医療用医薬品 詳細表示

テストステロンエナント酸エステル筋注250mg「F」

処方せん医薬品

添付文書番号
企業コード
作成又は改訂年月
日本標準商品分類番号
薬効分類名
承認等
一般的名称
2.禁忌(次の患者には投与しないこと)
3.組成・性状
3.1組成
3.2製剤の性状
4.効能又は効果
6.用法及び用量
8.重要な基本的注意
9.特定の背景を有する患者に関する注意
9.1合併症・既往歴等のある患者
9.2腎機能障害患者
9.5妊婦
9.6授乳婦
9.7小児等
9.8高齢者
10.相互作用
10.2併用注意(併用に注意すること)
11.副作用
11.2その他の副作用
14.適用上の注意
15.その他の注意
15.1臨床使用に基づく情報
18.薬効薬理
18.1作用機序
18.2生殖器に対する作用
18.3視床下部-下垂体系に対する抑制作用
18.4造血作用
19.有効成分に関する理化学的知見
20.取扱い上の注意
22.包装
23.主要文献
24.文献請求先及び問い合わせ先
26.製造販売業者等

テストステロンエナント酸エステル筋注250mg「F」

添付文書番号

2461400A2105_1_03

企業コード

670109

作成又は改訂年月

2024年1月改訂(第1版)

日本標準商品分類番号

872461

薬効分類名

男性ホルモン製剤

承認等

テストステロンエナント酸エステル筋注250mg「F」

販売名コード

YJコード

2461400A2105

販売名英語表記

TESTOSTERONE ENANTHATE intramuscular injection

販売名ひらがな

てすとすてろんえなんとさんえすてるきんちゅう

承認番号等

承認番号

30100AMX00061

販売開始年月

1986年1月

貯法・有効期間

貯法

室温保存

有効期間

3年

一般的名称

テストステロンエナント酸エステル

2. 禁忌(次の患者には投与しないこと)

  1. 2.1 アンドロゲン依存性悪性腫瘍(例えば前立腺癌)及びその疑いのある患者
    [腫瘍の悪化あるいは顕性化を促すことがある。]
  2. 2.2 妊婦又は妊娠している可能性のある女性

3. 組成・性状

3.1 組成

テストステロンエナント酸エステル筋注250mg「F」

有効成分1管1mL中 日局 テストステロンエナント酸エステル250mg  
添加剤安息香酸ベンジル   50μL
ベンジルアルコール   20μL
ゴマ油   適量

3.2 製剤の性状

テストステロンエナント酸エステル筋注250mg「F」

剤形注射剤(アンプル)
性状無色~微黄色の澄明の油性注射液

4. 効能又は効果

男子性腺機能不全(類宦官症)、造精機能障害による男子不妊症、再生不良性貧血、骨髄線維症、腎性貧血

6. 用法及び用量

  • 〈男子性腺機能不全(類宦官症)〉

    通常、成人にはテストステロンエナント酸エステルとして1回100mgを7~10日間ごとに、または1回250mgを2~4週間ごとに筋肉内注射する。

  • 〈造精機能障害による男子不妊症〉

    通常、成人にはテストステロンエナント酸エステルとして1回50~250mgを2~4週間ごとに無精子状態になるまで筋肉内注射する。

  • 〈再生不良性貧血、骨髄線維症、腎性貧血〉

    通常、成人にはテストステロンエナント酸エステルとして1回100~250mgを1~2週間ごとに筋肉内注射する。


  • なお、いずれの場合も年齢、症状により適宜増減する。

8. 重要な基本的注意

  • 〈効能共通〉
    1. 8.1 男性に投与する場合には、定期的に前立腺の検査を行うこと。,
  • 〈再生不良性貧血、骨髄線維症、腎性貧血〉
    1. 8.2 女性に投与する場合には、変声の可能性のあることを告げておき、投与に際しては観察を十分に行い、異常が認められた場合には投与を中止すること。

9. 特定の背景を有する患者に関する注意

9.1 合併症・既往歴等のある患者

  1. 9.1.1 前立腺肥大のある患者

    前立腺肥大が増大するおそれがある。

  2. 9.1.2 心疾患又はその既往歴のある患者

    ナトリウムや体液の貯留により、症状が増悪するおそれがある。

  3. 9.1.3 癌の骨転移のある患者

    高カルシウム血症があらわれるおそれがある。

  4. 9.1.4 骨成長が終了していない可能性がある患者、思春期前の患者

    骨端の早期閉鎖、性的早熟を来すおそれがある。

9.2 腎機能障害患者

  1. 9.2.1 腎疾患又はその既往歴のある患者

    ナトリウムや体液の貯留により、症状が増悪するおそれがある。

9.5 妊婦

妊婦又は妊娠している可能性のある女性には投与しないこと。女性胎児の男性化を起こすことがある。

9.6 授乳婦

治療上の有益性及び母乳栄養の有益性を考慮し、授乳の継続又は中止を検討すること。

9.7 小児等

9.8 高齢者

男性高齢者ではアンドロゲン依存性腫瘍が潜在している可能性がある。また一般に高齢者では生理機能が低下している。

10. 相互作用

    10.2 併用注意(併用に注意すること)

