1075-1084

    10) Gupta NC, et al:J Nucl Med, 1996;37:943-948

    11) *効能・効果の設定根拠(FDGスキャン注:2005年7月25日承認,申請資料概要トⅥ-2)

    12) *臨床試験成績(FDGスキャン注:2005年7月25日承認,申請資料概要トⅢ-3)

    13) *臨床試験成績(FDGスキャン注:2005年7月25日承認,申請資料概要トⅣ-3)

    14) *起原又は発見の経緯及び外国における使用状況等(FDGスキャン注:2005年7月25日承認,申請資料概要イⅠ-1)

    15) *薬理作用(FDGスキャン注:2005年7月25日承認,申請資料ホⅠ-2)

    16) *起原又は発見の経緯及び外国における使用状況に関する資料等(FDGスキャン注:2018年2月16日一変承認,審査報告書p3)

    17) *非臨床薬理試験に関する資料及び機構における審査の概略(FDGスキャン注:2023年7月12日一変承認,審査報告書p4)

    24. 文献請求先及び問い合わせ先

    PDRファーマ株式会社 製品情報センター

    〒104-0031 東京都中央区京橋2-14-1 兼松ビルディング

    電話番号 0120-383-624

    26. 製造販売業者等

    26.1 製造販売元

    PDRファーマ株式会社

    東京都中央区京橋2-14-1 兼松ビルディング

    〒100-0013 東京都千代田区霞が関3-3-2 新霞が関ビル

    画面を閉じる

    Copyright © Pharmaceuticals and Medical Devices Agency, All Rights reserved.