医療用医薬品 詳細表示

クリンダマイシンリン酸エステル注300mg「F」/クリンダマイシンリン酸エステル注600mg「F」

処方せん医薬品

添付文書番号
企業コード
作成又は改訂年月
日本標準商品分類番号
薬効分類名
承認等
一般的名称
2.禁忌(次の患者には投与しないこと)
3.組成・性状
3.1組成
3.2製剤の性状
4.効能又は効果
5.効能又は効果に関連する注意
6.用法及び用量
8.重要な基本的注意
9.特定の背景を有する患者に関する注意
9.1合併症・既往歴等のある患者
9.2腎機能障害患者
9.3肝機能障害患者
9.5妊婦
9.6授乳婦
9.7小児等
9.8高齢者
10.相互作用
10.1併用禁忌(併用しないこと)
10.2併用注意(併用に注意すること)
11.副作用
11.1重大な副作用
11.2その他の副作用
14.適用上の注意
16.薬物動態
16.1血中濃度
16.3分布
16.4代謝
16.5排泄
18.薬効薬理
18.1作用機序
18.2抗菌作用
19.有効成分に関する理化学的知見
22.包装
23.主要文献
24.文献請求先及び問い合わせ先
26.製造販売業者等

クリンダマイシンリン酸エステル注300mg「F」/クリンダマイシンリン酸エステル注600mg「F」

添付文書番号

6112401A1160_1_06

企業コード

670109

作成又は改訂年月

2023年7月改訂(第1版)

日本標準商品分類番号

876112

薬効分類名

抗生物質製剤

承認等

クリンダマイシンリン酸エステル注300mg「F」

販売名コード

YJコード

6112401A1160

承認番号等

承認番号

22700AMX00122

販売開始年月

1996年7月

貯法・有効期間

貯法

室温保存

有効期間

2年

クリンダマイシンリン酸エステル注600mg「F」

販売名コード

YJコード

6112401A2174

承認番号等

承認番号

22700AMX00123

販売開始年月

1996年7月

貯法・有効期間

貯法

室温保存

有効期間

2年

一般的名称

クリンダマイシンリン酸エステル

2. 禁忌(次の患者には投与しないこと)

  1. 2.1 本剤の成分又はリンコマイシン系抗生物質に対し過敏症の既往歴のある患者
  2. 2.2 エリスロマイシンを投与中の患者

3. 組成・性状

3.1 組成

クリンダマイシンリン酸エステル注300mg「F」

有効成分1アンプル(2mL)中
日局 クリンダマイシンリン酸エステル300mg(力価)  
添加剤ベンジルアルコール 18.9mg
塩酸(pH調節剤) 適量
水酸化ナトリウム(pH調節剤) 適量

クリンダマイシンリン酸エステル注600mg「F」

有効成分1アンプル(4mL)中
日局 クリンダマイシンリン酸エステル600mg(力価)  
添加剤ベンジルアルコール 37.8mg
塩酸(pH調節剤) 適量
水酸化ナトリウム(pH調節剤) 適量

3.2 製剤の性状

クリンダマイシンリン酸エステル注300mg「F」

剤形注射剤(アンプル)
pH6.0〜7.0
浸透圧比約3(生理食塩液に対する比)
色調・性状無色〜淡黄色澄明の液

クリンダマイシンリン酸エステル注600mg「F」

剤形注射剤(アンプル)
pH6.0〜7.0
浸透圧比約3(生理食塩液に対する比)
色調・性状無色〜淡黄色澄明の液

4. 効能又は効果

  • 〈適応菌種〉
    • クリンダマイシンに感性のブドウ球菌属、レンサ球菌属、肺炎球菌、ペプトストレプトコッカス属、バクテロイデス属、プレボテラ属、マイコプラズマ属
  • 〈適応症〉
    • 敗血症、咽頭・喉頭炎、扁桃炎、急性気管支炎、肺炎、慢性呼吸器病変の二次感染、中耳炎、副鼻腔炎、顎骨周辺の蜂巣炎、顎炎

