医療用医薬品 詳細表示

アトロピン硫酸塩注0.5mg「フソー」

処方せん医薬品

添付文書番号
企業コード
作成又は改訂年月
日本標準商品分類番号
薬効分類名
承認等
一般的名称
2.禁忌(次の患者には投与しないこと)
3.組成・性状
3.1組成
3.2製剤の性状
4.効能・効果
6.用法・用量
8.重要な基本的注意
9.特定の背景を有する患者に関する注意
9.1合併症・既往歴等のある患者
9.5妊婦
9.6授乳婦
9.7小児等
9.8高齢者
10.相互作用
10.2併用注意(併用に注意すること)
11.副作用
11.1重大な副作用
11.2その他の副作用
13.過量投与
14.適用上の注意
16.薬物動態
16.1血中濃度
16.5排泄
18.薬効薬理
18.1作用機序
19.有効成分に関する理化学的知見
20.取扱い上の注意
22.包装
23.主要文献
24.文献請求先及び問い合わせ先
26.製造販売業者等

アトロピン硫酸塩注0.5mg「フソー」

添付文書番号

1242405A1070_3_06

企業コード

670156

作成又は改訂年月

2024年1月改訂(第1版)

日本標準商品分類番号

871242

薬効分類名

アトロピン製剤

承認等

アトロピン硫酸塩注0.5mg「フソー」

販売名コード

YJコード

1242405A1070

販売名英語表記

Atropine Sulfate Injection"FUSO"

販売名ひらがな

あとろぴんりゅうさんえんちゅう0.5mg「ふそー」

承認番号等

承認番号

21900AMX01238

販売開始年月

1957年6月

貯法・有効期間

貯法

室温保存

有効期間

3年

基準名

日本薬局方

アトロピン硫酸塩注射液

一般的名称

アトロピン硫酸塩注射液

2. 禁忌(次の患者には投与しないこと)

  1. 2.1 閉塞隅角緑内障の患者[抗コリン作用により眼圧が上昇し、症状を悪化させることがある。]
  2. 2.2 前立腺肥大による排尿障害のある患者[抗コリン作用による膀胱平滑筋の弛緩、膀胱括約筋の緊張により、排尿困難を悪化させるおそれがある。]
  3. 2.3 麻痺性イレウスの患者[抗コリン作用により消化管運動を抑制し、症状を悪化させるおそれがある。]
  4. 2.4 本剤の成分に対し過敏症の既往歴のある患者

3. 組成・性状

3.1 組成

アトロピン硫酸塩注0.5mg「フソー」

1管中(1mL)
有効成分日局 アトロピン硫酸塩水和物   0.5mg
添加剤塩化ナトリウム
pH調節剤

3.2 製剤の性状

アトロピン硫酸塩注0.5mg「フソー」

剤形水性注射剤
pH4.0~6.0
浸透圧比0.9~1.1(生理食塩液に対する比)
性状無色澄明の液

4. 効能・効果

胃・十二指腸潰瘍における分泌並びに運動亢進、胃腸の痙攣性疼痛、痙攣性便秘、胆管・尿管の疝痛、有機燐系殺虫剤・副交感神経興奮剤の中毒、迷走神経性徐脈及び迷走神経性房室伝導障害、麻酔前投薬、その他の徐脈及び房室伝導障害、ECTの前投与

6. 用法・用量

  • 〈胃・十二指腸潰瘍における分泌並びに運動亢進、胃腸の痙攣性疼痛、痙攣性便秘、胆管・尿管の疝痛、副交感神経興奮剤の中毒、迷走神経性徐脈及び迷走神経性房室伝導障害、麻酔前投薬、その他の徐脈及び房室伝導障害〉

    アトロピン硫酸塩水和物として、通常成人0.5mgを皮下又は筋肉内に注射する。場合により静脈内に注射することもできる。なお、年齢、症状により適宜増減する。

  • 〈有機燐系殺虫剤中毒〉

    症状により次のように用いる。

    • 軽 症:アトロピン硫酸塩水和物として0.5~1mgを皮下注射するか、又は0.5~1mgを経口投与する。
      中等症:アトロピン硫酸塩水和物として、1~2mgを皮下・筋肉内又は静脈内に注射する。必要があれば、その後20~30分毎に繰り返し注射する。
      重 症:初回アトロピン硫酸塩水和物として、2~4mgを静脈内に注射し、その後症状に応じてアトロピン飽和の徴候が認められるまで繰り返し注射を行う。
  • 〈ECTの前投与〉

