医療用医薬品 詳細表示

イバンドロン酸静注1mgシリンジ「VTRS」

処方せん医薬品

添付文書番号
企業コード
作成又は改訂年月
日本標準商品分類番号
薬効分類名
承認等
一般的名称
2.禁忌(次の患者には投与しないこと)
3.組成・性状
3.1組成
3.2製剤の性状
4.効能又は効果
5.効能又は効果に関連する注意
6.用法及び用量
7.用法及び用量に関連する注意
8.重要な基本的注意
9.特定の背景を有する患者に関する注意
9.2腎機能障害患者
9.4生殖能を有する者
9.5妊婦
9.6授乳婦
9.7小児等
11.副作用
11.1重大な副作用
11.2その他の副作用
13.過量投与
14.適用上の注意
15.その他の注意
15.2非臨床試験に基づく情報
16.薬物動態
16.1血中濃度
16.3分布
16.4代謝
16.5排泄
16.6特定の背景を有する患者
17.臨床成績
17.1有効性及び安全性に関する試験
18.薬効薬理
18.1作用機序
18.2骨吸収抑制作用
18.3骨粗鬆症モデル動物における作用
18.4骨石灰化に及ぼす影響
18.5骨折修復に及ぼす影響
19.有効成分に関する理化学的知見
20.取扱い上の注意
22.包装
23.主要文献
24.文献請求先及び問い合わせ先
26.製造販売業者等

イバンドロン酸静注1mgシリンジ「VTRS」

添付文書番号

3999438G1043_1_07

企業コード

672017

作成又は改訂年月

**2024年7月改訂(第5版)
2024年1月改訂(第4版)

日本標準商品分類番号

873999

薬効分類名

骨粗鬆症治療剤

承認等

イバンドロン酸静注1mgシリンジ「VTRS」

販売名コード

YJコード

3999438G1043

販売名英語表記

Ibandonate Syringes Intravenous Injection

販売名ひらがな

いばんどろんさんじょうちゅう1mgしりんじ「VTRS」

承認番号等

承認番号

30400AMX00396000

販売開始年月

2023年3月

貯法・有効期間

貯法

室温保存

有効期間

3年

一般的名称

イバンドロン酸ナトリウム水和物

2. 禁忌(次の患者には投与しないこと)

  1. 2.1 本剤の成分又は他のビスホスホネート系薬剤に対し過敏症の既往歴のある患者
  2. 2.2 低カルシウム血症の患者
  3. 2.3 妊婦又は妊娠している可能性のある女性

3. 組成・性状

3.1 組成

イバンドロン酸静注1mgシリンジ「VTRS」

成分・含有量
[1シリンジ(1mL)中]

有効成分イバンドロン酸ナトリウム水和物   1.125mg
(イバンドロン酸として   1mg )
添加剤塩化ナトリウム 8.600mg
氷酢酸 0.510mg
酢酸ナトリウム水和物 0.204mg

3.2 製剤の性状

イバンドロン酸静注1mgシリンジ「VTRS」

剤形注射剤(シリンジ)
pH3.8~4.2
浸透圧比約1(生理食塩液に対する比)
性状無色澄明の液

4. 効能又は効果

骨粗鬆症

5. 効能又は効果に関連する注意

本剤の適用にあたっては、日本骨代謝学会の診断基準等を参考に、骨粗鬆症との診断が確定している患者を対象とすること。

6. 用法及び用量

通常、成人にはイバンドロン酸として1mgを1カ月に1回、静脈内投与する。

7. 用法及び用量に関連する注意

  1. 7.1 本剤はできるだけ緩徐に静脈内投与すること。
  2. 7.2 本剤は月1回投与する薬剤である。本剤の投与が予定から遅れた場合は可能な限り速やかに投与を行い、以後、その投与を基点とし、1カ月間隔で投与すること。