5. 効能又は効果に関連する注意

  • 〈咽頭・喉頭炎、扁桃炎、急性気管支炎、中耳炎、副鼻腔炎〉
    1. 5.1 「抗微生物薬適正使用の手引き」1) を参照し、抗菌薬投与の必要性を判断した上で、本剤の投与が適切と判断される場合に投与すること。
  • 〈効能共通〉
    1. 5.2 本剤の投与により偽膜性大腸炎があらわれることがあるため、次の場合には本剤を投与しないことが望ましい。,
      • 軽微な感染症
      • 他に有効な使用薬剤がある場合

6. 用法及び用量

  • 〈点滴静脈内注射〉
    • 通常成人には、クリンダマイシンとして1日600〜1,200mg(力価)を2〜4回に分けて点滴静注する。
      通常小児には、クリンダマイシンとして1日15〜25mg(力価)/kgを3〜4回に分けて点滴静注する。
      なお、難治性又は重症感染症には症状に応じて、成人では1日2,400mg(力価)まで増量し、2〜4回に分けて投与する。
      また、小児では1日40mg(力価)/kgまで増量し、3〜4回に分けて投与する。
      点滴静注に際しては、本剤300〜600mg(力価)あたり100〜250mLの日局5%ブドウ糖注射液、日局生理食塩液又はアミノ酸製剤等の補液に溶解し、30分〜1時間かけて投与する。
  • 〈筋肉内注射〉
    • 通常成人には、クリンダマイシンとして1日600〜1,200mg(力価)を2〜4回に分けて筋肉内注射する。
      なお、症状により適宜増減する。

8. 重要な基本的注意

  • 〈投与経路共通〉
    1. 8.1 本剤の使用にあたっては、耐性菌の発現等を防ぐため、原則として感受性を確認し、疾病の治療上必要な最小限の期間の投与にとどめること。
    2. 8.2 本剤の投与により、まれに発熱、腹痛、白血球増多、粘液・血液便を伴う激症下痢を主症状とする重篤な大腸炎で、内視鏡検査により偽膜斑等の形成をみる偽膜性大腸炎があらわれることがある。発症後直ちに投与を中止しなければ電解質失調、低蛋白血症等に陥り、特に高齢者及び衰弱患者では予後不良となることがある。
      したがって、投与患者に対し、投与中又は投与後2~3週間までに腹痛、頻回な下痢があらわれた場合には、直ちに医師に通知するよう注意すること。,,,
    3. 8.3 本剤によるショック、アナフィラキシーの発生を確実に予知できる方法がないので、次の措置をとること。
      1. 8.3.1 事前に既往歴等について十分な問診を行うこと。なお、抗生物質等によるアレルギー歴は必ず確認すること。
      2. 8.3.2 投与に際しては、必ずショック等に対する救急処置のとれる準備をしておくこと。
      3. 8.3.3 投与開始から投与終了後まで、患者を安静の状態に保たせ、十分な観察を行うこと。特に、投与開始直後は注意深く観察すること。
    4. 8.4 汎血球減少、無顆粒球症、血小板減少、好酸球増多、白血球減少、顆粒球減少があらわれることがあるので、血液検査等の観察を十分に行うこと。,
    5. 8.5 肝機能障害、黄疸があらわれることがあるので、定期的に肝機能検査を行うなど観察を十分に行うこと。
    6. 8.6 急性腎障害、BUNの上昇、クレアチニンの上昇、窒素血症、乏尿、蛋白尿があらわれることがあるので、定期的に腎機能検査を行うなど観察を十分に行うこと。,
  • 〈点滴静脈内投与〉
    1. 8.7 心停止を来すおそれがあるので、急速静注は行わないこと。

