医療用医薬品 詳細表示

コデインリン酸塩散1%「フソー」

処方せん医薬品以外の医薬品

添付文書番号
企業コード
作成又は改訂年月
日本標準商品分類番号
薬効分類名
承認等
一般的名称
2.禁忌(次の患者には投与しないこと)
3.組成・性状
3.1組成
3.2製剤の性状
4.効能・効果
6.用法・用量
8.重要な基本的注意
9.特定の背景を有する患者に関する注意
9.1合併症・既往歴等のある患者
9.2腎機能障害患者
9.3肝機能障害患者
9.5妊婦
9.6授乳婦
9.7小児等
9.8高齢者
10.相互作用
10.2併用注意(併用に注意すること)
11.副作用
11.1重大な副作用
11.2その他の副作用
13.過量投与
15.その他の注意
15.1臨床使用に基づく情報
18.薬効薬理
18.1作用機序
19.有効成分に関する理化学的知見
22.包装
23.主要文献
24.文献請求先及び問い合わせ先
26.製造販売業者等

コデインリン酸塩散1%「フソー」

添付文書番号

2242001B2335_1_02

企業コード

670156

作成又は改訂年月

2022年10月改訂(第2版)
2020年12月作成

日本標準商品分類番号

872242

薬効分類名

*コデイン系製剤

承認等

コデインリン酸塩散1%「フソー」

販売名コード

YJコード

2242001B2335

販売名英語表記

Codeine Phosphate Powder ″FUSO″

販売名ひらがな

こでいんりんさんえんさん1%「ふそー」

承認番号等

承認番号

30200AMX00547

販売開始年月

1965年2月

貯法・有効期間

貯法

室温保存

有効期間

3年

基準名

日本薬局方

コデインリン酸塩散1%

規制区分

劇薬

一般的名称

コデインリン酸塩水和物

2. 禁忌(次の患者には投与しないこと)

  1. 2.1 重篤な呼吸抑制のある患者[呼吸抑制を増強する。]
  2. 2.2 12歳未満の小児
  3. 2.3 扁桃摘除術後又はアデノイド切除術後の鎮痛目的で使用する18歳未満の患者 [重篤な呼吸抑制のリスクが増加するおそれがある。]
  4. 2.4 気管支喘息発作中の患者[気道分泌を妨げる。]
  5. 2.5 重篤な肝機能障害のある患者
  6. 2.6 慢性肺疾患に続発する心不全の患者[呼吸抑制や循環不全を増強する。]
  7. 2.7 痙攣状態(てんかん重積症、破傷風、ストリキニーネ中毒)にある患者[脊髄の刺激効果があらわれる。]
  8. 2.8 急性アルコール中毒の患者[呼吸抑制を増強する。]
  9. 2.9 アヘンアルカロイドに対し過敏症の患者
  10. 2.10 出血性大腸炎の患者[腸管出血性大腸菌(O157等)や赤痢菌等の重篤な細菌性下痢のある患者では、症状の悪化、治療期間の延長をきたすおそれがある。]

3. 組成・性状

3.1 組成

コデインリン酸塩散1%「フソー」

有効成分1g中
日局 コデインリン酸塩水和物   10mg
添加剤乳糖水和物

3.2 製剤の性状

コデインリン酸塩散1%「フソー」

性状白色の散剤

4. 効能・効果

  • 各種呼吸器疾患における鎮咳・鎮静
  • 疼痛時における鎮痛
  • 激しい下痢症状の改善

6. 用法・用量

通常成人1回2g、1日6gを経口投与する。
なお、年齢、症状により適宜増減する。

8. 重要な基本的注意

  1. 8.1 連用により薬物依存を生じることがあるので、観察を十分に行い、慎重に投与すること。
  2. 8.2 眠気、めまいが起こることがあるので、本剤投与中の患者には自動車の運転等危険を伴う機械の操作に従事させないよう注意すること。

