医療用医薬品 詳細表示

レベチラセタム点滴静注500mg「アメル」

処方せん医薬品

添付文書番号
企業コード
作成又は改訂年月
日本標準商品分類番号
薬効分類名
承認等
一般的名称
2.禁忌(次の患者には投与しないこと)
3.組成・性状
3.1組成
3.2製剤の性状
4.効能又は効果
5.効能又は効果に関連する注意
6.用法及び用量
7.用法及び用量に関連する注意
8.重要な基本的注意
9.特定の背景を有する患者に関する注意
9.2腎機能障害患者
9.3肝機能障害患者
9.5妊婦
9.6授乳婦
9.7小児等
9.8高齢者
11.副作用
11.1重大な副作用
11.2その他の副作用
13.過量投与
14.適用上の注意
15.その他の注意
15.1臨床使用に基づく情報
16.薬物動態
16.1血中濃度
16.3分布
16.4代謝
16.5排泄
16.6特定の背景を有する患者
16.7薬物相互作用
17.臨床成績
17.1有効性及び安全性に関する試験
18.薬効薬理
18.1作用機序
19.有効成分に関する理化学的知見
22.包装
23.主要文献
24.文献請求先及び問い合わせ先
26.製造販売業者等

レベチラセタム点滴静注500mg「アメル」

添付文書番号

1139402A2021_1_06

企業コード

672173

作成又は改訂年月

**2024年8月改訂(第5版)
2024年4月改訂

日本標準商品分類番号

871139

薬効分類名

抗てんかん剤

承認等

レベチラセタム点滴静注500mg「アメル」

販売名コード

YJコード

1139402A2021

販売名英語表記

Levetiracetam for Intravenous Drip Infusion「AMEL」

承認番号等

承認番号

30300AMX00390

販売開始年月

2022年1月

貯法・有効期間

貯法

室温保存

有効期間

3年

一般的名称

レベチラセタム

2. 禁忌(次の患者には投与しないこと)

本剤の成分又はピロリドン誘導体に対し過敏症の既往歴のある患者

3. 組成・性状

3.1 組成

レベチラセタム点滴静注500mg「アメル」

有効成分1アンプル(5mL)中、レベチラセタム500mgを含有する。  
添加剤塩化ナトリウム、酢酸ナトリウム水和物、氷酢酸、注射用水、pH調節剤

3.2 製剤の性状

レベチラセタム点滴静注500mg「アメル」

pH5.0~6.0
浸透圧比3.0~4.0(生理食塩液に対する比)
性状・剤形無色澄明の液

本剤は、ポリエチレン容器に充填した水性注射剤である。

4. 効能又は効果

  • 一時的に経口投与ができない患者における、下記の治療に対するレベチラセタム経口製剤の代替療法

    ・てんかん患者の部分発作(二次性全般化発作を含む)
    ・他の抗てんかん薬で十分な効果が認められないてんかん患者の強直間代発作に対する抗てんかん薬との併用療法

  • てんかん重積状態

5. 効能又は効果に関連する注意

  • 〈てんかん重積状態〉

    診療ガイドライン1)を参考とし、本剤の投与が適切と判断される患者に投与すること。

6. 用法及び用量

  • 〈一時的に経口投与ができない患者におけるレベチラセタム経口製剤の代替療法〉
  • レベチラセタムの経口投与から本剤に切り替える場合:

    通常、レベチラセタム経口投与と同じ1日用量及び投与回数にて、1回量を15分かけて点滴静脈内投与する。

  • レベチラセタムの経口投与に先立ち本剤を投与する場合:

    成人:通常、成人にはレベチラセタムとして1日1000mgを1日2回に分け、1回量を15分かけて点滴静脈内投与する。

    小児:通常、4歳以上の小児にはレベチラセタムとして1日20mg/kgを1日2回に分け、1回量を15分かけて点滴静脈内投与する。ただし、体重50kg以上の小児では、成人と同じ用法・用量を用いること。

  • いずれの場合においても、症状により適宜増減できるが、1日最高投与量及び増量方法は以下のとおりとすること。

    成人:成人では1日最高投与量は3000mgを超えないこととし、増量は2週間以上の間隔をあけて1日用量として1000mg以下ずつ行う。

    小児:4歳以上の小児では1日最高投与量は60mg/kgを超えないこととし、増量は2週間以上の間隔をあけて1日用量として20mg/kg以下ずつ行う。ただし、体重50kg以上の小児では、成人と同じ投与量を用いること。

