医療用医薬品 詳細表示

イヌリード注

処方せん医薬品

添付文書番号
企業コード
作成又は改訂年月
日本標準商品分類番号
薬効分類名
承認等
一般的名称
2.禁忌(次の患者には投与しないこと)
3.組成・性状
3.1組成
3.2製剤の性状
4.効能又は効果
6.用法及び用量
7.用法及び用量に関連する注意
8.重要な基本的注意
9.特定の背景を有する患者に関する注意
9.1合併症・既往歴等のある患者
9.2腎機能障害患者
9.5妊婦
9.6授乳婦
9.7小児等
9.8高齢者
11.副作用
11.1重大な副作用
11.2その他の副作用
14.適用上の注意
16.薬物動態
16.1血中濃度
16.5排泄
17.臨床成績
17.1有効性及び安全性に関する試験
18.薬効薬理
18.1測定法
19.有効成分に関する理化学的知見
22.包装
23.主要文献
24.文献請求先及び問い合わせ先
26.製造販売業者等

イヌリード注

添付文書番号

7225403A2023_1_06

企業コード

670242

作成又は改訂年月

**2024年12月改訂(第2版)
2021年8月改訂

日本標準商品分類番号

877225

薬効分類名

腎機能検査用薬

承認等

イヌリード注

販売名コード

YJコード

7225403A2023

販売名英語表記

INULEAD Injection

販売名ひらがな

いぬりーどちゅう

承認番号等

承認番号

21700AMZ00748000

販売開始年月

2006年8月

貯法・有効期間

貯法

室温保存

有効期間

3年

一般的名称

イヌリン注射液

2. 禁忌(次の患者には投与しないこと)

  1. 2.1 本剤の成分に対して過敏症の既往歴のある患者
  2. 2.2 無尿や乏尿のある患者,,

3. 組成・性状

3.1 組成

イヌリード注

有効成分1バイアル(40mL)中イヌリン   4g
添加剤リン酸水素ナトリウム水和物、塩化ナトリウム、リン酸二水素カリウム、水酸化ナトリウム

3.2 製剤の性状

イヌリード注

pH6.5~7.01)
浸透圧比0.9~1.11)(生理食塩液に対する比)
性状放置するとき、白色の沈殿物と無色~微黄色の上澄液に分離する。加熱溶解した場合、溶解液は無色~微黄色澄明の液となる。

1) 加熱溶解し、室温放冷したとき

4. 効能又は効果

糸球体ろ過量の測定による腎機能検査

6. 用法及び用量

*本剤1バイアルを加熱溶解後、日局生理食塩液360mLに希釈し、A法で投与するが、18歳以下においては、患者の状態、体格を考慮し、B法を用いることもできる。

  • A法:初回量として、150mLを1時間に300mLの速度で30分間、次いで維持量として150mLを1時間に100mLの速度で90分間点滴静注する。
  • B法:初回量として、1時間に体重1kgあたり8mL(最大1時間に300mL)の速度で30分間、次いで維持量として、1時間に以下の計算式を用いて算出した投与量(最大1時間に100mL)の速度で120分間点滴静注する。なお、120分間の維持量投与中に排尿が認められなかった場合は、維持量の投与時間を150分間まで延長できる。
    維持量(mL)=0.7×推定糸球体ろ過量(mL/min/1.73m2)×体表面積(m2

