医療用医薬品 詳細表示

デンターグル含嗽用散20mg/包

添付文書番号

2760808B1030_3_04

企業コード

671610

作成又は改訂年月

2024年3月改訂(第1版)

日本標準商品分類番号

87276

薬効分類名

歯科用抗生物質製剤

承認等

デンターグル含嗽用散20mg/包

販売名コード

YJコード

2760808B1030

販売名英語表記

DENTARGLE Gargle 20mg/packet

販売名ひらがな

でんたーぐるがんそうようさんにじゅうみりぐらむほう

承認番号等

承認番号

21900AMX01615000

販売開始年月

2007年12月

貯法・有効期間

貯法

室温保存

有効期間

2年

一般的名称

フラジオマイシン硫酸塩含嗽剤

2. 禁忌(次の患者には投与しないこと)

ストレプトマイシン、カナマイシン、ゲンタマイシン、フラジオマイシン等のアミノグリコシド系抗生物質、バシトラシン又はベンゼトニウム塩化物に対し過敏症の既往歴のある患者(本剤は保存剤としてベンゼトニウム塩化物を含有している。)

3. 組成・性状

3.1 組成

デンターグル含嗽用散20mg/包

有効成分1g中
(日局)フラジオマイシン硫酸塩   20mg(力価)
添加剤ベンゼトニウム塩化物、D-マンニトール、乳糖水和物、香料、赤色3号

3.2 製剤の性状

デンターグル含嗽用散20mg/包

性状本剤は淡紅色の粉末で、スペアミントようの芳香がある。
水溶液(0.5→100)は微紅色の透明溶液である。

4. 効能又は効果

  • 〈適応菌種〉

    フラジオマイシン感性菌

  • 〈適応症〉

    抜歯創・口腔手術創の二次感染

6. 用法及び用量

フラジオマイシン硫酸塩として、通常60mg(カ価)を用時約500mLの水又は微温湯に溶解し、1日数回に分けて洗口する。
なお、症状により適宜増量する。

8. 重要な基本的注意

  1. 8.1 感作されるおそれがあるので、観察を十分に行い、感作されたことを示す徴候(瘙痒、発赤等)があらわれた場合には使用を中止すること。
  2. 8.2 本剤は長期間連用しないこと。

11. 副作用

次の副作用があらわれることがあるので、観察を十分に行い、異常が認められた場合には使用を中止するなど適切な処置を行うこと。

11.2 その他の副作用

頻度不明

過敏症

発疹

14. 適用上の注意

14.1 薬剤使用時の注意

  1. 14.1.1 抜歯後等の口腔内手術創の場合、血餅の形成が阻害されると思われる時期には、はげしい洗口を避けさせること。
  2. 14.1.2 寒冷時溶解しにくい場合は、コップごと微温湯に浸け加温すること。なお、この加温による薬効の変化はない。

17. 臨床成績

17.1 有効性及び安全性に関する試験

  1. 17.1.1 国内臨床試験

    健康成人を対象とした二重盲検試験において、微生物増加の抑制作用が報告されている1)

  2. 17.1.2 国内臨床試験

    抜歯、歯槽骨整形の処置を受けた患者、及び口内炎、歯肉炎の患者を対象とした二重盲検試験において、口腔外科手術時の感染予防効果及び口腔粘膜疾患の治療に対し有効性が認められた2)

    表1 抜歯後の臨床成績

    評価日

    薬剤

    症例数

    効果測定

    有効率(%)

    X2検定

    有効

    無効

    3日目

    本剤

    Placebo

    185

    174

    160

    133

    25

    41

    86.5

    76.4

    P<0.05

    4日目

    本剤

    Placebo

    17

    17

    16

    13

    1

    4

    94.1

    76.1

    N.S

    7日目

    本剤

    Placebo

    180

    190

    166

    160

    14

    30

    92.2

    84.2

    P<0.05

    表2 使用対象別臨床成績

    処置又は疾患名

    薬剤

    3日目

    7日目

    有効

    やや有効

    無効

    有効率(%)

    有効

    やや有効

    無効

    有効率(%)

    歯槽骨整形

    本剤

    Placebo

    8

    5

    4

    4

    12

    9

    66.7

    55.6

    11

    8

    0

    1

    11

    9

    100

    88.9

    口内炎

    本剤

    Placebo

    4

    2

    6

    6

    2

    6

    12

    14

    83.3

    57.1

    8

    9

    3

    5

    1

    0

    12

    14

    91.7

    100

    歯肉炎

    本剤

    Placebo

    8

    6

    23

    22

    3

    3

    34

    31

    91.2

    90.3

    26

    24

    8

    4

    0

    3

    34

    31

    100

    90.3

    副作用は、本剤群354例中、黒毛舌2例がみられた。

18. 薬効薬理

18.1 作用機序

他のアミノグリコシド系抗生物質と同様にタンパク合成阻害であり、作用は殺菌的である3)

18.2 抗菌作用

フラジオマイシン硫酸塩はグラム陽性・陰性菌、抗酸菌、放線菌、レプトスピラに対して抗菌活性を示す3)

19. 有効成分に関する理化学的知見

一般的名称

フラジオマイシン硫酸塩(Fradiomycin Sulfate)

化学名

フラジオマイシンB硫酸塩
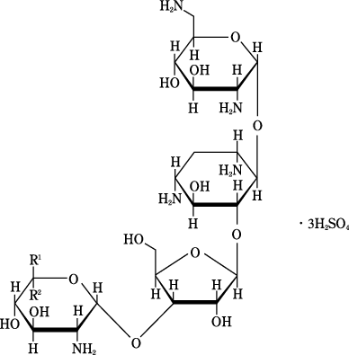
2,6-Diamino-2,6-dideoxy-α-D-glucopyranosyl-(1→4)-[2,6-diamino-2,6-dideoxy-β-L-idopyranosyl-(1→3)-β-D-ribofuranosyl-(1→5)]-2-deoxy-D-streptamine trisulfate

フラジオマイシンC硫酸塩
2,6-Diamino-2,6-dideoxy-α-D-glucopyranosyl-(1→4)-[2,6-diamino-2,6-dideoxy-α-D-glucopyranosyl-(1→3)-β-D-ribofuranosyl-(1→5)]-2-deoxy-D-streptamine trisulfate

分子式

C23H46N6O13・3H2SO4

分子量

908.88

性状

白色~淡黄色の粉末である。水に溶けやすく、エタノール(95)にほとんど溶けない。吸湿性である。

化学構造式

フラジオマイシンB硫酸塩:R1=H R2=CH2NH2

フラジオマイシンC硫酸塩:R1=CH2NH2 R2=H

22. 包装

1.0g×600包

24. 文献請求先及び問い合わせ先

株式会社ジーシー昭和薬品

〒113-0033 東京都文京区本郷一丁目28番34号

TEL:0120-648-914
〈受付時間〉9:00~17:30(土・日・祝日・弊社休日を除く)

26. 製造販売業者等

26.1 製造販売元

株式会社ジーシー昭和薬品

東京都板橋区蓮沼町76番1号

〒100-0013 東京都千代田区霞が関3-3-2 新霞が関ビル

画面を閉じる

Copyright © Pharmaceuticals and Medical Devices Agency, All Rights reserved.