  • 〈てんかん重積状態〉

    通常、成人にはレベチラセタムとして1回1000~3000mgを静脈内投与(投与速度は2~5mg/kg/分で静脈内投与)するが、1日最大投与量は3000mgとする。

7. 用法及び用量に関連する注意

  • 〈効能共通〉
    1. 7.1 本剤は、希釈してから投与すること。
    2. 7.2 腎機能障害を有する成人患者に本剤を投与する場合は、下表に示すクレアチニンクリアランス値を参考として本剤の投与量及び投与間隔を調節すること。また、血液透析を受けている成人患者では、クレアチニンクリアランス値に応じた1日用量に加えて、血液透析を実施した後に本剤の追加投与を行うこと。なお、ここで示している用法及び用量はシミュレーション結果に基づくものであることから、患者ごとに慎重に観察しながら、用法及び用量を調節すること。また、腎機能障害を有する小児患者についても腎機能の程度に応じて、本剤の投与量及び投与間隔を調節するなど慎重に投与すること。,,,,

      クレアチニンクリアランス(mL/min)

      ≥80

      ≥50-<80

      ≥30-<50

      <30

      透析中の腎不全患者

      血液透析後の補充用量

      1日投与量

      1000~3000mg

      1000~2000mg

      500~1500mg

      500~1000mg

      500~1000mg

      通常投与量a)

      1回500mg
      1日2回

      1回500mg
      1日2回

      1回250mg
      1日2回

      1回250mg
      1日2回

      1回500mg
      1日1回

      250mg

      最高投与量a)

      1回1500mg
      1日2回

      1回1000mg
      1日2回

      1回750mg
      1日2回

      1回500mg
      1日2回

      1回1000mg
      1日1回

      500mg

      a)てんかん重積状態を除く

    3. 7.3 重度の肝機能障害のある患者では、肝臓でのクレアチン産生が低下しており、クレアチニンクリアランス値からでは腎機能障害の程度を過小評価する可能性があることから、より低用量から開始するとともに、慎重に症状を観察しながら用法及び用量を調節すること。,
  • 〈一時的に経口投与ができない患者におけるレベチラセタム経口製剤の代替療法〉
    1. 7.4 本剤を強直間代発作に対して使用する場合には、他の抗てんかん薬と併用すること。強直間代発作に対する本剤単独投与での臨床試験は実施していない。
    2. 7.5 点滴静脈内投与から経口投与に切り替える際の経口投与の用法及び用量は、点滴静脈内投与と同じ1日用量及び投与回数とすること。
    3. 7.6 経口投与が可能になった場合は速やかにレベチラセタム経口製剤に切り替えること。国内外の臨床試験において、5日間以上の点滴静脈内投与は実施していない。

8. 重要な基本的注意

  1. 8.1 連用中における投与量の急激な減量ないし投与中止により、てんかん発作の増悪又はてんかん重積状態があらわれることがあるので、レベチラセタムの投与を中止する場合には、少なくとも2週間以上かけて徐々に減量するなど慎重に行うこと。
  2. 8.2 眠気、注意力・集中力・反射運動能力等の低下が起こることがあるので、本剤投与中の患者には自動車の運転等、危険を伴う機械の操作に従事させないよう注意すること。
  3. 8.3 易刺激性、錯乱、焦燥、興奮、攻撃性等の精神症状があらわれ、自殺企図に至ることもあるので、本剤投与中は患者の状態及び病態の変化を注意深く観察すること。,,
  4. 8.4 患者及びその家族等に攻撃性、自殺企図等の精神症状発現の可能性について十分説明を行い、医師と緊密に連絡を取り合うよう指導すること。,,

9. 特定の背景を有する患者に関する注意

9.2 腎機能障害患者

  1. 9.2.1 腎機能障害のある患者

    ,

  2. 9.2.2 血液透析を受けている末期腎機能障害のある患者

    ,

9.3 肝機能障害患者

  1. 9.3.1 重度肝機能障害のある患者(Child-Pugh分類C)

    ,

9.5 妊婦

  1. 9.5.1 妊婦又は妊娠している可能性のある女性には、以下のようなリスクを考慮し治療上の有益性が危険性を上回ると判断される場合にのみ投与すること。
  • ヒトにおいて、妊娠中にレベチラセタムの血中濃度が低下したとの報告があり、第3トリメスター期間に多く、最大で妊娠前の60%となったとの報告がある。
  • ラットにおいて胎児移行性が認められている。
  • 動物実験において、ラットではヒトへの曝露量と同程度以上の曝露で骨格変異及び軽度の骨格異常の増加、成長遅延、児の死亡率増加が認められ、ウサギでは、ヒトへの曝露量の4~5倍の曝露で胚致死、骨格異常の増加及び奇形の増加が認められている。
  1. 9.5.2 *本剤を投与した妊婦から出生した児において、新生児薬物離脱症候群があらわれることがある。