7. 用法及び用量に関連する注意

  1. 7.1 *本剤投与前後の水負荷、採血及び採尿、イヌリンクリアランスの計算は以下のとおり実施する。
    • 〈A法〉

      (1)本剤投与開始約30分前に水500mLを飲ませる。

      (2)本剤投与中も尿量相当分(約60mL)の水を採尿ごとに飲ませる。

      (3)本剤投与開始直前に採血・採尿し、ブランク測定用とする。

      (4)本剤投与開始30分後に完全に排尿させ、排尿完了時刻を0分とする。正確な糸球体ろ過量の測定結果を得るためには、膀胱を空にする必要がある。

      (5)排尿完了の約15分後から30分間隔で3回、点滴の他側静脈より5mLずつ採血し、採血後、遠心分離し血清2mLを得る。

      (6)排尿完了から30分間隔で90分まで3回採尿し、それぞれの採尿時間とその尿量を正確に測定する。

      (7)定量した尿中イヌリン濃度(mg/dL)、血清中イヌリン濃度(mg/dL)及び1分間尿量(mL/min)から以下の計算式を用いてイヌリンクリアランスを算出し、3回の平均値をとる。
      Cx=(Ux×Vx)/Px×(1.73/A)
      Cx:イヌリンクリアランス(mL/min/1.73m2
      Ux:尿中イヌリン濃度(mg/dL)
      Px:血清中イヌリン濃度(mg/dL)
      Vx:単位時間あたりの尿量(mL/min)
      A:身長・体重から求めた体表面積(m2

    • 〈B法〉

      (1)本剤投与開始約30分前から投与開始までリンゲル液を1時間に体重1kgあたり40mL(最大1時間に1L)で点滴静注する。

      (2)本剤投与開始以降は投与終了までリンゲル液を1時間に体重1kgあたり5mL(最大1時間に120mL)で点滴静注を継続する。

      (3)リンゲル液投与開始直前に採血・採尿し、ブランク測定用とする。

      (4)本剤投与開始30分後に完全に排尿させ、排尿完了時刻を0分とする。正確な糸球体ろ過量の測定結果を得るためには、膀胱を空にする必要がある。

      (5)排尿完了の約30分後から60分間隔で2回、点滴の他側静脈より5mLずつ採血し、採血後、遠心分離し血清2mLを得る。

      (6)排尿完了から60分間隔で120分まで2回採尿し、それぞれの採尿時間とその尿量を正確に測定する。なお、必要に応じて導尿の実施を考慮する。

      (7)定量した尿中イヌリン濃度(mg/dL)、血清中イヌリン濃度(mg/dL)及び1分間尿量(mL/min)から以下の計算式を用いてイヌリンクリアランスを算出し、2つのクリアランス値のうち大きい値を採用する1)
      Cx=(Ux×Vx)/Px×(1.73/A)
      Cx:イヌリンクリアランス(mL/min/1.73m2
      Ux:尿中イヌリン濃度(mg/dL)
      Px:血清中イヌリン濃度(mg/dL)
      Vx:単位時間あたりの尿量(mL/min)
      A:身長・体重から求めた体表面積(m2

8. 重要な基本的注意

  1. 8.1 水負荷と生理食塩液を投与し患者に負荷をかける検査であることから、診断上の有益性が危険性を上回ると判断される場合にのみ投与すること。,,,,
  2. 8.2 開始時より患者の状態を観察し、浮腫等の症状の悪化又は呼吸困難等が認められた場合には、直ちに検査を中止し、適切な処置を行うこと。,,,,

9. 特定の背景を有する患者に関する注意

9.1 合併症・既往歴等のある患者

  1. 9.1.1 心臓、循環器系機能障害のある患者

    水負荷を行い循環血液量が増すことから、心臓に負荷をかけ、症状を悪化させることがある。,

  2. 9.1.2 アレルギー素因のある患者

9.2 腎機能障害患者

  1. 9.2.1 無尿や乏尿のある患者

    投与しないこと。水分の過剰投与に陥りやすく、症状を悪化させるおそれがある。,,

  2. 9.2.2 *腎不全あるいは透析を受けている患者

    水分、生理食塩液投与により、症状を悪化させることがある。,

9.5 妊婦

妊婦又は妊娠している可能性のある女性には、診断上の有益性が危険性を上回ると判断される場合にのみ投与すること。ヒトにおいて胎盤通過性があり、胎児に移行することが報告されている2),3),4)

9.6 授乳婦

診断上の有益性及び母乳栄養の有益性を考慮し、授乳の継続又は中止を検討すること。

9.7 小児等

*新生児及び低出生体重児として出生した乳児での本剤を用いた検査は、患者の状態を観察しながら慎重に行うこと。一般に、新生児及び低出生体重児として出生した乳児の腎機能は特に未成熟である。

9.8 高齢者

患者の状態を観察しながら慎重に投与すること。一般に生理機能が低下している。

11. 副作用

次の副作用があらわれることがあるので、観察を十分に行い、異常が認められた場合には投与を中止するなど適切な処置を行うこと。

11.1 重大な副作用

  1. 11.1.1 ショック、アナフィラキシー(いずれも頻度不明)

