医療用医薬品 詳細表示

ビダラビン軟膏3%「F」

処方せん医薬品以外の医薬品

添付文書番号
企業コード
作成又は改訂年月
日本標準商品分類番号
薬効分類名
承認等
一般的名称
2.禁忌(次の患者には投与しないこと)
3.組成・性状
3.1組成
3.2製剤の性状
4.効能又は効果
5.効能又は効果に関連する注意
6.用法及び用量
7.用法及び用量に関連する注意
9.特定の背景を有する患者に関する注意
9.5妊婦
9.7小児等
10.相互作用
10.2併用注意(併用に注意すること)
11.副作用
11.2その他の副作用
14.適用上の注意
16.薬物動態
16.1血中濃度
16.5排泄
17.臨床成績
17.1有効性及び安全性に関する試験
18.薬効薬理
18.1作用機序
18.2抗ウイルス作用
18.3生物学的同等性試験
19.有効成分に関する理化学的知見
20.取扱い上の注意
22.包装
23.主要文献
24.文献請求先及び問い合わせ先
26.製造販売業者等

ビダラビン軟膏3%「F」

添付文書番号

6250700M1219_1_02

企業コード

670109

作成又は改訂年月

2023年8月改訂(第1版)

日本標準商品分類番号

87625

薬効分類名

抗ウイルス剤

承認等

ビダラビン軟膏3%「F」

販売名コード

YJコード

6250700M1219

販売名英語表記

VIDARABINE ointment

承認番号等

承認番号

22500AMX00582

販売開始年月

1999年7月

貯法・有効期間

貯法

室温保存

有効期間

3年

一般的名称

ビダラビン

2. 禁忌(次の患者には投与しないこと)

本剤の成分に対し過敏症の既往歴のある患者

3. 組成・性状

3.1 組成

ビダラビン軟膏3%「F」

有効成分1g中 ビダラビン 30mg  
添加剤白色ワセリン、流動パラフィン

3.2 製剤の性状

ビダラビン軟膏3%「F」

性状白色・軟膏剤

4. 効能又は効果

帯状疱疹、単純疱疹

5. 効能又は効果に関連する注意

本剤は局所治療を目的とした薬剤であるため、発熱、汎発疹等の全身症状がみられる場合又は使用中にあらわれた場合には重症化することがあるので、他の全身的治療を考慮すること。

6. 用法及び用量

患部に適量を1日1~4回、塗布または貼布する。

7. 用法及び用量に関連する注意

  1. 7.1 本剤の使用は、発病初期に近い程効果が期待できるので、原則として発症から5日以内に使用開始すること。
  2. 7.2 本剤を7日間使用し、改善の兆しがみられないか、あるいは悪化する場合には他の治療に切り替えること。

9. 特定の背景を有する患者に関する注意

9.5 妊婦

妊婦又は妊娠している可能性のある女性には治療上の有益性が危険性を上回ると判断される場合にのみ使用すること。静脈投与による動物実験(ラット、ウサギ)で催奇形作用が報告されている。

9.7 小児等

小児等を対象とした有効性及び安全性を指標とした臨床試験は実施していない。

10. 相互作用

    10.2 併用注意(併用に注意すること)

    薬剤名等臨床症状・措置方法機序・危険因子
    • ペントスタチン

    ビダラビン(注射剤)との併用により腎不全、肝不全、神経毒性等の重篤な副作用が発現したとの報告がある1)

    ペントスタチンが、ビダラビンの代謝に関与するADA(アデノシンデアミナーゼ)酵素の阻害作用を有するため、ビダラビンの血中濃度が高まることによると考えられる2)