9.6 授乳婦

治療上の有益性及び母乳栄養の有益性を考慮し、授乳の継続又は中止を検討すること。
ヒト乳汁中へ移行することが報告されている。

9.7 小児等

低出生体重児、新生児、乳児、4歳未満の幼児に対する国内臨床試験は実施していない。生後1ヵ月以上16歳未満での国内臨床試験は経口剤に限られる。

9.8 高齢者

クレアチニンクリアランス値を参考に投与量、投与間隔を調節するなど慎重に投与すること。高齢者では腎機能が低下していることが多い。,,

11. 副作用

次の副作用があらわれることがあるので、観察を十分に行い、異常が認められた場合には投与を中止するなど適切な処置を行うこと。

11.1 重大な副作用

  1. 11.1.1 中毒性表皮壊死融解症(Toxic Epidermal Necrolysis:TEN)、皮膚粘膜眼症候群(Stevens-Johnson症候群)(いずれも頻度不明)

    発熱、紅斑、水疱・びらん、そう痒、咽頭痛、眼充血、口内炎等の異常が認められた場合には投与を中止し、適切な処置を行うこと。

  2. 11.1.2 薬剤性過敏症症候群(頻度不明)

    初期症状として発疹、発熱がみられ、更に肝機能障害、リンパ節腫脹、白血球増加、好酸球増多、異型リンパ球出現等を伴う遅発性の重篤な過敏症状があらわれることがある。なお、ヒトヘルペスウイルス6(HHV-6)等のウイルスの再活性化を伴うことが多く、投与中止後も発疹、発熱、肝機能障害等の症状が再燃あるいは遷延化することがあるので注意すること2)

  3. 11.1.3 重篤な血液障害(頻度不明)

    汎血球減少、無顆粒球症、白血球減少、好中球減少、血小板減少があらわれることがある。

  4. 11.1.4 肝不全、肝炎(いずれも頻度不明)

    肝不全、肝炎等の重篤な肝障害があらわれることがある。

  5. 11.1.5 膵炎(頻度不明)

    激しい腹痛、発熱、嘔気、嘔吐等の症状があらわれたり、膵酵素値の上昇が認められた場合には投与を中止し、適切な処置を行うこと。

  6. 11.1.6 攻撃性、自殺企図(いずれも1%未満)

    易刺激性、錯乱、焦燥、興奮、攻撃性等の精神症状があらわれ、自殺企図に至ることもある。,,

  7. 11.1.7 横紋筋融解症(頻度不明)

    筋肉痛、脱力感、CK上昇、血中及び尿中ミオグロビン上昇等があらわれた場合には投与を中止し、適切な処置を行うこと。

  8. 11.1.8 急性腎障害(頻度不明)
  9. 11.1.9 悪性症候群(頻度不明)

    発熱、筋強剛、血清CK上昇、頻脈、血圧の変動、意識障害、発汗過多、白血球の増加等があらわれた場合には投与を中止し、体冷却、水分補給、呼吸管理等の適切な処置を行うこと。また、ミオグロビン尿を伴う腎機能の低下がみられることがある。

11.2 その他の副作用

3%以上

1~3%未満

1%未満

頻度不明

精神神経系

浮動性めまい(10.4%)、頭痛(11.8%)、不眠症、傾眠(27.9%)

感覚鈍麻、気分変動、振戦、易刺激性、痙攣、抑うつ

激越、健忘、注意力障害、幻覚、運動過多、記憶障害、錯感覚、思考異常、平衡障害、感情不安定、異常行動、協調運動異常、怒り、ジスキネジー、不安、体位性めまい、睡眠障害、緊張性頭痛、精神病性障害、パニック発作、譫妄

