医療用医薬品 詳細表示

ヒノポロン口腔用軟膏

処方せん医薬品

添付文書番号
企業コード
作成又は改訂年月
日本標準商品分類番号
薬効分類名
承認等
一般的名称
2.禁忌(次の患者には投与しないこと)
3.組成・性状
3.1組成
3.2製剤の性状
4.効能又は効果
6.用法及び用量
9.特定の背景を有する患者に関する注意
9.5妊婦
9.6授乳婦
10.相互作用
10.2併用注意(併用に注意すること)
11.副作用
11.1重大な副作用
11.2その他の副作用
14.適用上の注意
17.臨床成績
17.1有効性及び安全性に関する試験
18.薬効薬理
18.1作用機序
19.有効成分に関する理化学的知見
20.取扱い上の注意
22.包装
23.主要文献
24.文献請求先及び問い合わせ先
26.製造販売業者等

ヒノポロン口腔用軟膏

添付文書番号

2790810M1037_2_04

企業コード

671610

作成又は改訂年月

2024年3月改訂(第1版)

日本標準商品分類番号

87279

薬効分類名

歯周疾患治療剤

承認等

ヒノポロン口腔用軟膏

販売名コード

YJコード

2790810M1037

販売名英語表記

HINOPORON Oral Ointment

販売名ひらがな

ひのぽろんこうくうようなんこう

承認番号等

承認番号

22100AMX01600000

販売開始年月

1965年11月

貯法・有効期間

貯法

室温保存

有効期間

3.5年

一般的名称

ヒドロコルチゾン酢酸エステル・ヒノキチオール配合剤

2. 禁忌(次の患者には投与しないこと)

  1. 2.1 本剤に対し過敏症の既往歴のある患者
  2. 2.2 メトヘモグロビン血症のある患者[症状を悪化させるおそれがある。]

3. 組成・性状

3.1 組成

ヒノポロン口腔用軟膏

有効成分1g中
ヒノキチオール   1mg
(日局)ヒドロコルチゾン酢酸エステル   5mg
(日局)アミノ安息香酸エチル   15mg
添加剤プロピレングリコール、マクロゴール、ステアリルアルコール、ゲル化炭化水素、dl-メントール、パラベン

3.2 製剤の性状

ヒノポロン口腔用軟膏

性状本剤は白色のやや流動性を帯びた軟膏で、メントールのにおいがある。

4. 効能又は効果

急性歯肉炎、辺縁性歯周炎

6. 用法及び用量

十分清拭乾燥した患部に1日1回適量を注入する。又は、塗布する場合、患部を清拭したのち、通常1日1~3回適量を使用する。

9. 特定の背景を有する患者に関する注意

9.5 妊婦

妊婦又は妊娠している可能性のある女性には、治療上の有益性が危険性を上回ると判断される場合にのみ使用すること。また、長期使用を避けること。

9.6 授乳婦

治療上の有益性及び母乳栄養の有益性を考慮し、授乳の継続又は中止を検討すること。

10. 相互作用

    10.2 併用注意(併用に注意すること)

    薬剤名等臨床症状・措置方法機序・危険因子

    ヨード製剤、その他の金属塩を含む薬剤

    ヒノキチオールの効果を減弱させるおそれがあるので併用を避けること。

    機序は不明である。

    11. 副作用

    次の副作用があらわれることがあるので、観察を十分に行い、異常が認められた場合には投与を中止するなど適切な処置を行うこと。

    11.1 重大な副作用

    1. 11.1.1 ショック(頻度不明)

      血圧降下、顔面蒼白、脈拍の異常、呼吸抑制等の症状があらわれた場合には、直ちに使用を中止し、適切な処置を行うこと。(アミノ安息香酸エチルによる)

    2. 11.1.2 振戦、痙攣(いずれも頻度不明)

      振戦、痙攣等の中毒症状があらわれた場合には、直ちに使用を中止し、ジアゼパム又は超短時間作用型バルビツール酸製剤(チオペンタールナトリウム等)の投与等の適切な処置を行うこと。(アミノ安息香酸エチルによる)

    11.2 その他の副作用

    頻度不明

    中枢神経1)

    眠気、不安、興奮、霧視、眩暈、悪心・嘔吐等(アミノ安息香酸エチルによる)

    過敏症

    過敏症状

    下垂体・副腎皮質系

    下垂体・副腎皮質系機能の抑制(大量又は長期にわたる使用による)

    血液

    メトヘモグロビン血症(アミノ安息香酸エチルによる)

    1) このような症状があらわれた場合は、ショックあるいは中毒への移行に注意すること。

    14. 適用上の注意

    14.1 薬剤使用時の注意

    1. 14.1.1 眼科用として使用しないこと。

    17. 臨床成績

    17.1 有効性及び安全性に関する試験

    1. 17.1.1 国内臨床試験

      医師による注入199例(辺縁性歯周炎197例、歯肉炎2例)、患者自身による塗布84例(辺縁性歯周炎72例、歯肉炎12例)を対象とし、臨床所見として出血、排膿の停止及び減少、歯肉発赤、腫脹の減退、疼痛の消失、歯牙の動揺度の減少と歯肉の緊張等について評価したところ、成績と著効及び有効例を含めた有効率は表のとおりであった。なお、臨床全例において副作用は認められなかった1),2),3),4),5),6),7),8),9),10)

