医療用医薬品 詳細表示

ヘパリンNa透析用150単位/mL「フソー」20mL/ヘパリンNa透析用200単位/mL「フソー」20mL

処方せん医薬品

添付文書番号
企業コード
作成又は改訂年月
日本標準商品分類番号
薬効分類名
承認等
一般的名称
3.組成・性状
3.1組成
3.2製剤の性状
4.効能・効果
5.効能又は効果に関連する注意
6.用法・用量
8.重要な基本的注意
9.特定の背景を有する患者に関する注意
9.1合併症・既往歴等のある患者
9.2腎機能障害患者
9.3肝機能障害患者
9.5妊婦
9.7小児等
9.8高齢者
10.相互作用
10.2併用注意(併用に注意すること)
11.副作用
11.1重大な副作用
11.2その他の副作用
14.適用上の注意
15.その他の注意
15.1臨床使用に基づく情報
18.薬効薬理
18.1作用機序
19.有効成分に関する理化学的知見
22.包装
23.主要文献
24.文献請求先及び問い合わせ先
26.製造販売業者等

ヘパリンNa透析用150単位/mL「フソー」20mL/ヘパリンNa透析用200単位/mL「フソー」20mL

添付文書番号

3334402A2025_1_12

企業コード

670156

作成又は改訂年月

**2024年7月改訂(第3版)
2024年1月改訂

日本標準商品分類番号

873334

薬効分類名

血液凝固阻止剤

承認等

ヘパリンNa透析用150単位/mL「フソー」20mL

販売名コード

YJコード

3334402A2025

販売名英語表記

Heparin Sodium "FUSO" for Dialysis

販売名ひらがな

へぱりんなとりうむとうせきよう150たんい/mL「ふそー」20mL

承認番号等

承認番号

21900AMX00532

販売開始年月

2007年7月

貯法・有効期間

貯法

室温保存

有効期間

3年

基準名

日本薬局方

透析用ヘパリンナトリウム液

規制区分

ヘパリンNa透析用200単位/mL「フソー」20mL

販売名コード

YJコード

3334402A3021

販売名英語表記

Heparin Sodium "FUSO" for Dialysis

販売名ひらがな

へぱりんなとりうむとうせきよう200たんい/mL「ふそー」20mL

承認番号等

承認番号

21900AMX00533

販売開始年月

2007年7月

貯法・有効期間

貯法

室温保存

有効期間

3年

基準名

日本薬局方

透析用ヘパリンナトリウム液

規制区分

一般的名称

ヘパリンナトリウム

3. 組成・性状

3.1 組成

ヘパリンNa透析用150単位/mL「フソー」20mL

1管中(20mL)
有効成分日局 ヘパリンナトリウム   3000単位
添加剤塩化ナトリウム
pH調節剤
備考  ヘパリンナトリウムは、健康な食用ブタの腸粘膜由来

ヘパリンNa透析用200単位/mL「フソー」20mL

1管中(20mL)
有効成分日局 ヘパリンナトリウム   4000単位
添加剤塩化ナトリウム
pH調節剤
備考  ヘパリンナトリウムは、健康な食用ブタの腸粘膜由来

3.2 製剤の性状

ヘパリンNa透析用150単位/mL「フソー」20mL

pH5.5~8.0
浸透圧比0.9~1.1(生理食塩液に対する比)
性状無色~淡黄色澄明の液

ヘパリンNa透析用200単位/mL「フソー」20mL

pH5.5~8.0
浸透圧比0.9~1.1(生理食塩液に対する比)
性状無色~淡黄色澄明の液

4. 効能・効果

血液透析の体外循環装置使用時の血液凝固の防止

5. 効能又は効果に関連する注意

本剤は血液透析の体外循環装置使用時の血液凝固防止の目的に使用する製剤であり、汎発性血管内血液凝固症候群の治療、血栓塞栓症の治療及び予防、血液透析以外の体外循環装置使用時の血液凝固の防止、血管カテーテル挿入時の血液凝固の防止並びに輸血及び血液検査の際の血液凝固の防止目的で投与しないこと。

6. 用法・用量

  • 本剤は通常下記の投与法によって投与されるが、それらは症例又は適応領域、目的によって決定される。
    通常本剤投与後、全血凝固時間(Lee-White法)又は全血活性化部分トロンボプラスチン時間(WBAPTT)が正常値の2~3倍になるように年齢、症状に応じて適宜用量をコントロールする。
  • 〈体外循環時(血液透析)における使用法〉

    人工腎では各患者の適切な使用量を透析前に各々のヘパリン感受性試験の結果に基づいて算出するが、全身へパリン化法の場合、通常透析開始に先だって、1,000~3,000単位を投与し、透析開始後は、1時間当り500~1,500単位を持続的に、又は1時間毎に500~1,500単位を間歇的に追加する。局所ヘパリン化法の場合は、1時間当り1,500~2,500単位を持続注入し、体内灌流時にプロタミン硫酸塩で中和する。