錯乱状態、敵意、気分動揺、神経過敏、人格障害、精神運動亢進、舞踏アテトーゼ運動、嗜眠、てんかん増悪、強迫性障害

複視、結膜炎

霧視、眼精疲労、眼そう痒症、麦粒腫

血液

好中球数減少

貧血、血中鉄減少、鉄欠乏性貧血、血小板数減少、白血球数増加、白血球数減少

循環器

心電図QT延長、高血圧

消化器

腹痛、便秘、下痢、胃腸炎、悪心、口内炎、嘔吐、齲歯

歯肉炎、痔核、胃不快感、歯痛

消化不良、口唇炎、歯肉腫脹、歯周炎

肝臓

ALP増加

肝機能異常

泌尿・生殖器

膀胱炎、尿中ブドウ糖陽性、尿中血陽性、尿中蛋白陽性、月経困難症

頻尿

呼吸器

鼻咽頭炎(30.2%)、咽喉頭疼痛、上気道の炎症

気管支炎、咳嗽、鼻漏、咽頭炎、インフルエンザ、鼻炎

鼻出血、肺炎

代謝及び栄養

食欲不振

皮膚

湿疹

皮膚炎、そう痒症、発疹、ざ瘡

脱毛症、単純ヘルペス、帯状疱疹、白癬感染

多形紅斑、血管性浮腫

筋骨格系

背部痛

肩痛、筋肉痛、筋骨格硬直、関節痛

頸部痛、四肢痛、筋力低下

感覚器

耳鳴

回転性めまい

その他

倦怠感、発熱、体重減少、注射部位炎症、注射部位疼痛、注射部位腫脹

血中トリグリセリド増加、胸痛、体重増加

無力症、疲労、末梢性浮腫、抗痙攣剤濃度増加

事故による外傷(皮膚裂傷等)

13. 過量投与

  1. 13.1 症状

    外国の市販後報告において、レベチラセタムを一度に15~140g服用した例があり、傾眠、激越、攻撃性、意識レベルの低下、呼吸抑制及び昏睡が報告されている。

  2. 13.2 処置

    本剤は血液透析により除去可能であり、発現している症状の程度に応じて血液透析の実施を考慮すること。

14. 適用上の注意

14.1 薬剤調製時の注意

  1. 14.1.1 本剤の1回投与量(500~1500mg)を100mLの生理食塩液、乳酸リンゲル液又は5%ブドウ糖注射液で希釈すること。小児では、成人での希釈濃度を目安に希釈液量の減量を考慮すること。
  2. 14.1.2 希釈後は、速やかに使用すること。
  3. 14.1.3 希釈後、変色又は溶液中に異物を認める場合は使用しないこと。

15. その他の注意

15.1 臨床使用に基づく情報

  1. 15.1.1 海外で実施された本剤を含む複数の抗てんかん薬における、てんかん、精神疾患等を対象とした199のプラセボ対照臨床試験の検討結果において、自殺念慮及び自殺企図の発現のリスクが、抗てんかん薬の服用群でプラセボ群と比較して約2倍高く(抗てんかん薬服用群:0.43%、プラセボ群:0.24%)、抗てんかん薬の服用群では、プラセボ群と比べ1000人あたり1.9人多いと計算された(95%信頼区間:0.6-3.9)。また、てんかん患者のサブグループでは、プラセボ群と比べ1000人あたり2.4人多いと計算されている。,,
  2. 15.1.2 外国人成人てんかん患者1208例を対象としたプラセボ対照臨床試験の併合解析において、非精神病性行動症状の有害事象(攻撃性、激越、怒り、不安、無力感、離人症、抑うつ、情動不安定、敵意、運動過多、易刺激性、神経過敏、神経症、人格障害)の発現率は本剤群で13.3%、プラセボ群で6.2%であった。同様に、外国人小児てんかん患者(4~16歳)198例を対象としたプラセボ対照臨床試験における当該有害事象の発現率は本剤群で37.6%、プラセボ群で18.6%であった。
    また、外国人小児てんかん患者(4~16歳)98例を対象とした認知機能及び行動に対する影響を評価するプラセボ対照臨床試験において、探索的な検討であるが、プラセボ群と比較して攻撃的行動の悪化が示唆された。

16. 薬物動態

16.1 血中濃度

  1. 16.1.1 成人
    1. (1) 単回投与及び反復投与

      健康成人にレベチラセタム1500mgを15分間にて単回点滴静脈内投与及び1日2回4.5日間反復点滴静脈内投与したとき、レベチラセタムの薬物動態パラメータは以下のとおりであった3),4)

      薬物動態パラメータ

      単回投与
      (N=16)

      反復投与
      (N=16)

      Cmax(μg/mL)

      108.7[17.5]

      109.0[17.3]

      Tmax(hr)

      0.25(0.25-0.25)

      0.25(0.25-0.25)

      AUC0-12hr(μg・hr/mL)

      390.8[10.0]

      AUC0-∞(μg・hr/mL)

      437.3[11.7]

      T1/2(hr)

      7.21[11.9]