      用法

      疾患名

      著効

      有効

      やや
      有効

      無効

      不明

      有効率(%)

      医師による注入

      辺縁性歯周炎

      42

      119

      7

      26

      3

      81.7

      歯肉炎

      2

      0

      0

      0

      0

      100.0

      患者による塗布

      辺縁性歯周炎

      12

      36

      19

      5

      0

      66.6

      歯肉炎

      2

      6

      2

      2

      0

      66.6

    18. 薬効薬理

    18.1 作用機序

    1. 18.1.1 抗菌作用

      ヒノキチオールは歯周疾患の炎症や化膿に関与するアクチノミセスや溶血性ストレプトコッカスなどの好気性菌には100万分の3~100の濃度で、また症状が進み盲囊が深くなるに従い歯肉組織の崩壊に大きく関与するとみられるバクテロイデスや、フソバクテリウムなどの嫌気性菌には、100万分の3~50の濃度で発育を阻止する11)

    2. 18.1.2 抗炎症作用

      ヒドロコルチゾン酢酸エステルは、糖質コルチコイドであり、細胞質あるいは核内に存在する受容体に結合すると、核内に移行して特定の遺伝子の転写を開始あるいは阻害する。転写が開始されて合成される代表的なたん白質はリポコルチン-1であるが、これはホスホリパーゼA2を阻害して結果的にプロスタグランジン類、トロンボキサン類、ロイコトリエン類などの起炎物質の産生を低下させる。起炎物質の生合成抑制と炎症細胞の遊走抑制により抗炎症作用を現すと考えられる12)

    3. 18.1.3 鎮痛作用

      アミノ安息香酸エチルは、神経細胞膜のNa+チャンネルを抑制することによって神経の活動電位発生を抑制するという局所麻酔薬共通の作用により、知覚神経の求心性伝導を抑制する。水に難溶で、軟膏や坐剤として外用で用いる13)

    19. 有効成分に関する理化学的知見

    19.1 ヒノキチオール

    一般的名称

    ヒノキチオール(Hinokitiol)

    化学名

    4-Isopropyl-2-hydroxy-2,4,6-cycloheptatriene-1-one

    分子式

    C10H12O2

    分子量

    164.20

    性状

    白色又はやや黄色を帯びた白色の結晶又は結晶性の塊で、ヒノキに似た芳香を有し、味はほとんどない。水に溶けにくく、ジエチルエーテル、エタノール(95)、クロロホルム、ベンゼンに極めて溶けやすい。又、光によって徐々に分解して淡黄色となる。

    化学構造式

    融点

    50~52.5℃

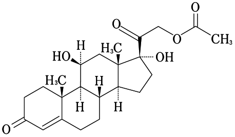
    19.2 ヒドロコルチゾン酢酸エステル

    一般的名称

    ヒドロコルチゾン酢酸エステル(Hydrocortisone Acetate)

    化学名

    11β,17,21-Trihydroxypregn-4-ene-3,20-dione 21-acetate

    分子式

    C23H32O6

    分子量

    404.50

    性状

    白色の結晶又は結晶性の粉末で、においはない。1,4-ジオキサンにやや溶けにくく、メタノール、エタノール(95)又はクロロホルムに溶けにくく、ジエチルエーテルに極めて溶けにくく、水にほとんど溶けない。

    化学構造式

    融点

    約220℃(分解)

    19.3 アミノ安息香酸エチル

    一般的名称

    アミノ安息香酸エチル(Ethyl Aminobenzoate)

    化学名

    Ethyl 4-aminobenzoate

    分子式

    C9H11NO2

    分子量

    165.19

    性状

    白色の結晶又は結晶性の粉末で、においはなく、味はやや苦く、舌を麻ひする。エタノール(95)又はジエチルエーテルに溶けやすく、水に極めて溶けにくく、希塩酸に溶ける。

    化学構造式

    融点

    89~91℃

    20. 取扱い上の注意

    1. 20.1 本剤は、光や温度及び金属の影響により徐々に変色する性質があるので、使用後はキャップをしっかり締めて保管すること。

    22. 包装

    5g×1[チューブ]
    5g×10[チューブ]
    5g×20[チューブ]

    24. 文献請求先及び問い合わせ先

    株式会社ジーシー昭和薬品

    〒113-0033 東京都文京区本郷一丁目28番34号

    TEL:0120-648-914
    〈受付時間〉 9:00~17:30(土・日・祝日・弊社休日を除く)

    26. 製造販売業者等

    26.1 製造販売元

    株式会社ジーシー昭和薬品

    東京都板橋区蓮沼町76番1号

    〒100-0013 東京都千代田区霞が関3-3-2 新霞が関ビル

    画面を閉じる

    Copyright © Pharmaceuticals and Medical Devices Agency, All Rights reserved.