    呼吸困難、血圧低下等の異常が認められた場合には、投与を中止し、適切な処置を行うこと。

11.2 その他の副作用

2%未満

精神神経系

頭痛、頭部不快感

消化器

水様便

皮膚

皮疹

血液

白血球減少、好中球増加、リンパ球減少

肝臓

肝機能検査値異常(AST、ALT、ALP等の増加)

その他

アミラーゼ増加

14. 適用上の注意

14.1 薬剤調製時の注意

  1. 14.1.1 本剤は水に溶けにくく沈殿しているので、調製時には、以下に注意すること。なお、溶解には約100℃まで加熱が必要であるため、取り扱いには十分注意すること。また、加熱前及び加熱後の液が澄明でないもの、あるいは黄色に着色したものは使用しないこと。
    1. (1) バイアルをよく振り混ぜてから、あらかじめ約100℃に加熱した適当な加熱機器にて約20分間加熱し、その間、バイアルを数回取り出し、よく振り混ぜ、完全に溶解させること。
      注意:バイアルを取り出し振り混ぜる際には、厚手の手袋等を用いてバイアルのキャップ部を持って行うこと。
    2. (2) 完全に溶解していない場合は、更に加熱機器にて約10分間加熱する。約10分後に取り出して完全に溶解していない場合は使用しないこと。
    3. (3) 溶解したバイアルを室温まで放冷すること。生理食塩液で希釈する前に無色から微黄色の澄明な状態であることを確かめ、黄色に着色している場合は使用しないこと。本剤は長時間の加熱により黄色に着色することがある。
    4. (4) バイアルを開封し、本剤40mL(全量)を日局生理食塩液360mLに注入し、振り混ぜること。
    5. (5) 本剤は用時調製し、速やかに使用すること。

14.2 薬剤投与時の注意

  1. 14.2.1 本剤は静脈内投与のみに使用すること。
  2. 14.2.2 不溶物の認められるもの又は混濁しているものは使用しないこと。
  3. 14.2.3 本剤はイヌリンが析出する可能性があるので、本剤投与時には0.22ミクロン以下のメンブランフィルターを用いた輸液セットを通して使用すること。
  4. 14.2.4 本剤は投与方法に応じて点滴速度を調節する必要があるので、輸液ポンプ等を使用すること。
  5. 14.2.5 使用後の残液は使用しないこと。

14.3 診断上の注意

  1. 14.3.1 下記の条件を満たさない場合、測定値に誤差を生じることがある。
    1. (1) 検査中は尿量1mL/min以上を保たせること。
    2. (2) 検査中、排尿時以外は安静臥床を保たせること。
  2. 14.3.2 下記の薬剤との併用により、測定値に誤差を生じることがある。
    抗酸化作用を有する薬剤(ビタミンE、プロブコール等)。酵素法による測定では本検査の測定値に影響を及ぼすことがある5)

14.4 測定時の注意

  1. 14.4.1 前処理
    1. (1) 検査当日は、検査結果に影響を与えないために、絶食すること。蛋白質食の摂取により、イヌリンクリアランスが上昇する可能性がある。
    2. (2) 患者の身長・体重を測定し、体表面積を求める。

16. 薬物動態

16.1 血中濃度

健康成人男性(6例)に本剤(イヌリンとして3g)を持続静脈内投与したとき(30分までは300mL/hr、30分から120分までは100mL/hrの投与速度)、維持量注入時(30分から120分)の最高血清中濃度は13.9mg/dLであり、消失半減期は約1.6時間であった6)

16.5 排泄

健康成人男性(6例)に本剤(イヌリンとして3g)を持続静脈内投与したとき(30分までは300mL/hr、30分から120分までは100mL/hrの投与速度)、投与終了後10時間までに尿中へほぼ100%排泄された6)

