医療用医薬品 詳細表示

マルトース輸液10%「フソー」/マルトース輸液10%「フソー」

処方せん医薬品

添付文書番号
企業コード
作成又は改訂年月
日本標準商品分類番号
薬効分類名
承認等
一般的名称
3.組成・性状
3.1組成
3.2製剤の性状
4.効能・効果
6.用法・用量
9.特定の背景を有する患者に関する注意
9.6授乳婦
9.7小児等
9.8高齢者
11.副作用
11.1重大な副作用
11.2その他の副作用
12.臨床検査結果に及ぼす影響
14.適用上の注意
16.薬物動態
16.1血中濃度
16.4代謝
16.5排泄
18.薬効薬理
18.1作用機序
18.2糖質補給効果
19.有効成分に関する理化学的知見
20.取扱い上の注意
22.包装
23.主要文献
24.文献請求先及び問い合わせ先
26.製造販売業者等

マルトース輸液10%「フソー」/マルトース輸液10%「フソー」

添付文書番号

3233400A4085_1_04

企業コード

670156

作成又は改訂年月

2023年12月改訂(第1版)

日本標準商品分類番号

873233

薬効分類名

二糖類・糖質補給剤

承認等

マルトース輸液10%「フソー」

200mL

販売名コード

YJコード

3233400A7041

販売名英語表記

Maltose Injection "FUSO"

販売名ひらがな

まるとーすゆえき10%「ふそー」

承認番号等

承認番号

23000AMX00845

販売開始年月

1988年7月

貯法・有効期間

貯法

室温保存

有効期間

3年

マルトース輸液10%「フソー」

500mL

販売名コード

YJコード

3233400A4085

販売名英語表記

Maltose Injection "FUSO"

販売名ひらがな

まるとーすゆえき10%「ふそー」

承認番号等

承認番号

23000AMX00845

販売開始年月

1988年7月

貯法・有効期間

貯法

室温保存

有効期間

3年

一般的名称

マルトース注射液

3. 組成・性状

3.1 組成

マルトース輸液10%「フソー」

200mL

有効成分1袋中
日局 マルトース水和物   20g
容量  200mL
熱量  80kcal

マルトース輸液10%「フソー」

500mL

有効成分1袋中
日局 マルトース水和物   50g
容量  500mL
熱量  200kcal

3.2 製剤の性状

マルトース輸液10%「フソー」

200mL

剤形水性注射剤
pH4.0~6.0
浸透圧比1.0~1.1(生理食塩液に対する比)
性状無色澄明の液で、味は甘い。

マルトース輸液10%「フソー」

500mL

剤形水性注射剤
pH4.0~6.0
浸透圧比1.0~1.1(生理食塩液に対する比)
性状無色澄明の液で、味は甘い。

4. 効能・効果

糖尿病及び術中・術後で非経口的に水・エネルギー補給を必要とする場合

6. 用法・用量

通常成人は1回500~1,000mLを徐々に静脈内に点滴注入する。投与速度は通常成人マルトース水和物として1時間当たり0.3g/kg体重以下(体重50kgとして10%液500mLを4時間以上)とする。
なお、年齢、症状により適宜増減する。

9. 特定の背景を有する患者に関する注意

9.6 授乳婦

治療上の有益性及び母乳栄養の有益性を考慮し、授乳の継続又は中止を検討すること。

9.7 小児等

低出生体重児、新生児、乳児、幼児を対象とした有効性及び安全性を指標とした臨床試験は実施していない。

9.8 高齢者

投与速度を緩徐にし、減量するなど注意すること。一般に生理機能が低下している。

11. 副作用

次の副作用があらわれることがあるので、観察を十分に行い、異常が認められた場合には投与を中止するなど適切な処置を行うこと。

11.1 重大な副作用

  1. 11.1.1 アナフィラキシーショック(頻度不明)

    呼吸困難、血圧低下、頻脈、蕁麻疹、潮紅等があらわれた場合には、直ちに投与を中止し、適切な処置を行うこと。

11.2 その他の副作用

頻度不明

過敏症

発疹、そう痒等

大量・急速投与

電解質喪失

12. 臨床検査結果に及ぼす影響

グルコース脱水素酵素(GDH)法を用いた血糖測定法ではマルトースが測定結果に影響を与え、実際の血糖値よりも高値を示す場合があることが報告されている1)。インスリン投与が必要な患者においては、インスリンの過量投与につながり低血糖を来すおそれがあるので、本剤を投与されている患者の血糖値の測定には、マルトースの影響を受ける旨の記載がある血糖測定用試薬及び測定器は使用しないこと。