      CL(L/hr)1)

      3.43[11.7]

      3.84[10.0]

      幾何平均値[CV(%)]、Tmaxは中央値(最小値-最大値)

      1) 反復投与ではCLss

      Cmax:最高血中濃度 Tmax:最高血中濃度到達時間

      AUC:血中薬物濃度-時間曲線下面積 T1/2:消失半減期

      CL:全身クリアランス

    2. (2) 点滴静脈内投与と経口投与の比較

      健康成人25例にレベチラセタム1500mgを15分間点滴静脈内投与又は経口投与したとき、レベチラセタムの薬物動態パラメータは以下のとおりであった。経口投与時と比較して、点滴静脈内投与時のCmaxは約1.6倍高く、AUC及びT1/2は類似していた。なお、レベチラセタム経口投与時の生物学的利用率は約100%であった5)

      薬物動態パラメータ

      点滴静脈内投与
      (N=25)

      経口投与
      (N=25)

      幾何平均比2)
      (90%信頼区間)

      Cmax(μg/mL)

      97.0[27.6]

      58.9[37.0]

      1.64(1.47-1.83)

      AUC0-t(μg・hr/mL)

      472.3[15.4]

      487.4[15.9]

      0.97(0.95-0.99)

      Tmax(hr)

      0.25(0.17-0.27)

      0.75(0.50-3.00)

      T1/2(hr)

      7.11[11.7]

      7.23[12.7]

      幾何平均値[CV(%)]、Tmaxでは中央値(最小値-最大値)

      2) 点滴静脈内投与/経口投与

  2. 16.1.2 小児
    1. (1) 小児てんかん患者

      小児てんかん患者(計49例:生後1ヵ月~4歳未満17例、4~16歳未満32例)から収集した血漿中レベチラセタム濃度データを用いて、レベチラセタム15分間点滴静脈内投与後の薬物動態を検討した。レベチラセタム投与時の血漿中レベチラセタム濃度は、レベチラセタム経口投与時と同程度であった。また、レベチラセタムの母集団薬物動態解析の結果、全身クリアランスに対して体重及び腎機能成熟度、分布容積に対して体重が統計学的に有意かつ臨床的に意味のある因子として推定された6)(外国人データ)。

    2. (2) 母集団薬物動態解析(経口剤における試験成績)

      小児(4~16歳)及び成人(16~55歳)のてんかん患者から得られた血漿中レベチラセタム濃度データを用いて、母集団薬物動態解析を行った。その結果、CL/Fに対して体重及び併用抗てんかん薬、V/Fに対して体重が統計学的に有意かつ臨床的に意味のある因子として推定された。小児及び成人てんかん患者の血漿中薬物濃度をシミュレーションした結果、小児てんかん患者に10~30mg/kgを1日2回投与した際の血漿中薬物濃度は、成人てんかん患者に500~1500mg1日2回投与した際と同様と予測された7)

16.3 分布

健康成人にレベチラセタム1500mgを単回点滴静脈内投与したときの分布容積の平均値は35.8L(0.54L/kg)であり3)、体内総水分量に近い値であった。in vitro及びex vivo試験8)の結果、レベチラセタム及び主代謝物であるucb L057の血漿たん白結合率は、10%未満である9)

16.4 代謝

レベチラセタムは、肝チトクロームP450系代謝酵素では代謝されない。主要な代謝経路はアセトアミド基の酵素的加水分解であり、これにより生成されるのは主代謝物のucb L057(カルボキシル体)である。なお、本代謝物に薬理学的活性はない9),10)
in vitro試験において、レベチラセタム及びucb L057はCYP(3A3/4、2A6、2C9、2C19、2D6、2E1及び1A2)、UDP-グルクロン酸転移酵素(UGT1A1及びUGT1A6)及びエポキシドヒドロラーゼに対して阻害作用を示さなかった。また、バルプロ酸ナトリウムのグルクロン酸抱合にも影響を及ぼさなかった11)

16.5 排泄

健康成人にレベチラセタム1500mgを単回点滴静脈内投与したときの全身クリアランスの平均値は0.87mL/min/kgであった3)
健康成人(各投与量6例)にレベチラセタム250~5000mg3)を空腹時に単回経口投与したとき12)、投与48時間後までの投与量に対する尿中排泄率の平均値は、未変化体として56.3~65.3%、ucb L057として17.7~21.9%であった。外国人健康成人男性4例に14C-レベチラセタム500mgを単回経口投与したとき8),13)、投与48時間後までに投与量の92.8%の放射能が尿中から、0.1%が糞中から回収された。投与48時間後までの投与量に対する尿中排泄率は、未変化体として65.9%、ucb L057として23.7%であった。レベチラセタムの排泄には糸球体ろ過及び尿細管再吸収が、ucb L057には糸球体ろ過と能動的尿細管分泌が関与している9)

