医療用医薬品 詳細表示

ネオレスタール注射液10mg

処方せん医薬品

添付文書番号
企業コード
作成又は改訂年月
日本標準商品分類番号
薬効分類名
承認等
一般的名称
2.禁忌(次の患者には投与しないこと)
3.組成・性状
3.1組成
3.2製剤の性状
4.効能又は効果
6.用法及び用量
8.重要な基本的注意
9.特定の背景を有する患者に関する注意
9.1合併症・既往歴等のある患者
9.5妊婦
9.6授乳婦
9.7小児等
9.8高齢者
10.相互作用
10.2併用注意(併用に注意すること)
11.副作用
11.1重大な副作用
11.2その他の副作用
14.適用上の注意
16.薬物動態
16.1血中濃度
16.3分布
16.4代謝
16.5排泄
18.薬効薬理
18.1作用機序
19.有効成分に関する理化学的知見
20.取扱い上の注意
22.包装
23.主要文献
24.文献請求先及び問い合わせ先
26.製造販売業者等

ネオレスタール注射液10mg

添付文書番号

4419401A3055_1_04

企業コード

670109

作成又は改訂年月

2023年12月改訂(第2版)
2023年10月改訂

日本標準商品分類番号

874419

薬効分類名

抗ヒスタミン剤

承認等

ネオレスタール注射液10mg

販売名コード

YJコード

4419401A3055

販売名英語表記

NEORESTAR injections

承認番号等

承認番号

21900AMX01146

販売開始年月

1986年1月

貯法・有効期間

貯法

室温保存

有効期間

3年

基準名

日本薬局方

クロルフェニラミンマレイン酸塩注射液

一般的名称

クロルフェニラミンマレイン酸塩

2. 禁忌(次の患者には投与しないこと)

  1. 2.1 本剤の成分又は類似化合物に対し過敏症の既往歴のある患者
  2. 2.2 閉塞隅角緑内障の患者[抗コリン作用により眼圧が上昇し、症状を悪化させることがある。]
  3. 2.3 前立腺肥大等下部尿路に閉塞性疾患のある患者[抗コリン作用により排尿困難、尿閉等があらわれ、症状が増悪することがある。]
  4. 2.4 低出生体重児・新生児

3. 組成・性状

3.1 組成

ネオレスタール注射液10mg

有効成分1管(1mL)中
日局 クロルフェニラミンマレイン酸塩
10mg  
添加剤ベンジルアルコール 20μL

3.2 製剤の性状

ネオレスタール注射液10mg

剤形注射剤 (アンプル)
pH4.5〜7.0
浸透圧比約0.8(生理食塩液に対する比)
色調・性状無色澄明の液

4. 効能又は効果

  • じん麻疹
  • 枯草熱
  • 皮膚疾患に伴うそう痒(湿疹・皮膚炎、皮膚そう痒症、薬疹、咬刺症)
  • アレルギー性鼻炎
  • 血管運動性鼻炎

6. 用法及び用量

dl-クロルフェニラミンマレイン酸塩として、通常、成人1回5〜10mgを1日1〜2回、皮下、筋肉内または静脈内注射する。 なお、年齢、症状により適宜増減する。

8. 重要な基本的注意

  1. 8.1 眠気を催すことがあるので、本剤投与中の患者には自動車の運転等危険を伴う機械の操作には従事させないよう十分注意すること。
  2. 8.2 再生不良性貧血、無顆粒球症があらわれることがあるので、血液検査を行うなど観察を十分に行うこと。