14. 適用上の注意

14.1 全般的な注意

  1. 14.1.1 使用時には、感染に対する配慮をすること。
  2. 14.1.2 注射針や輸液セットのびん針は、ゴム栓の刻印部(凹部)に垂直にゆっくりと刺すこと。斜めに刺した場合、削り片の混入及び液漏れの原因となるおそれがある。また、針は同一箇所に繰り返し刺さないこと。

14.2 薬剤調製時の注意

薬剤を配合する場合には、配合変化に注意すること。

14.3 薬剤投与時の注意

  1. 14.3.1 原則として、連結管を用いたタンデム方式による投与は行わないこと。輸液セット内に空気が流入するおそれがある。
  2. 14.3.2 容器の目盛りは目安として使用すること。
  3. 14.3.3 残液は使用しないこと。

16. 薬物動態

16.1 血中濃度

健康成人男性8例に本剤をマルトース水和物として0.3g/kg/hrの速度で3時間静脈内投与した結果、血中マルトース濃度は、投与終了時に201mg/dLに達した後、指数関数的に減少した2)

16.4 代謝

腎糸球体で濾過されたマルトースの大部分は、近位尿細管の管腔側上皮細胞に存在するマルターゼによりブドウ糖に分解された後、ブドウ糖として再吸収され、エネルギー源になると考えられている2)

16.5 排泄

健康成人男性8例に本剤をマルトース水和物として0.3g/kg/hrの速度で3時間静脈内投与した結果、投与開始8時間後までの尿中排泄率は、総糖質として投与量の24.3%(マルトースとして8.9%、ブドウ糖として15.4%)であった。なお、尿中へのブドウ糖及びマルトース排泄には血漿中マルトースの閾値濃度が存在することが明らかにされており、血漿中マルトース濃度が53mg/dL(血漿中総糖質濃度として157mg/dL)を越えると、ブドウ糖の排泄が始まり、99mg/dLを越えると、マルトースの排泄が始まった2)

18. 薬効薬理

18.1 作用機序

マルトース水和物はinsulinの関与なしに細胞内へ移行し、α-glucosidase(maltase)により加水分解されて2分子のglucoseとなり、解糖系、TCA cycleに移行し、エネルギー源として利用される。したがって、糖尿病患者にも用いられる3)。本剤は水・エネルギー補給効果を示す。

18.2 糖質補給効果

  1. 18.2.1 健康成人男性8例に本剤をマルトース水和物として0.3g/kg/hrの速度で3時間静脈内投与した結果、血糖値は約5mg/dLの上昇を示したのみで、血中インスリン濃度の上昇はみられなかった。
    また、ケトン体及び遊離脂肪酸抑制効果が認められ、その効果はブドウ糖投与の場合に比べやや軽度であり、投与終了後もこれらの上昇は穏やかであった2)
  2. 18.2.2 開腹術施行モルモットに14Cで標識したマルトース又はブドウ糖の溶液を腹腔内投与し、その利用率を非手術群と比較した。その結果、手術群の累積呼気中14CO2回収率はマルトース群のほうがやや大きく、手術侵襲による代謝への影響はマルトースがブドウ糖に比し軽度であることが確認された4)

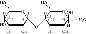
19. 有効成分に関する理化学的知見

一般的名称

マルトース水和物(Maltose Hydrate)

化学名

α-D-Glucopyranosyl-(1→4)-β-D-glucopyranose monohydrate

分子式

C12H22O11・H2O

分子量

360.31

性状

白色の結晶又は結晶性の粉末で、味は甘い。水に溶けやすく、エタノール(95)に極めて溶けにくく、ジエチルエーテルにほとんど溶けない。

化学構造式

20. 取扱い上の注意

  1. 20.1 液漏れの原因となるので、強い衝撃や鋭利なものとの接触等を避けること。
  2. 20.2 以下の場合には使用しないこと。
    • 外袋内や容器表面に水滴や結晶が認められる場合
    • 容器から薬液が漏れている場合
    • 性状その他薬液に異状が認められる場合
    • ゴム栓部のシールがはがれている場合

22. 包装

200mL 20袋 ソフトバッグ
500mL 20袋 ソフトバッグ

24. 文献請求先及び問い合わせ先

扶桑薬品工業株式会社 研究開発センター 学術室

〒536-8523 大阪市城東区森之宮二丁目3番30号

TEL 06-6964-2763 FAX 06-6964-2706
(9:00~17:30/土日祝日を除く)

26. 製造販売業者等

26.1 製造販売元

扶桑薬品工業株式会社

大阪市城東区森之宮二丁目3番11号

〒100-0013 東京都千代田区霞が関3-3-2 新霞が関ビル

画面を閉じる

Copyright © Pharmaceuticals and Medical Devices Agency, All Rights reserved.