    11. 副作用

    次の副作用があらわれることがあるので、観察を十分に行い、異常が認められた場合には投与を中止するなど適切な処置を行うこと。

    11.2 その他の副作用

    1%未満

    皮膚

    接触皮膚炎様症状、刺激感、そう痒感等

    14. 適用上の注意

    14.1 薬剤交付時の注意

    本剤の基剤として使用されている油脂性成分は、コンドーム等の避妊用ラテックスゴム製品の品質を劣化・破損する可能性があるため、これらとの接触を避けさせること。

    14.2 薬剤使用時の注意

    眼科用として、角膜、結膜には使用しないこと。

    16. 薬物動態

    16.1 血中濃度

    健康成人男性(10例)にビダラビン軟膏剤3%10g(ビダラビンとして300mg)を24時間、密封塗布したところ、ビダラビンの血漿中濃度は検出限界以下であった3)

    16.5 排泄

    健康成人男性(10例)にビダラビン軟膏剤3%10g(ビダラビンとして300mg)を24時間、密封塗布したところ、塗布開始後48時間までのビダラビン及び主代謝物であるAra-Hx(9-β-D-Arabinofuranosyl Hypoxanthine)の尿中濃度は検出限界以下であった3)

    17. 臨床成績

    17.1 有効性及び安全性に関する試験

    • 〈帯状疱疹〉
      1. 17.1.1 国内第Ⅱ相臨床試験、第Ⅲ相臨床試験及び一般臨床試験

        帯状疱疹に対して実施した二重盲検比較試験及び一般臨床試験において、ビダラビン軟膏剤3%を1日1回10日間又は14日間1) 貼布したところ、有用性評価がなされた210例中、極めて有用37例、有用98例で有用以上の有用率は64.3%であった。
        副作用発現頻度は、1.7%(4/232例)であった。副作用は、刺激感0.9%(2/232例)、びらん・潰瘍部の二次感染0.4%(1/232例)、そう痒感0.4%(1/232例)であった4),5),6)

    • 〈単純疱疹〉
      1. 17.1.2 国内第Ⅲ相臨床試験及び一般臨床試験

        単純疱疹に対して実施した二重盲検比較試験及び一般臨床試験において、ビダラビン軟膏剤3%を1日1~数回10日間又は14日間1) 塗布又は貼布したところ、有用性評価がなされた233例中、極めて有用75例、有用94例で有用以上の有用率は72.5%であった。
        副作用発現頻度は、1.6%(4/253例)であった。副作用は、いずれも接触皮膚炎様症状であった7),8),9),10),11)

      2. 17.1.3 国内第Ⅲ相臨床試験

        性器ヘルペス症に対してビダラビン軟膏剤3%又はプラセボを1日3~4回10日間1) 塗布又は貼布した二重盲検比較試験においてウイルス学的効果の検討がなされ、ウイルスの陰性化率はプラセボ投与群に比し有意に優れていた。副作用は認められなかった7)

        1) 投与期間中に治癒した場合はその時点で試験を終了し、有用性評価等の最終判定を実施した。

    18. 薬効薬理

    18.1 作用機序

    ウイルスのDNA依存DNAポリメラーゼを強力に阻害することにより抗ウイルス作用が発現するものと推察されている12)

    18.2 抗ウイルス作用

    1. 18.2.1 ビダラビンは単純ヘルペスウイルス、サイトメガロウイルス、アデノウイルス、ワクチニアウイルス、水痘・帯状疱疹ウイルス等のDNAウイルスに対しては強い増殖抑制作用を有するが、インフルエンザウイルス等のRNAウイルスに対する増殖抑制作用は認められていない(in vitro13),14)
    2. 18.2.2 単純ヘルペスウイルス1型を側腹部皮内に接種したマウスにウイルス接種3時間後よりビダラビン3%含有軟膏を12時間ごとに塗布した実験において、ビダラビン投与群ではプラセボ投与群に比し死亡率が有意に低下した。また、ウイルス接種24時間後より塗布を開始した実験でもビダラビン非塗布の対照群に比し有意な生存期間の延長が認められた15)
    3. 18.2.3 単純ヘルペスウイルス1型又はアシクロビル耐性の単純ヘルペスウイルス2型を側腹部皮内に接種したマウスにウイルス接種3時間後よりビダラビン3%含有クリームを12時間ごとに塗布した実験において、ビダラビン投与群ではプラセボ投与群に比しいずれのウイルス接種においても死亡率の有意な低下と生存期間の有意な延長が認められた16),17)