9. 特定の背景を有する患者に関する注意

9.1 合併症・既往歴等のある患者

  1. 9.1.1 開放隅角緑内障の患者

    抗コリン作用により眼圧が上昇し、症状を悪化させることがある。

  2. 9.1.2 眼内圧亢進のある患者

    抗コリン作用により眼内圧が上昇し、症状が増悪するおそれがある。

  3. 9.1.3 甲状腺機能亢進症のある患者

    抗コリン作用により症状が増悪するおそれがある。

  4. 9.1.4 狭窄性消化性潰瘍、幽門十二指腸通過障害のある患者

    抗コリン作用により平滑筋の運動抑制、緊張低下が起こり、症状が増悪するおそれがある。

  5. 9.1.5 循環器系疾患のある患者

    抗コリン作用による心血管系への作用により、症状が増悪するおそれがある。

  6. 9.1.6 高血圧症のある患者

    抗コリン作用により血管拡張が抑制され、血圧が上昇するおそれがある。

9.5 妊婦

妊婦又は妊娠している可能性のある女性には、治療上の有益性が危険性を上回ると判断される場合にのみ投与すること。

9.6 授乳婦

治療上の有益性及び母乳栄養の有益性を考慮し、授乳の継続又は中止を検討すること。

9.7 小児等

  1. 9.7.1 低出生体重児及び新生児

    投与しないこと。中枢神経系興奮等の抗コリン作用に対する感受性が高く、痙攣等の重篤な反応があらわれるおそれがある。,

  2. 9.7.2 乳児、幼児及び小児

    乳児、幼児及び小児を対象とした臨床試験は実施していない。

9.8 高齢者

患者の状態を観察しながら慎重に投与すること。一般に生理機能が低下している。

10. 相互作用

    10.2 併用注意(併用に注意すること)

    薬剤名等臨床症状・措置方法機序・危険因子

    中枢神経抑制剤

    • ペントバルビタールカルシウム
      クロザピン等

    アルコール

    相互に作用を増強することがあるので、併用する場合には減量するなど慎重に投与すること。

    本剤の中枢抑制作用により、作用が増強される。

    MAO阻害剤

    相互に作用を増強することがあるので、併用する場合には減量するなど慎重に投与すること。

    本剤の解毒機構に干渉し、作用を遷延化し増強することがある。

    抗コリン作用を有する薬剤

    • アトロピン硫酸塩
      ブチルスコポラミン臭化物
      チキジウム臭化物等

    相互に作用を増強することがあるので、併用する場合には減量するなど慎重に投与すること。


    機序は不明である。

    ドロキシドパ
    ノルアドレナリン

    併用により血圧の異常上昇を来すおそれがある。

    本剤はヒスタミンによる毛細血管拡張を抑制する。

    11. 副作用

    次の副作用があらわれることがあるので、観察を十分に行い、異常が認められた場合には投与を中止するなど適切な処置を行うこと。

    11.1 重大な副作用

    1. 11.1.1 ショック(頻度不明)

      チアノーゼ、呼吸困難、胸内苦悶、血圧低下等の症状があらわれた場合には、投与を中止し、適切な処置を行うこと。

    2. 11.1.2 痙攣、錯乱(いずれも頻度不明)

      痙攣、錯乱があらわれることがあるので、観察を十分に行い、異常があらわれた場合には、減量又は休薬等適切な処置を行うこと。

    3. 11.1.3 再生不良性貧血、無顆粒球症1),2) (いずれも頻度不明)

    11.2 その他の副作用

    頻度不明

    過敏症

    発疹、光線過敏症等

    精神神経系

    鎮静、神経過敏、頭痛、焦燥感、複視、眠気、不眠、めまい、耳鳴、前庭障害、多幸症、情緒不安、ヒステリー、振戦、神経炎、協調異常、感覚異常、霧視等

    消化器

    口渇、胸やけ、食欲不振、悪心・嘔吐、腹痛、便秘、下痢等

    泌尿器

    頻尿、排尿困難、尿閉等

    循環器

    低血圧、心悸亢進、頻脈、期外収縮、微弱脈

    呼吸器

    鼻及び気道の乾燥、気管分泌液の粘性化、喘鳴、鼻閉等

    血液1)

    溶血性貧血、血小板減少

    肝臓

    肝機能障害(AST・ALT・Al-Pの上昇)