8. 重要な基本的注意

  1. 8.1 低カルシウム血症や骨・ミネラル代謝障害がある場合には、本剤投与前にあらかじめ治療すること。
  2. 8.2 本剤投与中は、必要に応じてカルシウム及びビタミンDを補給すること。また、本剤投与後は、一過性に血清カルシウム値が低下する可能性があるので、血清カルシウム値には注意すること。
  3. 8.3 ビスホスホネート系薬剤による治療を受けている患者において、顎骨壊死・顎骨骨髄炎があらわれることがある。報告された症例の多くが抜歯等の顎骨に対する侵襲的な歯科処置や局所感染に関連して発現している。リスク因子としては、悪性腫瘍、化学療法、血管新生阻害薬、コルチコステロイド治療、放射線療法、口腔の不衛生、歯科処置の既往等が知られている。
    本剤の投与開始前は口腔内の管理状態を確認し、必要に応じて、患者に対し適切な歯科検査を受け、侵襲的な歯科処置をできる限り済ませておくよう指導すること。本剤投与中に侵襲的な歯科処置が必要になった場合には本剤の休薬等を考慮すること。
    また、口腔内を清潔に保つこと、定期的な歯科検査を受けること、歯科受診時に本剤の使用を歯科医師に告知して侵襲的な歯科処置はできる限り避けることなどを患者に十分説明し、異常が認められた場合には、直ちに歯科・口腔外科を受診するように指導すること。
  4. 8.4 ビスホスホネート系薬剤を使用している患者において、外耳道骨壊死が発現したとの報告がある。これらの報告では、耳の感染や外傷に関連して発現した症例も認められることから、外耳炎、耳漏、耳痛等の症状が続く場合には、耳鼻咽喉科を受診するよう指導すること。
  5. 8.5 ビスホスホネート系薬剤を長期使用している患者において、非外傷性又は軽微な外力による大腿骨転子下、近位大腿骨骨幹部、近位尺骨骨幹部等の非定型骨折が発現したとの報告がある。これらの報告では、完全骨折が起こる数週間から数カ月前に大腿部、鼠径部、前腕部等において前駆痛が認められている報告もあることから、このような症状が認められた場合には、X線検査等を行い、適切な処置を行うこと。また、両側性の骨折が生じる可能性があることから、片側で非定型骨折が起きた場合には、反対側の部位の症状等を確認し、X線検査を行うなど、慎重に観察すること。X線検査時には骨皮質の肥厚等、特徴的な画像所見がみられており、そのような場合には適切な処置を行うこと。

9. 特定の背景を有する患者に関する注意

9.2 腎機能障害患者

  1. 9.2.1 高度の腎障害のある患者
    1. (1) 排泄が遅延するおそれがある。
    2. (2) 国内の医療情報データベースを用いた疫学調査において、骨粗鬆症の治療にビスホスホネート系薬剤を使用した腎機能障害患者のうち、特に、高度な腎機能障害患者(eGFRが30mL/min/1.73m2未満)で、腎機能が正常の患者と比較して低カルシウム血症(補正血清カルシウム値が8mg/dL未満)のリスクが増加したとの報告がある1)

9.4 生殖能を有する者

妊娠する可能性のある女性へは、治療上の有益性が危険性を上回ると判断される場合にのみ投与すること。ビスホスホネート系薬剤は骨基質に取り込まれた後に全身循環へ徐々に放出される。全身循環への放出量はビスホスホネート系薬剤の投与量・期間に相関する。ビスホスホネート系薬剤の中止から妊娠までの期間と危険性との関連は明らかではない。

9.5 妊婦

妊婦又は妊娠している可能性のある女性には投与しないこと。妊娠が認められた場合には、本剤の投与を中止すること。他のビスホスホネート系薬剤と同様、生殖試験(ラット)において、低カルシウム血症による分娩障害の結果と考えられる母動物の死亡等がみられている。

9.6 授乳婦

治療上の有益性及び母乳栄養の有益性を考慮し、授乳の継続又は中止を検討すること。母動物(ラット)へ投与した場合、乳汁中に移行することが示されている。

9.7 小児等

小児等を対象とした有効性及び安全性を指標とした臨床試験は実施していない。

11. 副作用

次の副作用があらわれることがあるので、観察を十分に行い、異常が認められた場合には投与を中止するなど適切な処置を行うこと。

11.1 重大な副作用

  1. 11.1.1 アナフィラキシーショック、アナフィラキシー反応(頻度不明)

    投与に際しては、適切な処置のとれる準備をしておくこと。なお、海外では死亡に至った例も報告されている。

  2. 11.1.2 顎骨壊死・顎骨骨髄炎(頻度不明)