    薬剤名等臨床症状・措置方法機序・危険因子
    • 抗凝血剤
      • ワルファリンカリウム等

    抗凝血剤の作用を増強することがあるので、抗凝血剤を減量するなど注意する。

    本剤の凝固因子合成抑制あるいは分解促進作用による。

    11. 副作用

    次の副作用があらわれることがあるので、観察を十分に行い、異常が認められた場合には投与を中止するなど適切な処置を行うこと。

    11.2 その他の副作用

    頻度不明

    過敏症

    過敏症状

    肝臓

    肝機能検査値の異常

    内分泌 女性

    回復しがたい嗄声・多毛、ざ瘡、色素沈着、月経異常、陰核肥大、性欲亢進

    内分泌 男性

    陰茎肥大、持続性勃起、特に大量継続投与により精巣萎縮・精子減少・精液減少等の精巣機能抑制

    精神神経系

    多幸症状

    皮膚

    脱毛、皮膚色調の変化(紅斑等)等

    投与部位

    疼痛、硬結

    14. 適用上の注意

    14.1 薬剤投与時の注意

    1. 14.1.1 投与経路

      本剤は筋肉内注射にのみ使用すること。

    2. 14.1.2 筋肉内注射時

      筋肉内注射にあたっては、組織・神経等への影響を避けるため、下記の点に注意すること。

      • 同一部位への反復注射は行わないこと。特に乳児、幼児、小児には注意すること。
      • 神経走行部位を避けること。
      • 注射針を刺入したとき、激痛を訴えたり血液の逆流をみた場合は直ちに針を抜き、部位をかえて注射すること。

    15. その他の注意

    15.1 臨床使用に基づく情報

    蛋白同化・男性ホルモン剤を長期大量に投与された再生不良性貧血の患者等に肝腫瘍の発生が観察されたとの報告がある1),2),3)

    18. 薬効薬理

    18.1 作用機序

    テストステロンエナント酸エステルは、体内で徐々に加水分解を受けてテストステロンを生成する。テストステロンの生理作用は、男性の生殖器官の発育とその機能の維持、FSHとの協同による精子形成の促進、男性の第二次性徴の促進、タンパク質同化作用などである4)

    18.2 生殖器に対する作用

    去勢雄性ラットにテストステロンエナント酸エステルを投与すると、前立腺、精嚢腺等の副性器重量及びそれに含まれる果糖量は増加する。これらの増加は投与後3~4週で最大となり、テストステロンプロピオン酸エステルの同用量投与による結果に比較して増加量も多く、長期間持続する5),6),7),8)

    18.3 視床下部-下垂体系に対する抑制作用

    テストステロンエナント酸エステル投与により、ラットの下垂体重量は減少し、また下垂体のゴナドトロピン分泌は抑制される9)

    18.4 造血作用

    ラット、マウスへのテストステロンエナント酸エステル投与は赤血球への59Feの摂取率を増大させ、ヘマトクリット値、ヘモグロビン含量及び網状赤血球数を増加させる。また、32P投与により生じる造血抑制を防止する10),11),12)

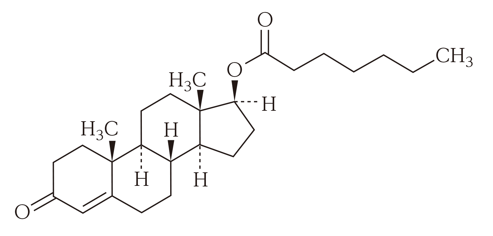
    19. 有効成分に関する理化学的知見

    一般的名称

    テストステロンエナント酸エステル
    (Testosterone Enanthate)

    化学名

    3-Oxoandrost-4-en-17β-yl heptanoate

    分子式

    C26H40O3

    分子量

    400.59

    性状

    白色~微黄色の結晶若しくは結晶性の粉末又は微黄褐色の粘稠な液で、においはないか、又は僅かに特異なにおいがある。
    エタノール(99.5)に溶けやすく、水にほとんど溶けない。
    融点:約36℃

    化学構造式

    20. 取扱い上の注意

    外箱開封後は遮光して保存すること。

    22. 包装

    10アンプル

    24. 文献請求先及び問い合わせ先

    富士製薬工業株式会社 くすり相談室

    〒939-3515 富山県富山市水橋辻ヶ堂1515番地

    (TEL)0120-956-792
    (FAX)076-478-0336

    26. 製造販売業者等

    26.1 製造販売元

    富士製薬工業株式会社

    富山県富山市水橋辻ヶ堂1515番地

    〒100-0013 東京都千代田区霞が関3-3-2 新霞が関ビル

    画面を閉じる

    Copyright © Pharmaceuticals and Medical Devices Agency, All Rights reserved.