    その他

    悪寒、発汗異常、疲労感、胸痛、月経異常、顔面蒼白

    14. 適用上の注意

    14.1 薬剤投与時の注意

    • 〈筋肉内注射〉
      1. 14.1.1 組織・神経等への影響を避けるため、下記の点に注意すること。,
        • 神経走行部位を避けること。
        • 注射針を刺入したとき、激痛を訴えたり血液の逆流をみた場合は直ちに針を抜き、部位を変えて注射すること。
        • 注射部位に疼痛、硬結をみることがある。
        • 筋肉内注射はやむを得ない場合にのみ必要最小限に行うこと。同一部位への反復注射は行わないこと。特に低出生体重児、新生児、乳児、幼児又は小児には注意すること。
    • 〈投与経路共通〉
      1. 14.1.2 注射部位に一過性の刺激、灼熱感があらわれることがある。

    16. 薬物動態

    16.1 血中濃度

    健常人(外国人)に3H標識クロルフェニラミンマレイン酸塩を静脈内投与した場合、投与5分後に最高血漿中濃度に達し、その値はクロルフェニラミン14.89ng/mLに相当し、半減期はα相が15分、β相が28時間である3)

    16.3 分布

    1. 16.3.1 血漿蛋白結合率

      ヒト血漿蛋白結合率は、0.28㎍/mL及び1.24㎍/mLの濃度でそれぞれ72%及び69%であった(in vitro3)

    16.4 代謝

    健康成人(外国人)におけるクロルフェニラミンマレイン酸塩の主要な代謝産物としてmonodesmethyl chlorpheniramine,didesmethyl chlorpheniramineが確認されており、その他に極性の高い代謝産物が認められている3),4),5)

    16.5 排泄

    健常人 (外国人)に3H標識クロルフェニラミンマレイン酸塩の 4 mgを静脈内投与したときの投与後48時間までの尿及び糞中放射能排泄率は、それぞれ投与量の36%及び0.2%であった3)

    18. 薬効薬理

    18.1 作用機序

    クロルフェニラミンマレイン酸塩は、ヒスタミンH1受容体遮断薬である。H1受容体を介するヒスタミンによるアレルギー性反応(毛細血管の拡張と透過性亢進、気管支平滑筋の収縮、知覚神経終末刺激によるそう痒など)を抑制する。dl体である6)

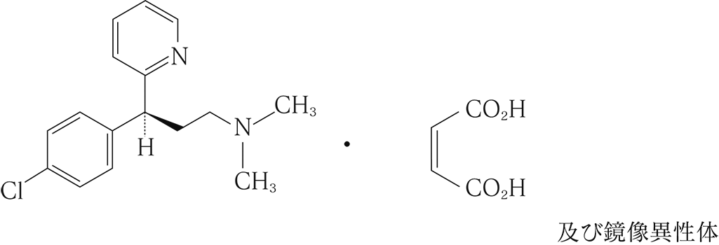
    19. 有効成分に関する理化学的知見

    一般的名称

    クロルフェニラミンマレイン酸塩(Chlorpheniramine Maleate)

    化学名

    (3RS)-3-(4-Chlorophenyl)-N,N-dimethyl -3-pyridin-2-ylpropylamine monomaleate

    分子式

    C16H19ClN2・C4H4O4

    分子量

    390.86

    性状

    白色の微細な結晶である。
    酢酸(100)に極めて溶けやすく、水又はメタノールに溶けやすく、エタノール(99.5)にやや溶けやすい。
    希塩酸に溶ける。
    水溶液(1→20)は旋光性を示さない。

    化学構造式

    融点

    130〜135℃

    20. 取扱い上の注意

    外箱開封後は遮光して保存すること。

    22. 包装

    1mL[10アンプル]

    24. 文献請求先及び問い合わせ先

    富士製薬工業株式会社 くすり相談室

    〒939-3515 富山県富山市水橋辻ヶ堂1515番地

    (TEL) 0120-956-792
    (FAX) 076-478-0336

    26. 製造販売業者等

    26.1 製造販売元

    富士製薬工業株式会社

    富山県富山市水橋辻ヶ堂1515番地

    〒100-0013 東京都千代田区霞が関3-3-2 新霞が関ビル

    画面を閉じる

    Copyright © Pharmaceuticals and Medical Devices Agency, All Rights reserved.