  3. 11.1.3 外耳道骨壊死(頻度不明)

  4. 11.1.4 大腿骨転子下、近位大腿骨骨幹部、近位尺骨骨幹部等の非定型骨折(頻度不明)

  5. 11.1.5 低カルシウム血症(頻度不明)

    痙攣、テタニー、しびれ、失見当識、QT延長等を伴う低カルシウム血症が認められることがある。

11.2 その他の副作用

1~5%未満

1%未満

頻度不明

消化器

胃炎

胃不快感、下痢、逆流性食道炎、便秘、食欲不振

悪心、嘔吐

精神神経系

頭痛

感覚異常、めまい

肝臓

肝機能異常[AST上昇、ALT上昇、ALP上昇等]

皮膚

発疹、蕁麻疹

多形紅斑、水疱性皮膚炎

結膜炎

ぶどう膜炎、強膜炎、上強膜炎

筋・骨格系

背部痛、筋肉痛、関節痛、骨痛

関節炎、筋骨格硬直、四肢痛

その他

倦怠感、注射部位反応(腫脹、疼痛、紅斑等)、インフルエンザ様症状注)

疼痛、ほてり(熱感等)、高血圧、発熱、胸痛、尿検査異常(尿中血陽性等)、浮腫(末梢、顔面等)、上気道感染(鼻咽頭炎等)、貧血

喘息増悪

注)主に初回投与時に、投与3日以内に発現し7日以内に回復する一過性の急性期反応と呼ばれる症状(背部痛、筋肉痛、関節痛、骨痛、頭痛、倦怠感等)を発現することがある。

13. 過量投与

  1. 13.1 症状

    低カルシウム血症、低リン酸血症、低マグネシウム血症が発現する可能性がある。

  2. 13.2 処置

    必要に応じ、カルシウム、リン酸、マグネシウムを含有する製剤の静脈内投与を行う。

14. 適用上の注意

14.1 薬剤投与時の注意

  1. 14.1.1 本剤は静脈内注射にのみ使用すること。静脈内投与以外の経路から投与すると組織障害を起こすおそれがある。
  2. 14.1.2 カルシウム又はマグネシウムを含有する溶液と混合しないこと。カルシウム又はマグネシウムイオンと結合して錯体を形成することがある。

15. その他の注意

15.2 非臨床試験に基づく情報

若齢イヌ(6カ月間静脈内投与毒性試験及び1年間経口投与毒性試験)において、骨端成長帯に骨基質の壊死が認められた2),3)。イヌ6カ月間静脈内投与毒性試験ではイバンドロン酸として0.3mg/kg(月2回)の用量まで骨基質の壊死は認められず、当該用量(無毒性量)における曝露量(AUC0-24h)は、ヒトにイバンドロン酸として1mg(月1回)を静脈内投与した際の曝露量の約5.6倍に相当した。なお、骨基質の壊死は、骨端線閉鎖した成熟動物には認められなかった。

16. 薬物動態

16.1 血中濃度

  1. 16.1.1 単回投与

    健康成人男性にイバンドロン酸として0.125、0.25又は0.5mgを単回静脈内投与注)したときの薬物動態パラメータは下記のとおりであり、血中濃度-時間曲線下面積(AUCinf)は投与量に比例して増加し、血中半減期(t1/2)、全身クリアランス(CLtot)及び腎クリアランス(CLr)は投与量に依存せずほぼ一定であった4)

    健康成人男性に単回静脈内投与したときの薬物動態パラメータ(平均値±標準偏差,N=8)

    投与量
    (mg)

    AUCinf
    (ng・h/mL)

    t1/2
    (h)

    CLtot
    (mL/min)

    CLr
    (mL/min)

    0.125

    17.1±1.9

    15.7±8.8

    123±14

    86.5±12.3

    0.25

    34.4±5.1

    20.2±4.4

    124±21

    83.6±9.9

    0.5

    77.2±10.4

    21.3±2.0

    109±13

    81.8±14.3

  2. 16.1.2 反復投与

    閉経後骨減少女性にイバンドロン酸として0.25、0.5、1又は2mgを13週間隔で2回静脈内投与注)したときの初回投与時の薬物動態パラメータは下記のとおりであった。血清中未変化体濃度推移は初回投与と2回目投与で同様であり、AUCinfは投与量に比例して増加し、t1/2、CLtot及びCLrは投与量に依存せずほぼ一定であった5)