9. 特定の背景を有する患者に関する注意

9.1 合併症・既往歴等のある患者

  1. 9.1.1 衰弱患者、大腸炎等の既往歴のある患者

    偽膜性大腸炎等の重篤な大腸炎があらわれるおそれがある。,

  2. 9.1.2 アトピー性体質の患者

    重症の即時型アレルギー反応があらわれるおそれがある。

  3. 9.1.3 重症筋無力症の患者

    本剤は筋への直接作用により収縮を抑制するので、症状が悪化するおそれがある。

9.2 腎機能障害患者

腎排泄は本剤の主排泄経路ではないが、消失半減期が延長するおそれがある。

9.3 肝機能障害患者

胆汁排泄のため、消失半減期が延長するおそれがある。

9.5 妊婦

妊婦又は妊娠している可能性のある女性には投与しないことが望ましい。

9.6 授乳婦

治療上の有益性及び母乳栄養の有益性を考慮し、授乳の継続又は中止を検討すること。ヒト母乳中へ移行する。

9.7 小児等

  • 〈小児等〉
    1. 9.7.1 臨床試験は実施していない。
  • 〈低出生体重児、新生児〉
    1. 9.7.2 特に必要とする場合には慎重に投与すること。外国において、ベンジルアルコールの静脈内大量投与(99~234mg/kg)により、中毒症状(あえぎ呼吸、アシドーシス、痙攣等)が低出生体重児に発現したとの報告がある。本剤は添加剤としてベンジルアルコールを含有している。

9.8 高齢者

  1. 9.8.1 一般に生理機能が低下している。
  2. 9.8.2 偽膜性大腸炎等の重篤な大腸炎があらわれるおそれがある。,

10. 相互作用

    10.1 併用禁忌(併用しないこと)

    薬剤名等臨床症状・措置方法機序・危険因子

    エリスロマイシン

    • (エリスロシン等)

    併用しても本剤の効果があらわれないと考えられる。

    細菌のリボゾーム50S Subunitへの親和性が本剤より高い。

    10.2 併用注意(併用に注意すること)

    薬剤名等臨床症状・措置方法機序・危険因子

    末梢性筋弛緩剤

    • スキサメトニウム
      ツボクラリン等

    筋弛緩作用が増強される。

    本剤は神経筋遮断作用を有する。

    11. 副作用

    次の副作用があらわれることがあるので、観察を十分に行い、異常が認められた場合には投与を中止するなど適切な処置を行うこと。

    11.1 重大な副作用

    1. 11.1.1 ショック(頻度不明)、アナフィラキシー(頻度不明)

      呼吸困難、全身潮紅、血管浮腫、蕁麻疹等のアナフィラキシーを伴うことがあるので、観察を十分に行い、異常が認められた場合には投与を中止し、血圧の維持、体液の補充管理、気道の確保等の適切な処置を行うこと。

    2. 11.1.2 偽膜性大腸炎等の血便を伴う重篤な大腸炎(頻度不明)

      腹痛、頻回の下痢があらわれた場合には直ちに投与を中止し、輸液、バンコマイシンの経口投与等の適切な処置を行うこと。,,,

    3. 11.1.3 中毒性表皮壊死融解症(Toxic Epidermal Necrolysis:TEN)(頻度不明)、皮膚粘膜眼症候群(Stevens-Johnson症候群)(頻度不明)、急性汎発性発疹性膿疱症(頻度不明)、剥脱性皮膚炎(頻度不明)
    4. 11.1.4 薬剤性過敏症症候群(頻度不明)

      初期症状として発疹、発熱がみられ、更に肝機能障害、リンパ節腫脹、白血球増加、好酸球増多、異型リンパ球出現等を伴う遅発性の重篤な過敏症状があらわれることがあるので、観察を十分に行い、このような症状があらわれた場合には、投与を中止し、適切な処置を行うこと。投与中止後も発疹、発熱、肝機能障害等の症状が再燃あるいは遷延化することがあるので注意すること2)

    5. 11.1.5 間質性肺炎(頻度不明)、PIE症候群(頻度不明)

      発熱、咳嗽、呼吸困難、胸部X線異常、好酸球増多等を伴う間質性肺炎、PIE症候群があらわれることがあるので、観察を十分に行い、異常が認められた場合には投与を中止し、副腎皮質ホルモン剤の投与等の適切な処置を行うこと。

    6. 11.1.6 心停止(頻度不明)

