医療用医薬品 詳細表示

オスバン消毒液0.05%

添付文書番号

2616700Q5072_2_02

企業コード

670109

作成又は改訂年月

2023年7月改訂(第1版)

日本標準商品分類番号

872616

薬効分類名

外用殺菌消毒剤

承認等

オスバン消毒液0.05%

販売名コード

YJコード

2616700Q5072

販売名英語表記

OSVAN 0.05%

承認番号等

承認番号

22100AMX00752

販売開始年月

1998年4月

貯法・有効期間

貯法

室温保存

有効期間

3年

基準名

日本薬局方

ベンザルコニウム塩化物液

一般的名称

ベンザルコニウム塩化物

3. 組成・性状

3.1 組成

オスバン消毒液0.05%

有効成分100mL中
日局 濃ベンザルコニウム塩化物液50   0.1g
(ベンザルコニウム塩化物として   50mg )

3.2 製剤の性状

オスバン消毒液0.05%

性状無色~淡黄色澄明の液

4. 効能又は効果

  • 手指・皮膚の消毒
  • 手術部位(手術野)の粘膜の消毒
  • 皮膚・粘膜の創傷部位の消毒
  • 感染皮膚面の消毒
  • 手術室・病室・家具・器具・物品等の消毒
  • 膣洗浄
  • 結膜嚢の洗浄・消毒

6. 用法及び用量

効能又は効果

用法及び用量

手指・皮膚の消毒

通常石けんで十分に洗浄し、水で石けん分を十分に洗い落した後、ベンザルコニウム塩化物0.05%溶液に浸して洗い、滅菌ガーゼあるいは布片で清拭する。術前の手洗の場合には、5~10分間ブラッシングする。

手術部位(手術野)の粘膜の消毒、皮膚・粘膜の創傷部位の消毒

ベンザルコニウム塩化物0.01~0.025%溶液を用いる。

感染皮膚面の消毒

ベンザルコニウム塩化物0.01%溶液を用いる。

手術室・病室・家具・器具・物品等の消毒

ベンザルコニウム塩化物0.05%溶液を布片で塗布・清拭するか、又は噴霧する。

膣洗浄

ベンザルコニウム塩化物0.02~0.05%溶液を用いる。

結膜囊の洗浄・消毒

ベンザルコニウム塩化物0.01~0.05%溶液を用いる。

11. 副作用

次の副作用があらわれることがあるので、観察を十分に行い、異常が認められた場合には投与を中止するなど適切な処置を行うこと。

11.2 その他の副作用

頻度不明

過敏症

発疹、そう痒感等

14. 適用上の注意

14.1 薬剤調製時の注意

  1. 14.1.1 本剤は、濃度に注意して使用すること。
  2. 14.1.2 炎症又は易刺激性の部位(粘膜、陰股部等)に使用する場合には、通常の部位に使用するよりも低濃度とすることが望ましい。
  3. 14.1.3 本剤を希釈して使用する場合は、調製後滅菌処理すること。
  4. 14.1.4 繊維、布(綿、ガーゼ、ウール、レーヨン等)は本剤の成分であるベンザルコニウム塩化物を吸着するので、これらを溶液に浸漬して用いる場合には、有効濃度以下とならないように注意すること。

14.2 薬剤使用時の注意

  1. 14.2.1 経口投与しないこと。
  2. 14.2.2 浣腸には使用しないこと。
  3. 14.2.3 皮膚・粘膜の刺激症状があらわれることがあるので、注意すること。
  4. 14.2.4 全身吸収による筋脱力を起こすおそれがあるので、粘膜、創傷面又は炎症部位に長期間又は広範囲に使用しないこと。
  5. 14.2.5 密封包帯、ギプス包帯、パックに使用すると刺激症状があらわれることがあるので、使用しないことが望ましい。
  6. 14.2.6 血清、膿汁等の有機性物質は殺菌作用を減弱させるので、これらが付着している医療器具等に用いる場合は、十分に洗い落してから使用すること。
  7. 14.2.7 石けん類は本剤の殺菌作用を減弱させるので、石けん分を洗い落してから使用すること。
  8. 14.2.8 皮膚消毒に使用する綿球、ガーゼ等は滅菌保存し、使用時に溶液に浸すこと。
  9. 14.2.9 合成ゴム製品、合成樹脂製品、光学器具、鏡器具、塗装カテーテル等への使用は避けることが望ましい。
  10. 14.2.10 皮革製品の消毒に使用すると、変質させることがあるので、使用しないこと。

18. 薬効薬理

18.1 作用機序

タンパク変性及び酵素の切断、糖の分解と乳酸の酸化など代謝への作用、膜透過性障害による溶菌、リン及びカリウムの漏出、解糖の促進、原形質膜の活動を支える酵素に対する作用などが考えられている1)

18.2 殺菌作用

本剤はグラム陽性、陰性菌のみならず、芽胞のない細菌やカビ類といった真菌類に対しても殺菌作用を有する。しかし、結核菌及び大部分のウイルスに対する殺菌効果は期待できない1)

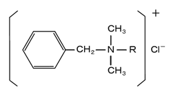
19. 有効成分に関する理化学的知見

一般的名称

ベンザルコニウム塩化物(Benzalkonium Chloride)

化学名

Alkylbenzyldimethylammonium chloride

分子式

〔C6H5CH2N(CH32R〕Cl
R=C8H17~C18H37(主としてC12H25及びC14H29、本剤の場合、RはC12H25が80~85%、C12H25+C14H29が98%以上)

分子量

354.01(C22H40ClNとして)

性状

白色~黄白色の粉末又は無色~淡黄色のゼラチン状の小片、ゼリー様の流動体若しくは塊で、特異なにおいがある。
水又はエタノール(95)に極めて溶けやすく、ジエチルエーテルにほとんど溶けない。
水溶液は振ると強く泡立つ。

化学構造式

20. 取扱い上の注意

本剤は滅菌製剤のため、開封後は速やかに使用すること。

22. 包装

500mL[瓶]

24. 文献請求先及び問い合わせ先

富士製薬工業株式会社 富山工場 学術情報課

〒939-3515 富山県富山市水橋辻ヶ堂1515番地

(TEL)0120-956-792
(FAX)076-478-0336

26. 製造販売業者等

26.1 製造販売元

富士製薬工業株式会社

富山県富山市水橋辻ヶ堂1515番地

〒100-0013 東京都千代田区霞が関3-3-2 新霞が関ビル

画面を閉じる

Copyright © Pharmaceuticals and Medical Devices Agency, All Rights reserved.