    アトロピン硫酸塩水和物として、通常成人1回0.5mgを皮下、筋肉内又は静脈内注射する。なお、年齢、症状により適宜増減する。

8. 重要な基本的注意

視調節障害、散瞳等を起こすことがあるので、本剤投与中の患者には、自動車の運転等、危険を伴う機械の操作に従事させないなど注意すること。

9. 特定の背景を有する患者に関する注意

9.1 合併症・既往歴等のある患者

  1. 9.1.1 前立腺肥大のある患者(排尿障害のある患者を除く)

    抗コリン作用による膀胱平滑筋の弛緩、膀胱括約筋の緊張により、排尿困難を悪化させるおそれがある。

  2. 9.1.2 うっ血性心不全のある患者

    抗コリン作用により、心拍数が増加し、心臓に過負荷をかけることがあるため、症状を悪化させるおそれがある。

  3. 9.1.3 重篤な心疾患のある患者

    心筋梗塞に併発する徐脈、房室伝導障害には、アトロピンはときに過度の迷走神経遮断効果として心室頻脈、細動を起こすことがある。

  4. 9.1.4 潰瘍性大腸炎の患者

    中毒性巨大結腸があらわれることがある。

  5. 9.1.5 甲状腺機能亢進症の患者

    抗コリン作用により、頻脈、体温上昇等の交感神経興奮様症状が増強するおそれがある。

  6. 9.1.6 高温環境にある患者

    抗コリン作用により発汗抑制が起こり、体温調節が困難になるおそれがある。

  7. 9.1.7 開放隅角緑内障の患者

    抗コリン作用により眼圧が上昇し、症状を悪化させることがある。

9.5 妊婦

妊婦又は妊娠している可能性のある女性には投与しないことが望ましい。胎児に頻脈等を起こすことがある。

9.6 授乳婦

授乳しないことが望ましい。新生児に頻脈等を起こすことがある。また、乳汁分泌が抑制されることがある。

9.7 小児等

小児等を対象とした臨床試験は実施していない。

9.8 高齢者

慎重に投与すること。抗コリン作用による緑内障、記銘障害、口渇、排尿困難、便秘等があらわれやすい。

10. 相互作用

    10.2 併用注意(併用に注意すること)

    薬剤名等臨床症状・措置方法機序・危険因子

    抗コリン作用を有する薬剤

    • 三環系抗うつ剤
      フェノチアジン系薬剤
      イソニアジド
      抗ヒスタミン剤

    抗コリン作用(口渇、便秘、麻痺性イレウス、尿閉等)が増強することがある。
    併用する場合には、定期的に臨床症状を観察し、用量に注意する。

    相加的に作用(抗コリン作用)を増強させる。

    MAO阻害剤

    本剤の作用が増強することがある。
    異常が認められた場合には、本剤を減量するなど適切な処置を行う。

    MAO阻害剤は抗コリン作用を増強させる。

    ジギタリス製剤
    ジゴキシン等

    ジギタリス中毒(嘔気、嘔吐、めまい、徐脈、不整脈等)があらわれることがある。
    定期的にジギタリス中毒の有無、心電図検査を行い、必要に応じてジギタリス製剤の血中濃度を測定し、異常が認められた場合には、ジギタリス製剤の減量若しくは投与を中止する。

    ジギタリス製剤の血中濃度を上昇させる。

    プラリドキシムヨウ化メチル
    (PAM)

    混注により本剤の薬効発現が遅延することがある。
    併用する場合には、混注を避け定期的に臨床症状を観察し、用量に注意する。

    プラリドキシムヨウ化メチルの局所血管収縮作用が本剤の組織移行を遅らせる。

    11. 副作用

    次の副作用があらわれることがあるので、観察を十分に行い、異常が認められた場合には投与を中止するなど適切な処置を行うこと。

    11.1 重大な副作用

    1. 11.1.1 ショック、アナフィラキシー(頻度不明)

