医療用医薬品 詳細表示

ビスミラー注5mg

処方せん医薬品

添付文書番号
企業コード
作成又は改訂年月
日本標準商品分類番号
薬効分類名
承認等
一般的名称
2.禁忌(次の患者には投与しないこと)
3.組成・性状
3.1組成
3.2製剤の性状
4.効能・効果
6.用法・用量
8.重要な基本的注意
9.特定の背景を有する患者に関する注意
9.1合併症・既往歴等のある患者
9.5妊婦
9.6授乳婦
9.7小児等
9.8高齢者
10.相互作用
10.2併用注意(併用に注意すること)
11.副作用
11.1重大な副作用
11.2その他の副作用
14.適用上の注意
18.薬効薬理
18.1作用機序
19.有効成分に関する理化学的知見
20.取扱い上の注意
22.包装
23.主要文献
24.文献請求先及び問い合わせ先
26.製造販売業者等

ビスミラー注5mg

添付文書番号

4419401A2083_1_06

企業コード

670156

作成又は改訂年月

2022年8月改訂(第1版)

日本標準商品分類番号

874419

薬効分類名

抗ヒスタミン剤

承認等

ビスミラー注5mg

販売名コード

YJコード

4419401A2083

販売名英語表記

Bismilla Injection

販売名ひらがな

びすみらーちゅう5mg

承認番号等

承認番号

21800AMX10589

販売開始年月

1958年10月

貯法・有効期間

貯法

室温保存

有効期間

3年

基準名

日本薬局方

クロルフェニラミンマレイン酸塩注射液

一般的名称

クロルフェニラミンマレイン酸塩

2. 禁忌(次の患者には投与しないこと)

  1. 2.1 本剤の成分又は類似化合物に対し過敏症の既往歴のある患者
  2. 2.2 閉塞隅角緑内障の患者[抗コリン作用により眼圧が上昇し、症状を悪化させることがある。]
  3. 2.3 前立腺肥大等下部尿路に閉塞性疾患のある患者[抗コリン作用により排尿困難、尿閉等があらわれ、症状が増悪することがある。]
  4. 2.4 低出生体重児、新生児

3. 組成・性状

3.1 組成

ビスミラー注5mg

有効成分1管中
日局 クロルフェニラミンマレイン酸塩(dl-体)   5mg
添加剤ベンジルアルコール5mg、塩化ナトリウム
容量  1mL

3.2 製剤の性状

ビスミラー注5mg

剤形水性注射剤
pH4.5~7.0
浸透圧比0.9~1.1(生理食塩液に対する比)
性状無色澄明の液

4. 効能・効果

蕁麻疹、枯草熱、皮膚疾患に伴うそう痒(湿疹・皮膚炎、皮膚そう痒症、薬疹、咬刺症)、アレルギー性鼻炎、血管運動性鼻炎

6. 用法・用量

dl-クロルフェニラミンマレイン酸塩として、通常成人1回5〜10mgを1日1〜2回、皮下、筋肉内又は静脈内注射する。
なお、年齢、症状により適宜増減する。

8. 重要な基本的注意

  1. 8.1 眠気を催すことがあるので、本剤投与中の患者には自動車の運転等危険を伴う機械の操作には従事させないよう十分注意すること。
  2. 8.2 再生不良性貧血、無顆粒球症があらわれることがあるので、血液検査を行うこと。

9. 特定の背景を有する患者に関する注意

9.1 合併症・既往歴等のある患者

  1. 9.1.1 開放隅角緑内障の患者

    抗コリン作用により眼圧が上昇し、症状を悪化させることがある。

  2. 9.1.2 眼内圧亢進のある患者

    抗コリン作用により眼内圧が上昇し、症状が増悪するおそれがある。

  3. 9.1.3 甲状腺機能亢進症の患者

    抗コリン作用により症状が増悪するおそれがある。

  4. 9.1.4 狭窄性消化性潰瘍、幽門十二指腸通過障害のある患者

    抗コリン作用により平滑筋の運動抑制、緊張低下が起こり、症状が増悪するおそれがある。

  5. 9.1.5 循環器系疾患のある患者

    抗コリン作用による心血管系への作用により、症状が増悪するおそれがある。

  6. 9.1.6 高血圧症の患者

    抗コリン作用により血管拡張が抑制され、血圧が上昇するおそれがある。

9.5 妊婦

妊婦又は妊娠している可能性のある女性には、治療上の有益性が危険性を上回ると判断される場合にのみ投与すること。

9.6 授乳婦

治療上の有益性及び母乳栄養の有益性を考慮し、授乳の継続又は中止を検討すること。

9.7 小児等

  1. 9.7.1 低出生体重児、新生児

    投与しないこと。中枢神経系興奮など抗コリン作用に対する感受性が高く、痙攣など重篤な反応があらわれるおそれがある。

  2. 9.7.2 乳児、幼児及び小児

    乳児、幼児及び小児を対象とした臨床試験は実施していない。

9.8 高齢者

患者の状態を観察しながら慎重に投与すること。一般に生理機能が低下している。

10. 相互作用

    10.2 併用注意(併用に注意すること)