3) 国内で承認された本剤の1日最高投与量は3000mgである。

16.6 特定の背景を有する患者

  1. 16.6.1 腎機能障害患者(経口剤における試験成績)

    腎機能の程度の異なる成人被験者を対象に、レベチラセタムを単回経口投与したとき、見かけの全身クリアランスは腎機能正常者(CLCR:≥80mL/min/1.73m2)と比較して、軽度低下者(CLCR:50~<80mL/min/1.73m2)では40%、中等度低下者(CLCR:30~<50mL/min/1.73m2)で52%、重度低下者(CLCR:<30mL/min/1.73m2)で61%低下した。
    レベチラセタムの腎クリアランスはクレアチニンクリアランスと有意に相関した14),,,

    薬物動態パラメータ

    腎機能の程度

    正常
    (N=6)

    軽度
    (N=6)

    中等度
    (N=6)

    重度
    (N=6)

    CLCR(mL/min/1.73m2

    ≥80

    50-<80

    30-<50

    <30

    投与量

    500mg

    500mg

    250mg

    250mg

    レベチラセタム

    Cmax(μg/mL)

    21.9[31.2]

    15.5[25.3]

    10.8[24.3]

    9.2[30.4]

    Tmax(hr)

    0.5(0.5-2.0)

    1(0.5-2.0)

    0.5(0.5-1.0)

    0.5(0.5-1.0)

    AUC0-t(μg・hr/mL)

    166[16.5]

    248[16.9]

    169[16.5]

    212[19.1]

    T1/2(hr)

    7.6[6.9]

    12.6[11.3]

    15.5[17.5]

    19.7[26.5]

    CL/F(mL/min/1.73m2

    51.5[7.8]

    30.9[14.6]

    24.6[15.0]

    20.3[20.9]

    CLR(mL/min/1.73m2

    31.6[28.5]4)

    15.3[22.3]

    9.7[23.4]

    6.0[53.6]

    ucb L057

    Cmax(μg/mL)

    0.36[9.4]

    0.75[25.8]

    0.57[26.0]

    1.06[29.3]

    Tmax(hr)

    5.0(2.0-8.0)

    8.0(6.0-12.0)

    12.0(8.0-12.0)

    24.0(12.0-24.0)

    AUC0-t(μg・hr/mL)

    5.9[9.7]

    22.6[45.9]

    18.7[53.4]

    57.8[57.3]

    T1/2(hr)

    12.4(11.3-15.3)

    19.0(17.3-19.9)

    20.3(19.7-23.6)

    26.8(17.2-33.3)

    幾何平均値[CV(%)]、Tmax及びucb L057のT1/2は中央値(最小値-最大値)

    CL/F:見かけの全身クリアランス CLR:腎クリアランス

  2. 16.6.2 血液透析を受けている末期腎機能障害患者(経口剤における試験成績)

    血液透析を受けている末期腎機能障害の成人被験者にレベチラセタム500mgを透析開始44時間前に単回経口投与したとき、レベチラセタムの非透析時の消失半減期は34.7時間であったが、透析中は2.3時間に短縮した。レベチラセタム及びucb L057の透析による除去効率は高く、81%及び87%であった14),,

    薬物動態パラメータ

    レベチラセタム

    ucb L057

    Cmax(μg/mL)

    18.7[8.1]

    8.84[7.0]

    Tmax(hr)

    0.7(0.43-0.98)

    44.0(44.0-44.0)

    T1/2(hr)

    34.7(29.2-38.6)

    AUC0-44hr(μg・hr/mL)

    462[10.5]

    230[7.8]

    CL/F(mL/min/1.73m2

    10.9(9.4-13.1)

    ダイアライザーの除去効率(%)

    81[7.5]

    87[7.2]

    血液透析中の消失半減期(hr)

    2.3(2.1-2.6)

    2.1(1.9-2.6)

    血液透析クリアランス(mL/min)

    115.4[8.1]

    122.9[7.1]

    N=6、幾何平均値[CV(%)]

    Tmax、T1/2、CL/F、血液透析中の消失半減期は中央値(最小値-最大値)

  3. 16.6.3 肝機能障害患者(経口剤における試験成績)