17. 臨床成績

17.1 有効性及び安全性に関する試験

  1. 17.1.1 国内第Ⅲ相試験

    急性腎炎症候群、慢性腎炎症候群、ネフローゼ症候群および糖尿病(クレアチニンクリアランスが30~80mL/min/1.73m2)の患者(125例)を対象にオープン試験を行った。本剤(イヌリンとして3g)を持続静脈内投与したとき(30分までは300mL/hr、30分から120分までは100mL/hrの投与速度)、有効性評価対象症例116例におけるイヌリンクリアランスは34.96mL/min/1.73m2であり、同時期に測定したクレアチニンクリアランスとの比は1.93であった7)

    測定項目

    クリアランス値
    (mL/min/1.73m2

    クリアランス比
    (Ccr/Cin)

    イヌリンクリアランス(Cin)

    34.96±14.41

    1.93±0.73

    同時期クレアチニン
    クリアランス(Ccr)

    63.58±24.06

    平均値±SD

    また、血清クレアチニンとイヌリンクリアランスの関係では、イヌリンクリアランスが80mL/min/1.73m2未満でも血清クレアチニンが正常範囲内にある症例が約10%認められた。

    副作用発現頻度は7.2%(9/125例)、14件に副作用(臨床検査値の異常を含む)が認められた。主な副作用は、頭痛、頭部不快感、水様便、皮疹、白血球減少、好中球増加、リンパ球減少、肝機能検査値異常(AST、ALT、ALP等の増加)、アミラーゼ増加であった(いずれも発現率は2%未満)。

  2. 17.1.2 *18歳以下の腎疾患患者を対象とした国内第Ⅲ相試験

    18歳以下の腎疾患患者(推定糸球体ろ過量が30~89mL/min/1.73m2の患者)60例を対象にオープン試験を行った。患者の年齢(投与日)の中央値(最小値, 最大値)は10.5(1, 18)歳であった。本剤を1時間に体重1kgあたり8mL(最大1時間に300mL)の投与速度で30分間、その後0.7×推定糸球体ろ過量(mL/min/1.73m2)×体表面積(m2)(最大1時間に100mL)の投与速度で120分間持続静脈内投与したとき、有効性評価対象症例58例におけるイヌリンクリアランスは57.9mL/min/1.73m2であり、同時期に測定したクレアチニンクリアランスとの比は1.78であった8)
    なお、推定糸球体ろ過量は、2歳以上18歳以下では血清クレアチニン、2歳未満では血清シスタチンCから算出した。

    測定項目

    クリアランス値
    (mL/min/1.73m2

    クリアランス比
    (Ccr/Cin)

    イヌリンクリアランス(Cin)

    57.9±19.8

    1.78±0.52

    同時期クレアチニン
    クリアランス(Ccr)

    99.1±30.1

    平均値±SD

    副作用は認められなかった。

18. 薬効薬理

18.1 測定法

静脈内投与されたイヌリンは糸球体毛細血管を自由に透過し(透過率Kinulin=1.06)、尿細管では分泌も再吸収もされないことから糸球体ろ過量(GFR)測定のための標準物質として用いられており、真のGFRを示すとされている9),10),11),12)

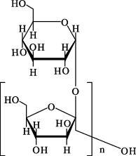
19. 有効成分に関する理化学的知見

一般的名称

イヌリン(Inulin)

分子式

C6H11O5(C6H10O5nOH

分子量

3,000~8,000

性状

白色の粉末で、においはない。水、エタノール(99.5)及びアセトンにほとんど溶けない。吸湿性である。

化学構造式

本質

α-D-Glucopyranosyl-(1↔2)-[(2→1)- β-D-fructofuranan] with average molecular weight between 3,000 and 8,000

22. 包装

40mL(イヌリン4g含有)1バイアル

24. 文献請求先及び問い合わせ先

**株式会社富士薬品 カスタマーサービスセンター

〒330-0854 埼玉県さいたま市大宮区桜木町1-12-5 沢田ビル6階

電話 048-644-3247
(受付時間 9:00~17:30(土・日・祝日及び当社休日を除く))
FAX 048-644-2241

26. 製造販売業者等

26.1 製造販売元

株式会社富士薬品

埼玉県さいたま市大宮区桜木町4丁目383番地

〒100-0013 東京都千代田区霞が関3-3-2 新霞が関ビル

画面を閉じる

Copyright © Pharmaceuticals and Medical Devices Agency, All Rights reserved.