医療用医薬品 詳細表示

ゲンタマイシン硫酸塩軟膏0.1%「F」

添付文書番号

2634710M1093_1_04

企業コード

670109

作成又は改訂年月

2023年11月改訂(第1版)

日本標準商品分類番号

872634

薬効分類名

アミノグリコシド系抗生物質製剤

承認等

ゲンタマイシン硫酸塩軟膏0.1%「F」

販売名コード

YJコード

2634710M1093

販売名英語表記

GENTAMICIN SULFATE ointment

承認番号等

承認番号

22800AMX00461

販売開始年月

1990年7月

貯法・有効期間

貯法

室温保存

有効期間

3年

基準名

日本薬局方

ゲンタマイシン硫酸塩軟膏

一般的名称

ゲンタマイシン硫酸塩

2. 禁忌(次の患者には投与しないこと)

本剤並びに他のアミノグリコシド系抗生物質及びバシトラシンに対し過敏症の既往歴のある患者

3. 組成・性状

3.1 組成

ゲンタマイシン硫酸塩軟膏0.1%「F」

有効成分1g中
日局 ゲンタマイシン硫酸塩 1mg(力価)  
添加剤白色ワセリン、流動パラフィン、ソルビタンセスキオレイン酸エステル、マイクロクリスタリンワックス

3.2 製剤の性状

ゲンタマイシン硫酸塩軟膏0.1%「F」

色調・性状白色~微黄色の半透明のなめらかな半固体でにおいはほとんどない。

4. 効能又は効果

〈適応菌種〉
ゲンタマイシンに感性のブドウ球菌属、レンサ球菌属(肺炎球菌を除く)、大腸菌、クレブシエラ属、エンテロバクター属、プロテウス属、モルガネラ・モルガニー、プロビデンシア属、緑膿菌
〈適応症〉
表在性皮膚感染症、慢性膿皮症、びらん・潰瘍の二次感染

6. 用法及び用量

1日1~数回患部に塗布するか、あるいはガーゼなどにのばしたものを患部に貼付する。

8. 重要な基本的注意

  1. 8.1 本剤の使用にあたっては、耐性菌の発現等を防ぐため、原則として感受性を確認し、疾病の治療上必要な最小限の期間の投与にとどめること。
  2. 8.2 感作されるおそれがあるので、観察を十分に行い感作されたことを示す兆候(そう痒、発赤、腫脹、丘疹、小水疱等)があらわれた場合には使用を中止すること。
  3. 8.3 長期間連用しないこと。

11. 副作用

次の副作用があらわれることがあるので、観察を十分に行い、異常が認められた場合には投与を中止するなど適切な処置を行うこと。

11.2 その他の副作用

0.1%未満

頻度不明

過敏症

発疹

その他

腎障害、難聴

14. 適用上の注意

14.1 薬剤使用時の注意

眼科用に使用しないこと。

18. 薬効薬理

18.1 作用機序

ゲンタマイシン硫酸塩軟膏は、細菌の蛋白合成を阻害する。

18.2 抗菌作用

ゲンタマイシン硫酸塩軟膏の抗菌作用は殺菌的であり、臨床分離株の緑膿菌、プロテウス属、モルガネラ・モルガニー、プロビデンシア属、ブドウ球菌属、大腸菌、クレブシエラ属、エンテロバクター属、レンサ球菌属(肺炎球菌を除く)に抗菌作用を示す1),2),3)in vitro)。

19. 有効成分に関する理化学的知見

一般的名称

ゲンタマイシン硫酸塩(Gentamicin Sulfate)

化学名

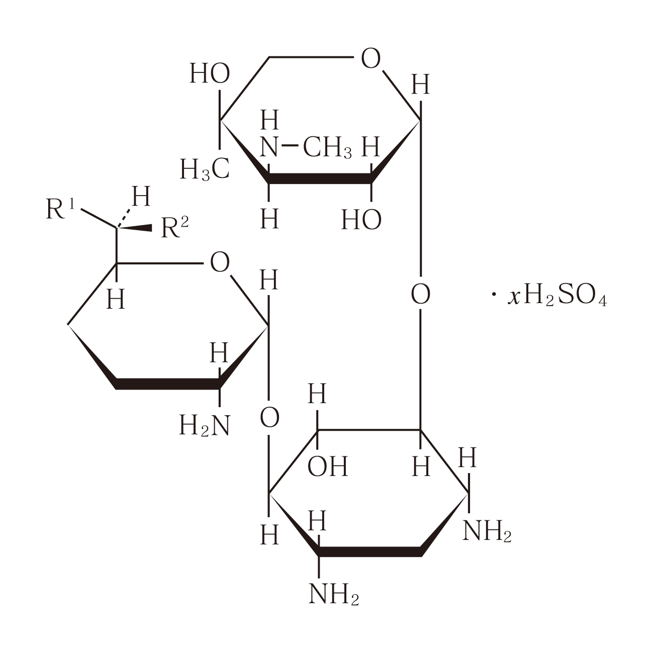
ゲンタマイシンC1硫酸塩:
(6R)-2-Amino-2,3,4,6-tetradeoxy-6-methylamino-6-methyl-α-D-erythro-hexopyranosyl-(1→4)-[3-deoxy-4-C-methyl-3-methylamino-β-L-arabinopyranosyl-(1→6)]-2-deoxy-D-streptamine sulfate
ゲンタマイシンC2硫酸塩:
(6R)-2,6-Diamino-2,3,4,6-tetradeoxy-6-methyl-α-D-erythro-hexopyranosyl-(1→4)-[3-deoxy-4-C-methyl-3-methylamino-β-L-arabinopyranosyl-(1→6)]-2-deoxy-D-streptamine sulfate
ゲンタマイシンC1a硫酸塩:
2,6-Diamino-2,3,4,6-tetradeoxy-α-D-erythro-hexopyranosyl-(1→4)-[3-deoxy-4-C-methyl-3-methylamino-β-L-arabinopyranosyl-(1→6)]-2-deoxy-D-streptamine sulfate

性状

白色~淡黄白色の粉末である。
水に極めて溶けやすく、エタノール(99.5)にほとんど溶けない。
吸湿性である。

化学構造式

ゲンタマイシンC1硫酸塩 :R1=CH3 R2=NHCH3
ゲンタマイシンC2硫酸塩 :R1=CH3 R2=NH2
ゲンタマイシンC1a硫酸塩:R1=H R2=NH2
力価は、ゲンタマイシンC1(C21H43N5O7:477.60)としての量を質量(力価)で示す。

22. 包装

  • 10本[10g(チューブ)×10]
    50本[10g(チューブ)×50]
    100g[瓶]

24. 文献請求先及び問い合わせ先

富士製薬工業株式会社 くすり相談室

〒939-3515 富山県富山市水橋辻ヶ堂1515番地

(TEL)0120-956-792
(FAX)076-478-0336

26. 製造販売業者等

26.1 製造販売元(輸入)

富士製薬工業株式会社

富山県富山市水橋辻ヶ堂1515番地

〒100-0013 東京都千代田区霞が関3-3-2 新霞が関ビル

画面を閉じる

Copyright © Pharmaceuticals and Medical Devices Agency, All Rights reserved.