    薬剤名等臨床症状・措置方法機序・危険因子
    • 中枢神経抑制剤
      • バルビツール酸系薬剤等
    • アルコール

    相互に作用を増強することがあるので、併用する場合には減量するなど慎重に投与すること。

    本剤の中枢抑制作用により、作用が増強される。

    • モノアミン酸化酵素阻害剤

    相互に作用を増強することがあるので、併用する場合には減量するなど慎重に投与すること。

    本剤の解毒機構に干渉し、作用を遷延化し増強することがある。

    • 抗コリン作動性薬剤
      • ブチルスコポラミン臭化物
      • アトロピン硫酸塩水和物等

    相互に作用を増強することがあるので、併用する場合には減量するなど慎重に投与すること。

    機序は不明である。

    • ドロキシドパ
    • ノルアドレナリン

    血圧の異常上昇を来すおそれがある。

    本剤はヒスタミンによる毛細血管拡張を抑制する。

    11. 副作用

    次の副作用があらわれることがあるので、観察を十分に行い、異常が認められた場合には投与を中止するなど適切な処置を行うこと。

    11.1 重大な副作用

    1. 11.1.1 ショック(頻度不明)

      チアノーゼ、呼吸困難、胸内苦悶、血圧低下等の症状があらわれた場合には、投与を中止し、適切な処置を行うこと。

    2. 11.1.2 痙攣、錯乱(いずれも頻度不明)
    3. 11.1.3 再生不良性貧血、無顆粒球症(いずれも頻度不明)

    11.2 その他の副作用

    頻度不明

    過敏症

    発疹、光線過敏症

    精神神経系

    鎮静、神経過敏、頭痛、焦燥感、複視、眠気、不眠、めまい、耳鳴、前庭障害、多幸症、情緒不安、ヒステリー、振戦、神経炎、協調異常、感覚異常、霧視

    消化器

    口渇、胸やけ、食欲不振、悪心・嘔吐、腹痛、便秘、下痢

    泌尿器

    頻尿、排尿困難、尿閉

    循環器

    低血圧、心悸亢進、頻脈、期外収縮、微弱脈

    呼吸器

    鼻及び気道の乾燥、気管分泌液の粘性化、喘鳴、鼻閉

    血液

    溶血性貧血、血小板減少

    肝臓

    肝機能障害(AST、ALT、AL-Pの上昇)

    その他

    悪寒、発汗異常、疲労感、胸痛、月経異常、顔面蒼白

    14. 適用上の注意

    14.1 薬剤投与時の注意

    1. 14.1.1 注射部位に一過性の刺激、灼熱感があらわれることがある。
    2. 14.1.2 皮下・筋肉内注射時

      組織・神経などへの影響を避けるため、以下の点に配慮すること。

      • 神経走行部位を避けるよう注意すること。
      • 注射針を刺入したとき、激痛を訴えたり、血液の逆流をみた場合は、直ちに針を抜き、部位を変えて注射すること。
      • 繰返し注射する場合には、注射部位を変え、たとえば左右交互に注射するなど配慮すること。
        なお、乳児、幼児、小児には連用しないことが望ましい。

    18. 薬効薬理

    18.1 作用機序

    ヒスタミンH1受容体遮断薬。H1受容体を介するヒスタミンによるアレルギー性反応(毛細血管の拡張と透過性亢進、気管支平滑筋の収縮、知覚神経終末刺激によるそう痒、など)を抑制する1)

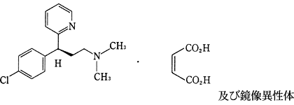
    19. 有効成分に関する理化学的知見

    一般的名称

    クロルフェニラミンマレイン酸塩(Chlorpheniramine Maleate)

    化学名

    (3RS)-3-(4-Chlorophenyl)-N,N-dimethyl-3-pyridin-2-ylpropylamine monomaleate

    分子式

    C16H19ClN2・C4H4O4

    分子量

    390.86

    性状

    白色の微細な結晶である。酢酸(100)に極めて溶けやすく、水又はメタノールに溶けやすく、エタノール(99.5)にやや溶けやすい。希塩酸に溶ける。
    水溶液(1→20)は、旋光性を示さない。

    化学構造式

    融点

    130〜135℃

    20. 取扱い上の注意

    外箱開封後は遮光して保存すること。

    22. 包装

    1mL 50管 ガラスアンプル

    24. 文献請求先及び問い合わせ先

    扶桑薬品工業株式会社 研究開発センター 学術室

    〒536-8523 大阪市城東区森之宮二丁目3番30号

    TEL 06-6964-2763 FAX 06-6964-2706
    (9:00〜17:30/土日祝日を除く)

    26. 製造販売業者等

    26.1 製造販売元

    扶桑薬品工業株式会社

    大阪市城東区森之宮二丁目3番11号

    〒100-0013 東京都千代田区霞が関3-3-2 新霞が関ビル

    画面を閉じる

    Copyright © Pharmaceuticals and Medical Devices Agency, All Rights reserved.