    閉経後骨減少女性に反復静脈内投与したときの初回投与時の薬物動態パラメータ(平均値±標準偏差,N=10)

    投与量
    (mg)

    AUCinf
    (ng・h/mL)

    t1/2
    (h)

    CLtot
    (mL/min)

    CLr
    (mL/min)

    0.25

    74.4±9.8

    18.7±1.7

    56.8±6.9

    34.3±4.6

    0.5

    136.8±16.3

    18.5±1.7

    61.7±7.1

    34.8±6.8

    1

    239.9±22.7

    18.5±0.9

    70.1±7.3

    43.9±7.4

    2

    540.7±95.9

    18.9±2.0

    63.3±10.7

    41.9±9.8

16.3 分布

  1. 16.3.1 蛋白結合率

    In vitro試験において、ヒト血清蛋白結合率は、イバンドロン酸濃度が5ng/mLのとき90%であった6)

16.4 代謝

  1. 16.4.1 In vitro試験において、イバンドロン酸ナトリウム水和物をヒト肝ミクロソーム中でインキュベートした場合、代謝物の生成は認められなかった7)
  2. 16.4.2 In vitro試験において、イバンドロン酸ナトリウム水和物はヒト肝ミクロソームの7種類のCYP酵素分子種(CYP1A2、CYP2A6、CYP2C9、CYP2C19、CYP2D6、CYP2E1及びCYP3A4)に対して阻害作用を示さなかった8)

16.5 排泄

閉経後骨減少女性にイバンドロン酸として0.25、0.5、1又は2mgを静脈内投与注)したとき、72時間までの尿中未変化体排泄率は47.0~64.6%であった5)

16.6 特定の背景を有する患者

  1. 16.6.1 腎障害時の薬物動態

    クレアチニンクリアランス(CLcr)が90mL/minを超える健康成人、CLcrが40~70mL/min及び30mL/min未満の腎障害患者にイバンドロン酸として0.5mgを静脈内投与注)したときのAUCinf及びCmax (C5min)は下記のとおりであり、腎機能の低下に伴った上昇を示し、CLrはCLcrと比例した9)(外国人データ)。

    健康成人及び腎障害患者に静脈内投与したときの薬物動態パラメータ(平均値±標準偏差)

    CLcr
    (mL/min)

    例数

    AUCinf
    (ng・h/mL)

    AUCinf
    の比a)

    Cmax
    (C5min
    (ng/mL)

    Cmax
    (C5min
    の比a)

    CLr
    (mL/min)

    >90
    (範囲92~133)

    14

    67.6±14.4

    1

    47.5±14.8

    1

    77.0±24.2

    40~70
    (範囲42~69)

    8

    105±14.5

    1.55

    61.9±6.86

    1.30

    48.9±15.2

    <30
    (範囲13~29)