    軽度及び中等度(Child-Pugh分類A及びB)の成人肝機能低下者にレベチラセタムを単回経口投与したとき、レベチラセタムの全身クリアランスに変化はみられなかった。重度(Child-Pugh分類C)の肝機能低下者では、全身クリアランスが健康成人の約50%となった15),16)(外国人データ)。,

    薬物動態パラメータ

    健康成人
    (N=5)

    肝機能低下者

    Child-Pugh
    分類A
    (N=5)

    Child-Pugh
    分類B
    (N=6)

    Child-Pugh
    分類C
    (N=5)

    CLCR(mL/min/1.73m25)

    93.1±13.8

    120.8±11.9

    99.6±13.2

    63.5±13.5

    レベチラセタム

    Cmax(μg/mL)

    23.1±1.2

    23.6±4.9

    24.7±3.3

    24.1±3.8

    Tmax(hr)

    0.8±0.3

    0.6±0.2

    0.5±0.0

    1.6±1.5

    AUC(μg・hr/mL)

    234±49

    224±25

    262±58

    595±220

    T1/2(hr)

    7.6±1.0

    7.6±0.7

    8.7±1.5

    18.4±7.2

    CL/F(mL/min/1.73m2

    63.4±9.7

    62.5±8.7

    55.4±10.5

    29.2±13.5

    平均値±SD

    5) レベチラセタム投与後の値

  4. 16.6.4 高齢者(経口剤における試験成績)

    高齢者におけるレベチラセタムの薬物動態について、クレアチニンクリアランスが30~71mL/minの被験者16例(年齢61~88歳)を対象として評価した結果、高齢者では消失半減期が約40%延長し、10~11時間となった17),18)(外国人データ)。,

16.7 薬物相互作用

  1. 16.7.1 フェニトイン(経口剤における試験成績)

    フェニトインの単剤治療で十分にコントロールできない部分発作又は二次性全般化強直間代発作を有する成人てんかん患者6例を対象に、レベチラセタム3000mg/日を併用投与したとき、フェニトインの血清中濃度や薬物動態パラメータに影響を及ぼさなかった。フェニトインもレベチラセタムの薬物動態に影響を及ぼさなかった19),20)(外国人データ)。

  2. 16.7.2 バルプロ酸ナトリウム(経口剤における試験成績)

    健康成人16例を対象に、バルプロ酸ナトリウムの定常状態下においてレベチラセタムを1500mg単回経口投与したとき、バルプロ酸ナトリウムはレベチラセタムの薬物動態に影響を及ぼさなかった。レベチラセタムもバルプロ酸ナトリウムの薬物動態に影響を及ぼさなかった21)(外国人データ)。

  3. 16.7.3 経口避妊薬(エチニルエストラジオール及びレボノルゲストレルの合剤)(経口剤における試験成績)

    健康成人女性18例を対象に、経口避妊薬(エチニルエストラジオール0.03mg及びレボノルゲストレル0.15mgの合剤を1日1回)及びレベチラセタムを1回500mg1日2回21日間反復経口投与したとき、レベチラセタムはエチニルエストラジオール及びレボノルゲストレルの薬物動態パラメータに影響を及ぼさなかった。各被験者の血中プロゲステロン及び黄体形成ホルモン濃度は低濃度で推移し、経口避妊薬の薬効に影響を及ぼさなかった。経口避妊薬は、レベチラセタムの薬物動態に影響を及ぼさなかった22),23)(外国人データ)。

  4. 16.7.4 ジゴキシン(経口剤における試験成績)

    健康成人11例を対象に、ジゴキシン(1回0.25mgを1日1回)及びレベチラセタム1回1000mg1日2回7日間反復経口投与したとき、レベチラセタムはジゴキシンの薬物動態パラメータに影響を及ぼさなかった。ジゴキシンもレベチラセタムの薬物動態に影響を及ぼさなかった24)(外国人データ)。

  5. 16.7.5 ワルファリン(経口剤における試験成績)

    プロトロンビン時間の国際標準比(INR)を目標値の範囲内に維持するよう、ワルファリンの投与を継続的に受けている健康成人26例を対象に、ワルファリン(2.5~7.5mg/日)及びレベチラセタム1回1000mg1日2回7日間反復経口投与したとき、レベチラセタムはワルファリン濃度に影響を及ぼさず、プロトロンビン時間も影響を受けなかった。ワルファリンもレベチラセタムの薬物動態に影響を及ぼさなかった25)(外国人データ)。

  6. 16.7.6 プロベネシド(経口剤における試験成績)