8. 重要な基本的注意

  1. 8.1 血液凝固能検査等、出血管理を十分に行いつつ使用すること。
  2. 8.2 脊椎・硬膜外麻酔あるいは腰椎穿刺等との併用により、穿刺部位に血腫が生じ、神経の圧迫による麻痺があらわれるおそれがある。併用する場合には神経障害の徴候及び症状について十分注意し、異常が認められた場合には直ちに適切な処置を行うこと。
  3. 8.3 急に投与を中止した場合、血栓を生じるおそれがあるので徐々に減量すること。
  4. 8.4 本剤の抗凝固作用を急速に中和する必要がある場合にはプロタミン硫酸塩を投与すること。血液透析による血液体外循環終了時に中和する場合には反跳性の出血があらわれることがある。
  5. 8.5 ヘパリン起因性血小板減少症(HIT :heparin-induced thrombocytopenia)があらわれることがあるので、本剤投与後は血小板数を測定すること。,,

9. 特定の背景を有する患者に関する注意

9.1 合併症・既往歴等のある患者

  1. 9.1.1 出血している患者

    血小板減少性紫斑病、血管障害による出血傾向、血友病その他の血液凝固障害(汎発性血管内血液凝固症候群(DIC)を除く)、月経期間中、手術時、消化管潰瘍、尿路出血、喀血、流早産・分娩直後等性器出血を伴う妊産褥婦、頭蓋内出血の疑いのある患者等には、治療上やむを得ないと判断される場合を除き、投与しないこと。出血を助長することがあり、ときには致命的になるおそれがある。

  2. 9.1.2 出血する可能性のある患者

    内臓腫瘍、消化管の憩室炎、大腸炎、亜急性細菌性心内膜炎、重症高血圧症、重症糖尿病の患者等には、治療上やむを得ないと判断される場合を除き、投与しないこと。血管や内臓の障害箇所に出血が起こるおそれがある。

  3. 9.1.3 中枢神経系の手術又は外傷後日の浅い患者

    治療上やむを得ないと判断される場合を除き、投与しないこと。 出血を助長することがあり、ときには致命的になるおそれがある。

  4. 9.1.4 本剤の成分に対し過敏症の既往歴のある患者

    治療上やむを得ないと判断される場合を除き、投与しないこと。

  5. 9.1.5 *ヘパリン起因性血小板減少症(HIT: heparin-induced thrombocytopenia)の既往歴のある患者

    治療上やむを得ないと判断される場合を除き、投与しないこと。 投与が必要な場合は、本剤投与後は血小板数を測定すること。HITがあらわれることがある。 ,,

9.2 腎機能障害患者

  1. 9.2.1 重篤な腎障害のある患者

    治療上やむを得ないと判断される場合を除き、投与しないこと。排泄が障害され、本剤の作用が持続するおそれがある。

9.3 肝機能障害患者

  1. 9.3.1 重篤な肝障害のある患者

    治療上やむを得ないと判断される場合を除き、投与しないこと。凝固因子やアンチトロンビンⅢの産生が低下していることがあるので、本剤の作用が変動(増強又は減弱)するおそれがある。

9.5 妊婦

妊婦又は妊娠している可能性のある女性には、治療上の有益性が危険性を上回ると判断される場合にのみ投与すること。

9.7 小児等

小児等を対象とした有効性及び安全性を指標とした臨床試験は実施していない。

9.8 高齢者

出血の危険性が高まるおそれがある。

10. 相互作用

    10.2 併用注意(併用に注意すること)

    薬剤名等臨床症状・措置方法機序・危険因子

    抗凝固剤

    本剤の作用が出血傾向を増強するおそれがある。

    本剤の抗凝固作用と血液凝固因子の生合成阻害作用により相加的に出血傾向が増強される。

    血栓溶解剤

    • ウロキナーゼ
      t-PA製剤

    本剤の作用が出血傾向を増強するおそれがある。

    本剤の抗凝固作用とフィブリン溶解作用により相加的に出血傾向が増強される。

    血小板凝集抑制作用を有する薬剤

    • アスピリン
      ジピリダモール
      チクロピジン塩酸塩

    本剤の作用が出血傾向を増強するおそれがある。

    本剤の抗凝固作用と血小板凝集抑制作用により相加的に出血傾向が増強される。

    テトラサイクリン系抗生物質
    強心配糖体

    • ジギタリス製剤

    ニトログリセリン製剤

    本剤の作用が減弱するおそれがある。

    機序は不明である。

    筋弛緩回復剤

    • スガマデクスナトリウム

    本剤の抗凝固作用が増強されるおそれがあるので、患者の状態を観察するとともに血液凝固に関する検査値に注意すること。

    作用機序は不明であるが、スガマデクスナトリウム4mg/kgと抗凝固剤の併用中に活性化部分トロンボプラスチン時間(APTT)又はプロトロンビン時間(PT)の軽度で一過性の延長が認められている。