    12

    201±47.5

    2.97

    116±127

    2.44

    17.9±7.67

    a)CLcrが>90mL/minの値に対する比

    注)承認された用法及び用量は、「通常、成人にはイバンドロン酸として1mg を1カ月に1回、静脈内投与する。」である。

17. 臨床成績

17.1 有効性及び安全性に関する試験

  1. 17.1.1 国内第Ⅱ/Ⅲ相試験

    60歳以上の原発性骨粗鬆症患者を対象にした無作為化二重盲検群間比較試験(被験薬群は、イバンドロン酸ナトリウム水和物注射剤0.5mg注)及びイバンドロン酸ナトリウム水和物注射剤1mg)において、3年間の非外傷性椎体骨折発生頻度の生命表法による推定値(95% 信頼区間)は、イバンドロン酸ナトリウム水和物注射剤1mg群(イバンドロン酸として1mgを1カ月に1回静脈内投与、382例うち男性28例)及び対照群(リセドロン酸ナトリウムとして2.5mgを連日経口投与、376例うち男性33例)で、それぞれ16.07%(12.19~19.94%)及び17.58%(13.55~21.62%)であった。非外傷性椎体骨折発生頻度の層別Cox回帰分析による対照群に対するイバンドロン酸ナトリウム水和物注射剤1mg群のハザード比(90%信頼区間) は0.88(0.65~1.20)であり、イバンドロン酸ナトリウム水和物注射剤の対照薬に対する非劣性が証明された(非劣性限界値1.55)。
    3年後の腰椎骨密度変化率の平均値(95%信頼区間)は、イバンドロン酸ナトリウム水和物注射剤1mg群9.02%(8.32~9.72%)及び対照群7.61%(6.92~8.30%)で、3年後の大腿骨近位部骨密度変化率の平均値(95%信頼区間)は、イバンドロン酸ナトリウム水和物注射剤1mg 群3.09%(2.68~3.51%)及び対照群2.02%(1.58~2.45%)であった10)。副作用発現頻度は、安全性評価対象例において、イバンドロン酸ナトリウム水和物注射剤1mg群で25.1%(103/411例)、対照群で20.4%(83/406例)であった。主な副作用は背部痛で、イバンドロン酸ナトリウム水和物注射剤1mg群で2.9%(12/411例)、対照群で1.2%(5/406例)であった。
    注)承認された用法及び用量は、「通常、成人にはイバンドロン酸として1mgを1カ月に1回、静脈内投与する。」である。

18. 薬効薬理

18.1 作用機序

イバンドロン酸は、骨基質であるハイドロキシアパタイトに対する高い親和性を有しており11)、投与後骨に分布する12)。破骨細胞に取り込まれた後ファルネシルピロリン酸合成酵素を阻害し13)、これにより破骨細胞の機能を抑制することで骨吸収抑制作用を示すと考えられる。

18.2 骨吸収抑制作用

ウサギ破骨細胞培養系を用いたin vitro試験において、破骨細胞が象牙切片に形成する吸収窩を減少させる14)

18.3 骨粗鬆症モデル動物における作用

  1. 18.3.1 ラット卵巣摘除モデルにおいて、12カ月間連日皮下投与したとき、骨密度及び骨強度の低下を用量依存的に抑制した15)。また、12カ月間間欠(25日に1回)皮下投与したときにも、骨密度及び骨強度の低下を抑制した15)
  2. 18.3.2 カニクイザル卵巣摘除モデルにおいて、16カ月間間欠(30日に1回)静脈内投与したとき、骨密度及び骨強度の低下を抑制し、骨密度と骨強度には正の相関が認められた。また、血清・尿中の骨代謝マーカー(血清骨型アルカリホスファターゼ、血清オステオカルシン、尿中Ⅰ型コラーゲン架橋N-テロペプチド、尿中デオキシピリジノリン)の上昇を抑制した16),17)

18.4 骨石灰化に及ぼす影響

  1. 18.4.1 成長期ラットにおいて、7日間連日皮下投与したとき、イバンドロン酸として4780μg/kg(1000μgP/kg注1):骨量増加作用を示す用量の約100倍)の用量まで、骨石灰化過程の障害は認められなかった注2),18),19)
  2. 18.4.2 イヌ卵巣・子宮摘除モデルにおいて、イバンドロン酸として100μg/kg(骨量減少抑制作用を示す用量の約100倍)の用量まで、類骨幅の増加や石灰化速度の低下は認められなかった注3),20)
  3. 18.4.3 カニクイザル卵巣摘除モデルにおいて、骨量減少抑制作用を示す30及び150μg/kg(イバンドロン酸としての用量:16カ月間間欠(30日に1回)静脈内投与)では、類骨幅の増加は認められなかった16)
    注1)分子内に含まれるリン原子の重量をもとにした重量表示
    注2)4780μg/kgの用量では、脛骨骨幹端の成長板直下に骨基質添加の抑制に基づくと考えられる低石灰化領域が認められた。
    注3)投与前値との比較

18.5 骨折修復に及ぼす影響

骨髄除去及び骨欠損孔作製イヌ骨折モデルに、イバンドロン酸として1μg/kgの用量を36週間連日皮下投与したとき、骨髄除去大腿骨皮質骨における骨単位数及び脛骨骨欠損孔における仮骨形成に影響は認められなかった21)

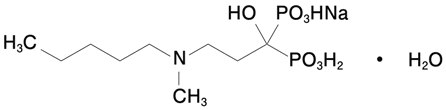
19. 有効成分に関する理化学的知見

一般的名称

イバンドロン酸ナトリウム水和物
(Ibandronate Sodium Hydrate)

