医療用医薬品 詳細表示

バイオゲン静注50mg

添付文書番号

3122402A5162_1_04

企業コード

670156

作成又は改訂年月

2022年8月改訂(第1版)

日本標準商品分類番号

873122

薬効分類名

持続型ビタミンB1注射剤

承認等

バイオゲン静注50mg

販売名コード

YJコード

3122402A5162

販売名英語表記

Biogen Injection

販売名ひらがな

ばいおげんじょうちゅう50mg

承認番号等

承認番号

21800AMX10810

販売開始年月

2003年12月

貯法・有効期間

貯法

室温保存

有効期間

2年

一般的名称

チアミンジスルフィド

2. 禁忌(次の患者には投与しないこと)

本剤の成分に対し過敏症の既往歴のある患者

3. 組成・性状

3.1 組成

バイオゲン静注50mg

有効成分1管中
チアミンジスルフィド   50mg
1管中
日局 ブドウ糖   4g
添加剤グルクロノラクトン10mg、pH調節剤
容量  20mL

3.2 製剤の性状

バイオゲン静注50mg

剤形水性注射剤
pH2.5~4.0
浸透圧比3.9~4.4(生理食塩液に対する比)
性状無色~微黄色澄明の液

4. 効能・効果

  • ビタミンB1欠乏症の予防及び治療
  • ビタミンB1の需要が増大し、食事からの摂取が不十分な際の補給(消耗性疾患、甲状腺機能亢進症、妊産婦、授乳婦、はげしい肉体労働時など)
  • ウェルニッケ脳炎
  • 脚気衝心
  • 下記疾患のうち、ビタミンB1の欠乏又は代謝障害が関与すると推定される場合
    • 神経痛、筋肉痛・関節痛、末梢神経炎・末梢神経麻痺、便秘などの胃腸運動機能障害、術後腸管麻痺
      上記の適応に対して、効果がないのに月余にわたって漫然と使用すべきでない。

6. 用法・用量

チアミンジスルフィドとして、通常成人1日5~100mgを緩徐に静脈内注射する。
なお、年齢、症状により適宜増減する。

9. 特定の背景を有する患者に関する注意

9.7 小児等

小児等を対象とした有効性及び安全性を指標とした臨床試験は実施していない。

11. 副作用

次の副作用があらわれることがあるので、観察を十分に行い、異常が認められた場合には投与を中止するなど適切な処置を行うこと。

11.1 重大な副作用

  1. 11.1.1 ショック(頻度不明)

    血圧降下、胸内苦悶、呼吸困難等の症状があらわれた場合には、直ちに投与を中止し、適切な処置を行うこと。

11.2 その他の副作用

頻度不明

過敏症

発疹

消化器

悪心・嘔吐

14. 適用上の注意

14.1 薬剤投与時の注意

静脈内投与により血管痛を起こすことがあるので、注射速度はできるだけ遅くすること。

18. 薬効薬理

18.1 作用機序

チアミンジスルフィド(TDS)は、そのままではビタミンB1活性を示さないがin vitroにおいてシステイン等により還元され、ビタミンB1活性を示すことが確認されている1)。ビタミンB1は、神経機能の維持に重要な役割を担っており、欠乏時には中枢神経及び末梢神経系に障害が生じる2)。脚気はビタミンB1欠乏症の一つで、下肢の知覚異常や痛みを伴うが、これらの症状はビタミンB1の投与により改善する3)

18.2 持続性

健康成人男子(6例)にTDS100mg及びビタミンB1塩酸塩120mg(TDSとして100mg相当量)を、クロスオーバー法により単回静脈内投与したところ、8時間後の全血中の総ビタミンB1濃度はビタミンB1塩酸塩投与群では投与前値にまで低下していたのに対し、TDS投与群ではビタミンB1塩酸塩投与群の1~2時間後に相当する濃度が維持され、TDSの血中ビタミンB1濃度持続性が示されている。この静脈内投与時にみられる血中濃度推移の差異は、かなりのTDSが投与後ビタミンB1に還元されないで血中に存在し、その間に血球部分へ移行すること、及びTDSがビタミンB1に比べて血球部分への移行性が高いことによると考えられる4)

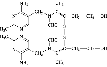
19. 有効成分に関する理化学的知見

一般的名称

チアミンジスルフィド(Thiamine Disulfide)

化学名

N,N '-{Dithiobis〔2-(2-hydroxyethyl)-1-methyl-2,1-ethenediyl〕}bis{N-〔(4-amino-2-methyl-5-pyrimidinyl)methyl〕formamide}

分子式

C24H34N8O4S2

分子量

562.71

性状

白色~淡黄白色の粉末で、においはないか、又はわずかに特異なにおいがあり、味はわずかに苦い。エタノール(95)に溶けにくく、水又はジエチルエーテルにほとんど溶けない。希塩酸又は希硝酸に溶ける。飽和水溶液はほぼ中性である。

化学構造式

20. 取扱い上の注意

  1. 20.1 品質保持のために遮光性及びガスバリア性の包材で包装し、脱酸素剤を封入しているので、ブリスター包装は使用時まで開封しないこと。
  2. 20.2 ブリスター包装を開封する前にインジケーター(酸素検知剤)の色を確認し、青紫~青色の場合は使用しないこと。
  3. 20.3 インジケーターを正常に働かせるため直射日光にさらさないこと。
  4. 20.4 以下の場合には使用しないこと。
    • ブリスター包装が破損している場合
    • ブリスター包装内や容器表面に水滴や結晶が認められる場合
    • 容器から薬液が漏れている場合
    • 性状その他薬液に異状が認められる場合

22. 包装

20mL 50管 プラスチックアンプル(酸素検知剤・脱酸素剤入り)

24. 文献請求先及び問い合わせ先

扶桑薬品工業株式会社 研究開発センター 学術室

〒536-8523 大阪市城東区森之宮二丁目3番30号

TEL 06-6964-2763 FAX 06-6964-2706
(9:00~17:30/土日祝日を除く)

26. 製造販売業者等

26.1 製造販売元

扶桑薬品工業株式会社

大阪市城東区森之宮二丁目3番11号

〒100-0013 東京都千代田区霞が関3-3-2 新霞が関ビル

画面を閉じる

Copyright © Pharmaceuticals and Medical Devices Agency, All Rights reserved.