医療用医薬品 詳細表示

リマプロストアルファデクス錠5μg「F」

処方せん医薬品

添付文書番号
企業コード
作成又は改訂年月
日本標準商品分類番号
薬効分類名
承認等
一般的名称
2.禁忌(次の患者には投与しないこと)
3.組成・性状
3.1組成
3.2製剤の性状
4.効能又は効果
5.効能又は効果に関連する注意
6.用法及び用量
8.重要な基本的注意
9.特定の背景を有する患者に関する注意
9.1合併症・既往歴等のある患者
9.5妊婦
9.6授乳婦
9.7小児等
10.相互作用
10.2併用注意(併用に注意すること)
11.副作用
11.1重大な副作用
11.2その他の副作用
13.過量投与
14.適用上の注意
16.薬物動態
16.1血中濃度
18.薬効薬理
18.1作用機序
19.有効成分に関する理化学的知見
20.取扱い上の注意
22.包装
23.主要文献
24.文献請求先及び問い合わせ先
26.製造販売業者等

リマプロストアルファデクス錠5μg「F」

添付文書番号

3399003F1103_1_08

企業コード

670109

作成又は改訂年月

2023年11月改訂(第1版)

日本標準商品分類番号

87219

薬効分類名

経口プロスタグランジンE1誘導体製剤

承認等

リマプロストアルファデクス錠5μg「F」

販売名コード

YJコード

3399003F1103

承認番号等

承認番号

21800AMZ10062

販売開始年月

2006年7月

貯法・有効期間

貯法

室温保存

有効期間

3年

一般的名称

リマプロスト アルファデクス

2. 禁忌(次の患者には投与しないこと)

  1. 2.1 妊婦又は妊娠している可能性のある女性

3. 組成・性状

3.1 組成

リマプロストアルファデクス錠5μg「F」

有効成分1錠中 日局 リマプロスト アルファデクス  
(リマプロストとして   5μg )
添加剤ステアリン酸、デキストリン、トレハロース水和物、結晶セルロース、トウモロコシデンプン、軽質無水ケイ酸

3.2 製剤の性状

リマプロストアルファデクス錠5μg「F」

色・剤形白色の素錠
外形
大きさ直径6.5mm
厚さ2.3mm
質量100mg
識別コードFJ18

4. 効能又は効果

  • 閉塞性血栓血管炎に伴う潰瘍、疼痛および冷感などの虚血性諸症状の改善
  • 後天性の腰部脊柱管狭窄症(SLR試験正常で、両側性の間欠跛行を呈する患者)に伴う自覚症状(下肢疼痛、下肢しびれ)および歩行能力の改善

5. 効能又は効果に関連する注意

  • 〈後天性の腰部脊柱管狭窄症(SLR試験正常で、両側性の間欠跛行を呈する患者)に伴う自覚症状(下肢疼痛、下肢しびれ)および歩行能力の改善〉

    手術適応となるような重症例での有効性は確立していない。

6. 用法及び用量

  • 〈閉塞性血栓血管炎に伴う潰瘍、疼痛および冷感などの虚血性諸症状の改善〉

    通常成人に、リマプロストとして1日30μgを3回に分けて経口投与する。

  • 〈後天性の腰部脊柱管狭窄症(SLR試験正常で、両側性の間欠跛行を呈する患者)に伴う自覚症状(下肢疼痛、下肢しびれ)および歩行能力の改善〉

    通常成人に、リマプロストとして1日15μgを3回に分けて経口投与する。

8. 重要な基本的注意

  • 〈後天性の腰部脊柱管狭窄症(SLR試験正常で、両側性の間欠跛行を呈する患者)に伴う自覚症状(下肢疼痛、下肢しびれ)および歩行能力の改善〉

    症状の経過観察を行い、漫然と継続投与しないこと。

9. 特定の背景を有する患者に関する注意

9.1 合併症・既往歴等のある患者

  1. 9.1.1 出血傾向のある患者

    出血を助長するおそれがある。

9.5 妊婦

妊婦又は妊娠している可能性のある女性には投与しないこと。動物実験(妊娠サル、妊娠ラット静脈内投与)で子宮収縮作用が報告されている1)

9.6 授乳婦

治療上の有益性及び母乳栄養の有益性を考慮し、授乳の継続又は中止を検討すること。動物実験(授乳ラット経口投与)で乳汁中への移行が報告されている2)

9.7 小児等

小児等を対象とした臨床試験は実施していない。

10. 相互作用

    10.2 併用注意(併用に注意すること)