化学名

Monosodium [1-hydroxy-3-(methylpentylamino)propane-1,1-diyl]diphosphonate monohydrate

分子式

C9H22NNaO7P2・H2O

分子量

359.23

性状

白色~黄白色の粉末である。水に溶けやすく、エタノールにほとんど溶けない。

化学構造式

融点

193℃付近で融け始め、198℃付近で分解する。

20. 取扱い上の注意

苛酷試験(光)においてわずかに類縁物質の増加が認められたため、外箱開封後は光を避けて保存すること。

22. 包装

1mL×1シリンジ
1mL×10シリンジ

23. 主要文献

1) MID-NET®を用いた調査結果の概要(MID-NET®を用いたビスホスホネート製剤の腎機能障害患者における低カルシウム血症のリスク評価に関するデータベース調査):
https://www.pmda.go.jp/files/000249186.pdf

2) 毒性試験〈イヌ6カ月間静脈内投与試験(高用量試験)〉(ボンビバ静注:2013年6月28日承認,申請資料概要2.6.6.3.5)

3) 毒性試験〈イヌ1年間経口投与試験〉(ボンビバ静注:2013年6月28日承認,申請資料概要2.6.6.3.7)

4) 健康成人男性での単回投与試験(ボンビバ静注:2013年6月28日承認,申請資料概要2.7.6.1.1)

5) 閉経後骨減少女性での反復投与試験(ボンビバ静注:2013年6月28日承認,申請資料概要2.7.6.1.3)

6) 薬物動態試験〈血清蛋白結合性(in vitro)〉(ボンビバ静注:2013年6月28日承認,申請資料概要2.6.4.4.5)

7) 薬物動態試験〈代謝プロファイル(in vitro)〉(ボンビバ静注:2013年6月28日承認,申請資料概要2.6.4.5.1)

8) 薬物動態試験〈酵素阻害(in vitro)〉(ボンビバ静注:2013年6月28日承認,申請資料概要2.6.4.5.3)

9) 臨床薬理試験(腎障害時の薬物動態)(ボンビバ静注:2013年6月28日承認,申請資料概要2.7.6.2.3)

10) 無作為化二重盲検群間比較試験(第Ⅱ/Ⅲ相試験)(ボンビバ静注:2013年6月28日承認,申請資料概要2.7.6.1.5)

11) Nancollas GH, et al. Bone. 2006;38:617-27.

12) 薬物動態試験〈骨中濃度(反復投与)〉(ボンビバ静注:2013年6月28日承認,申請資料概要2.6.4.4.3)

13) Dunford JE, et al. J Pharmacol Exp Ther. 2001;296:235-42.

14) 薬理試験〈骨吸収抑制作用(in vitro)〉(ボンビバ静注:2013年6月28日承認,申請資料概要2.6.2.2.1.1)

15) Bauss F, et al. J Rheumatol. 2002;29:2200-8.

16) Smith SY, et al. Bone. 2003;32:45-55.

17) Müller R, et al. J Bone Miner Res. 2004;19:1787-96.

18) Mühlbauer RC, et al. J Bone Miner Res. 1991;6:1003-11.

19) 骨石灰化及び骨折修復に及ぼすイバンドロン酸ナトリウム水和物の影響(ボンビバ静注:2013年6月28日承認,申請資料概要2.6.2.2)

20) Monier-Faugere MC, et al. J Bone Miner Res.1993;8:1345-55.

21) Bauss F, et al. J Pharmacol Toxicol Methods. 2004;50:25-34.

24. 文献請求先及び問い合わせ先

**ヴィアトリス製薬合同会社 メディカルインフォメーション部

**〒106-0041 東京都港区麻布台一丁目3番1号

フリーダイヤル 0120-419-043

26. 製造販売業者等

26.1 *製造販売元

ブリオファーマ株式会社

東京都中央区日本橋富沢町12番8号

26.2 販売元

**ヴィアトリス製薬合同会社

**東京都港区麻布台一丁目3番1号

〒100-0013 東京都千代田区霞が関3-3-2 新霞が関ビル

画面を閉じる

Copyright © Pharmaceuticals and Medical Devices Agency, All Rights reserved.