    18.3 生物学的同等性試験

    単純ヘルペスウイルスⅠ型及びアシクロビル耐性ヘルペスウイルスⅡ型の感染マウスにビダラビン軟膏3%「F」及びアラセナ-A軟膏3%を塗布し、治癒効果を比較した。その結果、両製剤間の治癒効果に有意な差は認められず、生物学的同等性が確認された18)

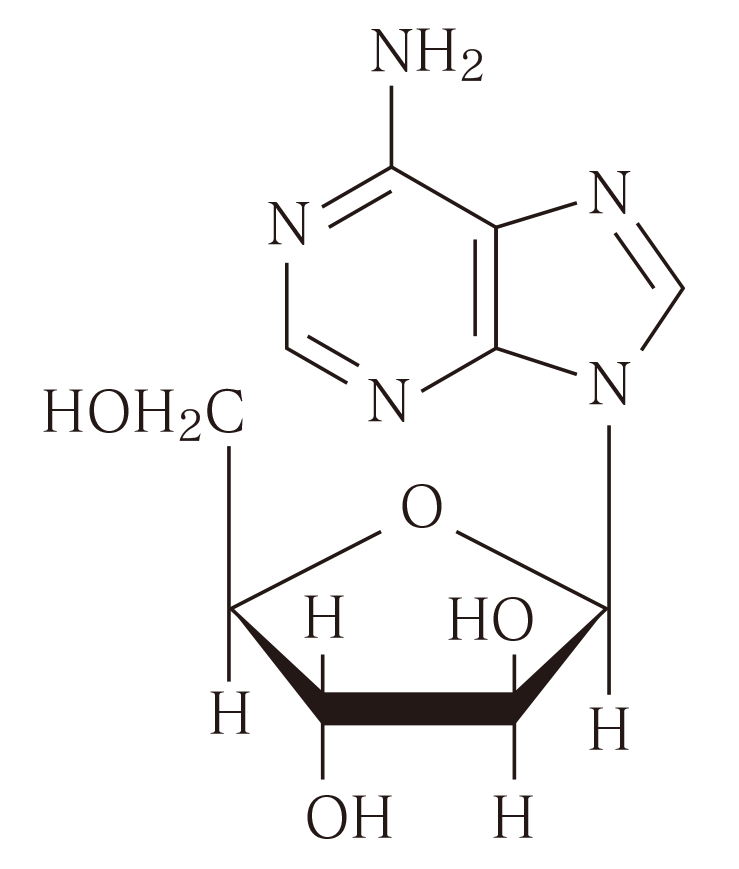
    19. 有効成分に関する理化学的知見

    一般的名称

    ビダラビン(Vidarabine)

    化学名

    9-β-D-Arabinofuranosyladenine

    分子式

    C10H13N5O4

    分子量

    267.24

    性状

    白色の結晶性の粉末で、におい及び味はない。
    ジメチルスルホキシドに溶けやすく、酢酸(100)に溶けにくく、水又はエタノール(95)に極めて溶けにくく、ジエチルエーテルにほとんど溶けない。
    吸湿性である。
    融点:約250℃(分解)

    化学構造式

    20. 取扱い上の注意

    高温を避けて保存すること。

    22. 包装

    チューブ:5g×5本、5g×10本

    24. 文献請求先及び問い合わせ先

    富士製薬工業株式会社 富山工場 学術情報課

    〒939-3515 富山県富山市水橋辻ヶ堂1515番地

    (TEL)0120-956-792
    (FAX)076-478-0336

    26. 製造販売業者等

    26.1 製造販売元

    富士製薬工業株式会社

    富山県富山市水橋辻ヶ堂1515番地

    〒100-0013 東京都千代田区霞が関3-3-2 新霞が関ビル

    画面を閉じる

    Copyright © Pharmaceuticals and Medical Devices Agency, All Rights reserved.