      頻脈、全身潮紅、発汗、顔面浮腫等があらわれた場合には投与を中止し、適切な処置を行うこと。

    11.2 その他の副作用

    頻度不明

    散瞳、視調節障害、緑内障

    消化器

    口渇、悪心、嘔吐、嚥下障害、便秘

    泌尿器

    排尿障害

    精神神経系

    頭痛、頭重感、記銘障害

    呼吸・循環器

    心悸亢進、呼吸障害

    過敏症

    発疹

    その他

    顔面潮紅

    13. 過量投与

    1. 13.1 症状

      頻脈、心悸亢進、口渇、散瞳、近接視困難、嚥下困難、頭痛、熱感、排尿障害、腸蠕動の減弱、不安、興奮、せん妄等を起こすことがある。

    2. 13.2 処置

      重度な抗コリン症状には、コリンエステラーゼ阻害薬ネオスチグミンの0.5~1mgを筋注する。必要に応じて2、3時間ごとに繰り返す。

    14. 適用上の注意

    14.1 皮下・筋肉内注射時

    皮膚・筋肉壊死、筋肉障害等があらわれることがあるので、皮下、筋肉内注射に当たっては、組織・神経等への影響を避けるため、下記の点に留意すること。

    • 神経走行部位を避けるように注意して注射すること。
    • 繰り返し注射する場合には、例えば左右交互に注射するなど、注射部位を変えて行うこと。
      なお、小児等には連用しないことが望ましい。
    • 注射針を刺入したとき、激痛を訴えたり、血液の逆流をみた場合には、直ちに針を抜き、部位を変えて注射すること。

    16. 薬物動態

    16.1 血中濃度

    ヒトにアトロピン硫酸塩水和物を2mg筋肉内投与したとき、血漿中濃度は投与後20分以内に最高(11.1ng/mL)に達し、3.8時間の半減期で減少する1)(外国人データ)。

    16.5 排泄

    ヒトにアトロピン硫酸塩水和物を2mg筋肉内投与したとき、24時間以内に投与量の85%が尿中に排泄されるが、尿中排泄物の約50%は未変化体であり、加水分解により生成するトロパ酸の排泄は2%以下である2)(外国人データ)。

    18. 薬効薬理

    18.1 作用機序

    アセチルコリン、ムスカリン様薬物に対し競合的拮抗作用をあらわす(抗コリン作用)。この作用は、平滑筋、心筋及び外分泌腺のムスカリン受容体に対し特に選択性が高く、消化管、胆管、膀胱、尿管等の攣縮を緩解すると共に、唾液、気管支粘膜、胃液、膵液等の分泌を抑制する。心臓に対し、低用量では通常徐脈があらわれるが、高用量では心拍数を増加させる3),4),5)

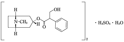
    19. 有効成分に関する理化学的知見

    一般的名称

    アトロピン硫酸塩水和物(Atropine Sulfate Hydrate)

    化学名

    (1R,3r,5S)-8-Methyl-8-azabicyclo[3.2.1]oct-3-yl[(2RS)-3-hydroxy-2-phenyl]propanoate hemisulfate hemihydrate

    分子式

    (C17H23NO3)2・H2SO4・H2O

    分子量

    694.83

    性状

    無色の結晶又は白色の結晶性の粉末で、においはない。水又は酢酸(100)に極めて溶けやすく、エタノール(95)に溶けやすく、ジエチルエーテルにほとんど溶けない。光によって変化する。

    化学構造式

    融点

    188~194℃(分解)。乾燥後、180℃の浴液中に挿入し、1分間に約3℃上昇するように加熱を続ける。

    20. 取扱い上の注意

    外箱開封後は遮光して保存すること。

    22. 包装

    1mL 10管 ガラスアンプル
    1mL 50管 ガラスアンプル

    24. 文献請求先及び問い合わせ先

    アルフレッサ ファーマ株式会社 製品情報部

    〒540-8575 大阪市中央区石町二丁目2番9号

    TEL 06-6941-0306  FAX 06-6943-8212

    26. 製造販売業者等

    26.1 製造販売元

    扶桑薬品工業株式会社

    大阪市城東区森之宮二丁目3番11号

    26.2 販売元

    アルフレッサ ファーマ株式会社

    大阪市中央区石町二丁目2番9号

    〒100-0013 東京都千代田区霞が関3-3-2 新霞が関ビル

    画面を閉じる

    Copyright © Pharmaceuticals and Medical Devices Agency, All Rights reserved.