    薬剤名等臨床症状・措置方法機序・危険因子

    抗血小板剤

    • アスピリン
    • チクロピジン
    • シロスタゾール

    血栓溶解剤

    • ウロキナーゼ

    抗凝血剤

    • ヘパリン
    • ワルファリン

    これらの薬剤と併用することにより出血傾向の増強をきたすおそれがある。
    観察を十分に行い、用量を調節するなど注意すること。

    本剤は血小板凝集能を抑制するため、類似の作用を持つ薬剤を併用することにより作用を増強することが考えられる。

    11. 副作用

    次の副作用があらわれることがあるので、観察を十分に行い、異常が認められた場合には投与を中止するなど、適切な処置を行うこと。

    11.1 重大な副作用

    1. 11.1.1 肝機能障害、黄疸

      AST、ALTの著しい上昇等を伴う肝機能障害、黄疸(いずれも頻度不明)があらわれることがある。

    11.2 その他の副作用

    0.1~1%未満

    0.1%未満

    頻度不明

    過敏症

    発疹、そう痒感等

    蕁麻疹

    光線過敏症

    出血傾向

    出血

    血液

    貧血、血小板減少

    消化器

    下痢、悪心、腹部不快感、腹痛、食欲不振、胸やけ

    嘔吐、腹部膨満感、口渇、口内炎

    舌しびれ

    肝臓

    AST・ALTの上昇等の肝機能異常

    循環器

    心悸亢進

    頻脈、低血圧、四肢のチアノーゼ、血圧上昇

    精神神経系

    頭痛、めまい

    しびれ感、眠気、不眠

    その他

    潮紅、ほてり

    全身倦怠感、胸痛、胸部不快感、四肢痛、浮腫、乳腺腫脹、身ぶるい、下肢多毛、味覚異常

    注):発現頻度は使用成績調査を含む。

    13. 過量投与

    1. 13.1 症状

      健康成人に大量投与(30~40μg/回)したとき一過性の血圧下降を認めたとの報告がある3)

    14. 適用上の注意

    14.1 薬剤交付時の注意

    PTP包装の薬剤はPTPシートから取り出して服用するよう指導すること。PTPシートの誤飲により、硬い鋭角部が食道粘膜へ刺入し、更には穿孔をおこして縦隔洞炎等の重篤な合併症を併発することがある。

    16. 薬物動態

    16.1 血中濃度

    1. 16.1.1 生物学的同等性試験

      リマプロストアルファデクス錠5μg「F」とオパルモン錠5μgを、クロスオーバー法によりそれぞれ6錠(リマプロストとして30μg)健康成人男子に絶食単回経口投与して血漿中リマプロスト濃度を測定し、得られた薬物動態パラメータ(AUC、Cmax)について90%信頼区間法にて統計解析を行った結果、log(0.8)~log(1.25)の範囲内であり、両剤の生物学的同等性が確認された4)
      (注)本試験における1回投与量は承認外の用量である。

      薬物動態パラメータ(6錠単回経口投与)

      判定パラメータ

      参考パラメータ

      AUC0→lim
      (pg・min/mL)

      Cmax
      (pg/mL)

      Tmax
      (min)

      T1/2
      (min)

      リマプロストアルファデクス錠5μg「F」

      624.09±456.91

      10.85±8.11

      27.7±13.8

      54.1±66.2

      オパルモン錠5μg

      608.32±443.52

      11.52±8.74

      24.3±12.6

      42.0±16.6

      (mean±S.D., n=44)

      ※血漿中濃度並びにAUC、Cmax等のパラメータは、被験者の選択、体液の採取回数・時間等の試験条件によって異なる可能性がある。

    18. 薬効薬理

    18.1 作用機序

    本剤は強力な血管拡張作用、血流増加作用および血小板凝集抑制作用を有し、臨床的には閉塞性血栓血管炎に伴う潰瘍、疼痛および冷感などの虚血性諸症状に対する効果および後天性の腰部脊柱管狭窄症(SLR試験正常で、両側性の間欠跛行を呈する患者)に伴う自覚症状(下肢疼痛、下肢しびれ)および歩行能力に対する効果が認められている。

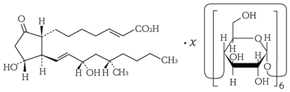
    19. 有効成分に関する理化学的知見

    一般的名称

    リマプロスト アルファデクス(Limaprost Alfadex)

    化学名

    (2E)-7-{(1R,2R,3R)-3-Hydroxy-2-[(1E,3S,5S)-3-hydroxy-5-methylnon-1-en-1-yl]-5-oxocyclopentyl}hept-2-enoic acid-α-cyclodextrin

    分子式

    C22H36O5・χC36H60O30

    分子量

    380.52(リマプロストとして)

    性状

    白色の粉末である。
    水に溶けやすく、メタノールに溶けにくく、エタノール(99.5)に極めて溶けにくく、酢酸エチルにほとんど溶けない。吸湿性である。

    化学構造式

    20. 取扱い上の注意

    吸湿性を有するため、アルミピロー開封後は湿気を避けてPTP包装のまま保存すること。

    22. 包装

    100錠[10錠(PTP)×10]

    24. 文献請求先及び問い合わせ先

    富士製薬工業株式会社 くすり相談室

    〒939-3515 富山県富山市水橋辻ヶ堂1515番地

    (TEL)0120-956-792
    (FAX)076-478-0336

    26. 製造販売業者等

    26.1 製造販売元

    富士製薬工業株式会社

    富山県富山市水橋辻ヶ堂1515番地

    〒100-0013 東京都千代田区霞が関3-3-2 新霞が関ビル

    画面を閉じる

    Copyright © Pharmaceuticals and Medical Devices Agency, All Rights reserved.