9. 特定の背景を有する患者に関する注意

9.1 合併症・既往歴等のある患者

  1. 9.1.1 細菌性下痢のある患者

    治療上やむを得ないと判断される場合を除き、投与しないこと。治療期間の延長をきたすおそれがある。

  2. 9.1.2 18歳未満の肥満、閉塞性睡眠時無呼吸症候群又は重篤な肺疾患を有する患者

    投与しないこと。重篤な呼吸抑制のリスクが増加するおそれがある。

  3. 9.1.3 心機能障害のある患者

    循環不全を増強するおそれがある。

  4. 9.1.4 呼吸機能障害のある患者

    呼吸抑制を増強するおそれがある。

  5. 9.1.5 脳に器質的障害のある患者

    呼吸抑制や頭蓋内圧の上昇を起こすおそれがある。

  6. 9.1.6 ショック状態にある患者

    循環不全や呼吸抑制を増強するおそれがある。

  7. 9.1.7 代謝性アシドーシスのある患者

    呼吸抑制を起こすおそれがある。

  8. 9.1.8 甲状腺機能低下症(粘液水腫等)の患者

    呼吸抑制や昏睡を起こすおそれがある。

  9. 9.1.9 副腎皮質機能低下症(アジソン病等)の患者

    呼吸抑制作用に対し、感受性が高くなっている。

  10. 9.1.10 薬物依存の既往歴のある患者

    依存性を生じやすい。

  11. 9.1.11 衰弱者

    呼吸抑制作用に対し、感受性が高くなっている。

  12. 9.1.12 前立腺肥大による排尿障害、尿道狭窄、尿路手術術後の患者

    排尿障害を増悪することがある。

  13. 9.1.13 器質的幽門狭窄、麻痺性イレウス又は最近消化管手術を行った患者

    消化管運動を抑制する。

  14. 9.1.14 痙攣の既往歴のある患者

    痙攣を誘発するおそれがある。

  15. 9.1.15 胆嚢障害及び胆石のある患者

    胆道痙攣を起こすことがある。

  16. 9.1.16 重篤な炎症性腸疾患のある患者

    連用した場合、巨大結腸症を起こすおそれがある。

9.2 腎機能障害患者

排泄が遅延し、副作用があらわれるおそれがある。

9.3 肝機能障害患者

  1. 9.3.1 重篤な肝機能障害のある患者

    投与しないこと。昏睡に陥ることがある。

  2. 9.3.2 肝機能障害患者(重篤な肝機能障害のある患者を除く)

    代謝が遅延し、副作用があらわれるおそれがある。

9.5 妊婦

妊婦又は妊娠している可能性のある女性には、治療上の有益性が危険性を上回ると判断される場合にのみ投与すること。動物実験(マウス)で催奇形作用が報告されている。
分娩前に投与した場合、出産後新生児に退薬症候(多動、神経過敏、不眠、振戦等)があらわれることがある。
分娩時の投与により、新生児に呼吸抑制があらわれるとの報告がある。

9.6 授乳婦

本剤投与中は授乳を避けさせること。母乳への移行により、乳児でモルヒネ中毒(傾眠、哺乳困難、呼吸困難等)が生じたとの報告がある。CYP2D6の活性が過剰であることが判明している患者(Ultra-rapid Metabolizer)では、母乳中のモルヒネ濃度が高くなるおそれがある1),2)

9.7 小児等

  1. 9.7.1 12歳未満の小児

    投与しないこと。呼吸抑制の感受性が高い。海外において、死亡を含む重篤な呼吸抑制のリスクが高いとの報告がある。

  2. 9.7.2 肥満、閉塞性睡眠時無呼吸症候群又は重篤な肺疾患を有する小児

    投与しないこと。重篤な呼吸抑制のリスクが増加するおそれがある。

9.8 高齢者

低用量から投与を開始するなど患者の状態を観察しながら、慎重に投与すること。一般に生理機能が低下しており、特に呼吸抑制の感受性が高い。

10. 相互作用

  • 本剤は、主として肝代謝酵素UGT2B7、UGT2B4及び一部CYP3A4、CYP2D6で代謝される。

10.2 併用注意(併用に注意すること)

薬剤名等臨床症状・措置方法機序・危険因子

中枢神経抑制剤

  • フェノチアジン系薬剤、バルビツール酸系薬剤等

吸入麻酔剤
モノアミン酸化酵素阻害剤
三環系抗うつ剤
β-遮断剤
アルコール

呼吸抑制、低血圧及び顕著な鎮静又は昏睡が起こることがある。

相加的に中枢神経抑制作用が増強される。

クマリン系抗凝血剤

  • ワルファリン

クマリン系抗凝血剤の作用が増強されることがある。

機序は不明である。

抗コリン作動性薬剤

麻痺性イレウスに至る重篤な便秘又は尿貯留が起こるおそれがある。

相加的に抗コリン作用が増強される。

ナルメフェン塩酸塩水和物

本剤の効果が減弱するおそれがある。

μオピオイド受容体拮抗作用により、本剤の作用が競合的に阻害される。

11. 副作用

次の副作用があらわれることがあるので、観察を十分に行い、異常が認められた場合には投与を中止するなど適切な処置を行うこと。

11.1 重大な副作用

  1. 11.1.1 依存性(頻度不明)