      急速な静注により心停止があらわれたとの報告がある。

    7. 11.1.7 汎血球減少(頻度不明)、無顆粒球症(頻度不明)、血小板減少(0.01%)

    8. 11.1.8 肝機能障害(頻度不明)、黄疸(頻度不明)

      AST、ALT、Al-P等の上昇を伴う肝機能障害、黄疸があらわれることがある。

    9. 11.1.9 急性腎障害(頻度不明)

    11.2 その他の副作用

    0.1~5%未満a)

    0.1%未満a)

    頻度不明

    消化器

    下痢、悪心・嘔吐

    食欲不振、腹痛

    舌炎

    過敏症

    発疹、そう痒

    紅斑、浮腫

    血液b)

    好酸球増多

    白血球減少、顆粒球減少

    腎臓c)

    BUNの上昇

    クレアチニンの上昇、窒素血症、乏尿、蛋白尿

    神経系

    耳鳴、めまい

    菌交代症

    口内炎

    カンジダ症

    注射部位

    筋肉内投与による疼痛・硬結

    静脈内投与による血栓性静脈炎、筋肉内投与による壊死・無菌膿瘍

    その他

    苦味

    顔面のほてり、発熱、頭痛、倦怠感

    腟炎、小水疱性皮膚炎、多発性関節炎

    a:発現頻度は使用成績調査を含む。
    b:
    c:

    14. 適用上の注意

    14.1 薬剤投与時の注意

    • 〈筋肉内投与〉
      1. 14.1.1 やむを得ない場合にのみ必要最小限に行うこと。同一部位への反復注射は行わないこと。特に低出生体重児、新生児、乳児、幼児、小児には注意すること。
      2. 14.1.2 神経走行部位を避けること。
      3. 14.1.3 注射針を刺入したとき、激痛を訴えたり血液の逆流をみた場合は直ちに針を抜き、部位を変えて注射すること。

    16. 薬物動態

    16.1 血中濃度

    1. 16.1.1 単回投与
      • 〈点滴静脈内投与〉

        健康成人4例にクリンダマイシンリン酸エステル600mgを1時間かけて点滴静脈内投与した場合、血清中のクリンダマイシン濃度は点滴終了直後に10.5μg/mLのピーク値を示し、血清中濃度半減期は約30分であった3)

      • 〈筋肉内投与〉

        健康成人6例にクリンダマイシンリン酸エステル300mg又は600mgを単回筋肉内投与した場合、血清中のクリンダマイシン濃度は用量に比例していずれも投与1時間後にピーク値を示しそれぞれ3.11μg/mL、4.82μg/mLであった。血清中濃度半減期は300mg投与で2.70時間、600mg投与で3.54時間であった4)

    2. 16.1.2 生物学的同等性試験

      クリンダマイシンリン酸エステル注300mg「F」とダラシンS注射液300mgを、クロスオーバー法によりそれぞれ2mL(クリンダマイシンリン酸エステルとして300mg(力価))健康成人男子に筋肉内投与して血漿中クリンダマイシン濃度を測定し、得られた薬物動態パラメータ(AUC、Cmax)について統計解析を行った結果、両剤の生物学的同等性が確認された5)

      薬物動態パラメータ(筋肉内投与)

      判定パラメータ

      参考パラメータ

      AUC0→inf
      (μg・hr/mL)

      Cmax
      (μg・mL)

      Tmax
      (hr)

      T1/2
      (hr)

      クリンダマイシンリン酸エステル注300mg「F」

      24.07±
      5.75

      3.90±
      0.85

      2.15±
      1.07

      2.54±
      0.76

      ダラシンS注射液300mg

      22.87±
      4.02

      3.91±
      0.57

      1.81±
      0.75

      2.16±
      0.36

      (mean±S.D., n=13)

    ※血漿中濃度並びにAUC、Cmax等のパラメータは、被験者の選択、体液の採取回数・時間等の試験条件によって異なる可能性がある。

    16.3 分布

    喀痰、唾液、肺、胸水、口蓋扁桃、上顎洞粘膜、中耳粘膜、乳汁中等へ高い移行を示す6),7),8),9),10),11),12)