    **アンデキサネット アルファ(遺伝子組換え)

    **本剤の抗凝固作用が減弱し、ヘパリン抵抗性を示すことがある。

    ** In vitroデータから、アンデキサネット アルファ(遺伝子組換え)がヘパリン-アンチトロンビンⅢ複合体に作用し、本剤の抗凝固作用を減弱させることが示唆されている。

    11. 副作用

    次の副作用があらわれることがあるので、観察を十分に行い、異常が認められた場合には投与を中止するなど適切な処置を行うこと。

    11.1 重大な副作用

    1. 11.1.1 ショック(頻度不明)、アナフィラキシー(頻度不明)

      血圧低下、意識低下、呼吸困難、チアノーゼ、蕁麻疹等の異常が認められた場合には投与を中止し、適切な処置を行うこと。

    2. 11.1.2 血小板減少(頻度不明)、HIT等に伴う血小板減少・血栓症(頻度不明)

      著明な血小板減少があらわれることがある。HITはヘパリン-血小板第4因子複合体に対する自己抗体(HIT抗体)の出現による免疫学的機序を介した病態であり、著明な血小板減少と脳梗塞、肺塞栓症、深部静脈血栓症等の血栓症やシャント閉塞、回路内閉塞等を伴う。また、投与終了数週間後に、HITが遅延して発現したとの報告もある。血小板数の著明な減少や血栓症を疑わせる異常が認められた場合には投与を中止し、適切な処置を行うこと。 ,,

    3. 11.1.3 出血(頻度不明)

      脳出血、消化管出血、肺出血、硬膜外血腫、後腹膜血腫、腹腔内出血、術後出血、刺入部出血等、重篤な出血があらわれることがある。,,,,

    11.2 その他の副作用

    頻度不明

    過敏症

    そう痒感、蕁麻疹、悪寒、発熱、鼻炎、気管支喘息、流涙等

    皮膚

    脱毛、白斑、出血性壊死等

    肝臓

    AST、ALTの上昇等

    長期投与

    骨粗鬆症、低アルドステロン症

    14. 適用上の注意

    14.1 全般的な注意

    使用時には、感染に対する配慮をすること。

    14.2 薬剤投与後の注意

    1. 14.2.1 開封後の使用は1回限りとし、使用後の残液は速やかに廃棄すること。
    2. 14.2.2 外来透析患者では、穿刺部の止血を確認してから帰宅させること。

    15. その他の注意

    15.1 臨床使用に基づく情報

    1. 15.1.1 コレステロール結晶塞栓症(CCE)は、大動脈内に存在する粥状硬化巣が崩壊・流失し、微細なコレステロール結晶が全身臓器の塞栓を起こすことによって発症するとされており、その主な原因は血管内カテーテル操作であるとされているが、ヘパリン等の抗凝固療法が誘因となり発症することも報告されている。
    2. 15.1.2 HIT発現時に出現するHIT抗体は100日程度で消失~低下するとの報告がある。,,

    18. 薬効薬理

    18.1 作用機序

    血液凝固系には第Ⅰから第ⅩⅢまでの血液凝固因子やプレカリクレイン、高分子キニノーゲンなどが働いているが、多くの因子がこれらを調節している。これらの調節因子のうち、アンチトロンビンⅢ(ATⅢ)がヘパリンにより活性化され、トロンビンをはじめ第Ⅸa~Ⅻa因子及びカリクレインを阻害することによって、血液凝固を抑制する1)

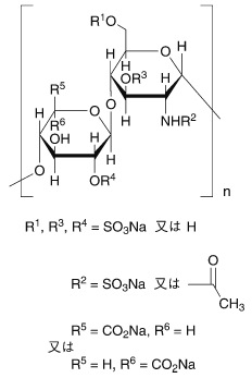
    19. 有効成分に関する理化学的知見

    一般的名称

    ヘパリンナトリウム(Heparin Sodium)

    性状

    白色~帯灰褐色の粉末又は粒で、においはない。水にやや溶けやすく、エタノール(95)又はジエチルエーテルにほとんど溶けない。吸湿性である。

    化学構造式

    22. 包装

    • 〈ヘパリンNa透析用150単位/mL「フソー」20mL〉

      20mL 50管 プラスチックアンプル

    • 〈ヘパリンNa透析用200単位/mL「フソー」20mL〉

      20mL 50管 プラスチックアンプル

    24. 文献請求先及び問い合わせ先

    扶桑薬品工業株式会社 研究開発センター 学術室

    〒536-8523 大阪市城東区森之宮二丁目3番30号

    TEL 06-6964-2763 FAX 06-6964-2706
    (9:00~17:30/土日祝日を除く)

    26. 製造販売業者等

    26.1 製造販売元

    扶桑薬品工業株式会社

    大阪市城東区森之宮二丁目3番11号

    〒100-0013 東京都千代田区霞が関3-3-2 新霞が関ビル

    画面を閉じる

    Copyright © Pharmaceuticals and Medical Devices Agency, All Rights reserved.