    連用により生じることがある。また、連用中における投与量の急激な減少ないし投与の中止により、あくび、くしゃみ、流涙、発汗、悪心、嘔吐、下痢、腹痛、散瞳、頭痛、不眠、不安、せん妄、振戦、全身の筋肉・関節痛、呼吸促迫等の退薬症候があらわれることがあるので、投与を中止する場合には、1日用量を徐々に減量するなど、患者の状態を観察しながら行うこと。

  2. 11.1.2 呼吸抑制(頻度不明)

    息切れ、呼吸緩慢、不規則な呼吸、呼吸異常等があらわれた場合には、投与を中止するなど適切な処置を行うこと。
    なお、本剤による呼吸抑制には、麻薬拮抗剤(ナロキソン、レバロルファン等)が拮抗する。

  3. 11.1.3 錯乱(頻度不明)、せん妄(頻度不明)
  4. 11.1.4 無気肺(頻度不明)、気管支痙攣(頻度不明)、喉頭浮腫(頻度不明)
  5. 11.1.5 麻痺性イレウス(頻度不明)、中毒性巨大結腸(頻度不明)

    炎症性腸疾患の患者に投与した場合にあらわれるとの報告がある。

11.2 その他の副作用

頻度不明

循環器

不整脈、血圧変動、顔面潮紅

精神神経系

眠気、めまい、視調節障害、発汗

消化器

悪心、嘔吐、便秘

過敏症

発疹、そう痒感

その他

排尿障害

13. 過量投与

  1. 13.1 症状

    呼吸抑制、意識不明、痙攣、錯乱、血圧低下、重篤な脱力感、重篤なめまい、嗜眠、心拍数の減少、神経過敏、不安、縮瞳、皮膚冷感等を起こすことがある。

  2. 13.2 処置

    以下の治療を行うことが望ましい。

    • 投与を中止し、気道確保、補助呼吸及び呼吸調節により適切な呼吸管理を行う。
    • 麻薬拮抗剤投与を行い、患者に退薬症候又は麻薬拮抗剤の副作用が発現しないよう慎重に投与する。なお、麻薬拮抗剤の作用持続時間はコデインのそれより短いので、患者のモニタリングを行うか又は患者の反応に応じて初回投与後は注入速度を調節しながら持続静注する。
    • 必要に応じて補液、昇圧剤等の投与又は他の補助療法を行う。

15. その他の注意

15.1 臨床使用に基づく情報

遺伝的にCYP2D6の活性が過剰であることが判明している患者(Ultra-rapid Metabolizer)では、本剤の活性代謝産物であるモルヒネの血中濃度が上昇し、副作用が発現しやすくなるおそれがある3),4),5)

18. 薬効薬理

18.1 作用機序

投与されたコデインの5~15%が肝薬物代謝酵素CYP2D6によりO-脱メチル化を受けてモルヒネに代謝変換され鎮痛作用を示す6)。また、モルヒネと同様に、咳中枢に作用して咳反射を抑制する7)。鎮痛効果はモルヒネの1/6、精神機能鎮静作用は1/4、睡眠作用も1/4、鎮咳効果は1/8~1/9とされている6),7)

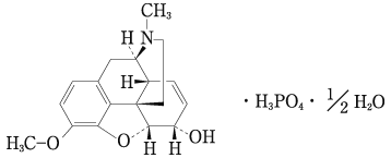
19. 有効成分に関する理化学的知見

一般的名称

コデインリン酸塩水和物(Codeine Phosphate Hydrate)

化学名

(5R,6S)-4,5-Epoxy-3-methoxy-17-methyl-7,8-didehydromorphinan-6-ol monophosphate hemihydrate

分子式

C18H21NO3・H3PO4・1/2H2O

分子量

406.37

性状

白色~帯黄白色の結晶又は結晶性の粉末である。水又は酢酸(100)に溶けやすく、メタノール又はエタノール(95)に溶けにくく、ジエチルエーテルにほとんど溶けない。1.0gを水10mLに溶かした液のpHは3.0~5.0である。光によって変化する。

化学構造式

22. 包装

(バラ) 100g 箱

500g 箱

24. 文献請求先及び問い合わせ先

扶桑薬品工業株式会社 研究開発センター 学術室

〒536-8523 大阪市城東区森之宮二丁目3番30号

TEL 06-6964-2763 FAX 06-6964-2706
(9:00~17:30/土日祝日を除く)

26. 製造販売業者等

26.1 製造販売元

扶桑薬品工業株式会社

大阪市城東区森之宮二丁目3番11号

〒100-0013 東京都千代田区霞が関3-3-2 新霞が関ビル

画面を閉じる

Copyright © Pharmaceuticals and Medical Devices Agency, All Rights reserved.