    16.4 代謝

    本剤は生体内で速やかに加水分解され、クリンダマイシンとなる。更にクリンダマイシンは肝で代謝され、N-デメチルクリンダマイシンとクリンダマイシンスルホキシドの2つの抗菌活性のある代謝産物を生じる7)

    16.5 排泄

    • 〈点滴静脈内投与〉

      呼吸器疾患患者5例に600mg(力価)を点滴静注した時の6時間までの尿中排泄率は9.3%であった6)

    • 〈筋肉内投与〉

      健康成人4例に600mg(力価)を筋注した時の6時間までの尿中排泄率は9.2%であった7)

    18. 薬効薬理

    18.1 作用機序

    細菌のリボゾーム50S Subunitに作用し、ペプチド転移酵素反応を阻止し蛋白合成を阻害する13)

    18.2 抗菌作用

    1. 18.2.1 クリンダマイシンリン酸エステルは生体内で加水分解され、クリンダマイシンとして抗菌力を示す14)
    2. 18.2.2 ブドウ球菌属、レンサ球菌属(腸球菌を除く)、肺炎球菌等の好気性グラム陽性球菌、ペプトコッカス属、ペプトストレプトコッカス属、バクテロイデス属等の嫌気性菌及びマイコプラズマ属に対し抗菌作用を示す15),16),17)in vitro)。

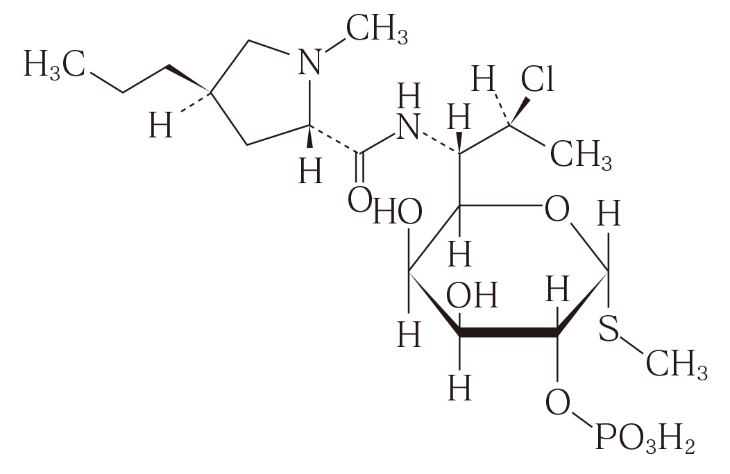
    19. 有効成分に関する理化学的知見

    一般的名称

    クリンダマイシンリン酸エステル(Clindamycin Phosphate)

    化学名

    Methyl 7-chloro-6,7,8-trideoxy-6-[(2S,4R)-1-methyl-4-propylpyrrolidine-2-carboxamido]-1-thio-L-threo-α-D-galacto-octopyranoside 2-dihydrogenphosphate

    分子式

    C18H34ClN2O8PS

    分子量

    504.96

    性状

    白色〜微黄白色の結晶性の粉末である。
    水に溶けやすく、メタノールにやや溶けにくく、エタノール(95)にほとんど溶けない。

    化学構造式

    22. 包装

    • 〈クリンダマイシンリン酸エステル注300mg「F」〉

      10アンプル

    • 〈クリンダマイシンリン酸エステル注600mg「F」〉

      10アンプル

    24. 文献請求先及び問い合わせ先

    富士製薬工業株式会社 富山工場 学術情報課

    〒939-3515 富山県富山市水橋辻ヶ堂1515番地

    (TEL)0120-956-792
    (FAX)076-478-0336

    26. 製造販売業者等

    26.1 製造販売元

    富士製薬工業株式会社

    富山県富山市水橋辻ヶ堂1515番地

    〒100-0013 東京都千代田区霞が関3-3-2 新霞が関ビル

    画面を閉じる

    Copyright © Pharmaceuticals and Medical Devices Agency, All Rights reserved.