    健康成人23例を対象に、プロベネシド(1回500mgを1日4回)及びレベチラセタム1回1000mg1日2回4日間反復経口投与したとき、プロベネシドはレベチラセタムの薬物動態には影響を及ぼさなかったが、主代謝物ucb L057の腎クリアランスを61%低下させた26)(外国人データ)。

17. 臨床成績

17.1 有効性及び安全性に関する試験

  • 〈てんかん患者の部分発作(二次性全般化発作を含む)〉
    1. 17.1.1 国内第Ⅱ相試験(経口剤から注射剤への切り替え試験)

      部分発作を有する16歳以上のてんかん患者16例を対象に、レベチラセタム1000~3000mg/日を経口投与から15分間点滴静脈内投与(4日間、1日2回)に切り替えたとき、経口投与時及び点滴静脈内投与時における1日あたりの部分発作回数の中央値(第1四分位点-第3四分位点)は、0.59(0.04-1.12)回及び0.38(0.00-1.00)回であった27)
      副作用発現頻度は18.8%(3/16例)であった。副作用は、注射部位炎症6.3%(1/16例)、注射部位疼痛6.3%(1/16例)、注射部位腫脹6.3%(1/16例)であった。

    2. 17.1.2 国内第Ⅲ相試験(成人、単剤療法)

      最近てんかんと診断された部分発作を有する16歳以上の患者を対象として、レベチラセタム1000~2000mg/日(1000mg/日を投与中に発作がみられた場合は2000mg/日に増量)又は3000mg/日(発作の有無にかかわらず、3000mg/日に強制漸増)を単剤にて経口投与したとき、主要評価項目である1000~2000mg/日群の最終評価用量における6ヵ月間発作消失患者の割合は、73.8%(45/61例)であった。1000~2000mg/日群の最終評価用量での1年間発作消失患者の割合は59.0%(36/61例)であった。また、3000mg/日群における6ヵ月間発作消失患者の割合は22.2%(2/9例)、1年間発作消失患者の割合は11.1%(1/9例)であった28)
      副作用発現頻度は54.9%(39/71例)であった。主な副作用は傾眠32.4%(23/71例)であった。

    3. 17.1.3 国内第Ⅱ/Ⅲ相試験(成人、併用療法)

      レベチラセタム1000mg/日、3000mg/日及びプラセボを12週間経口投与(既存の抗てんかん薬との併用)した場合、主要評価項目である週あたりの部分発作回数減少率は下表のとおりであり、プラセボ群とレベチラセタム群(1000及び3000mg/日)並びにレベチラセタム1000mg/日群の間で統計学的な有意差が認められた(それぞれp<0.001並びにp=0.006、投与群を因子、観察期間における対数変換した週あたりの部分発作回数を共変量とする共分散分析)。なお、各群における50%レスポンダーレート(週あたりの部分発作回数が観察期間と比べて50%以上改善した患者の割合)は、プラセボ群13.8%(9/65例)、1000mg/日群31.3%(20/64例)、3000mg/日群28.6%(18/63例)であった29)

      例数6)

      週あたりの部分発作回数7)

      プラセボ群に対する減少率8),9)
      [95%信頼区間]
      (p値)

      観察期間

      評価期間

      減少率(%)

      プラセボ群

      65

      2.73

      2.67

      6.11

      1000mg/日群

      64

      3.58

      2.25

      19.61

      20.9
      [10.2, 30.4]
      (p<0.001)

      18.8
      [6.0, 29.9]
      (p=0.006)

      3000mg/日群

      63

      3.44

      2.08

      27.72

      23.0
      [10.7, 33.6]

      6) 観察期間及び評価期間の両データが揃っている症例数

      7) 中央値

      8) 対数化調整済平均値に基づく減少率

      9) 投与群を因子、観察期間における対数変換した週あたりの部分発作回数を共変量とする共分散分析

      増量期間及び評価期間の副作用発現頻度は1000mg/日投与群で56.9%(41/72例)、3000mg/日投与群で54.9%(39/71例)であった。主な副作用は1000mg/日投与群で、傾眠13.9%(10/72例)、鼻咽頭炎8.3%(6/72例)、浮動性めまい8.3%(6/72例)、3000mg/日投与群で傾眠9.9%(7/71例)、鼻咽頭炎8.5%(6/71例)、浮動性めまい5.6%(4/71例)であった。

    4. 17.1.4 国内第Ⅲ相試験(成人、併用療法)

      レベチラセタム500mg/日、1000mg/日、2000mg/日、3000mg/日及びプラセボを12週間経口投与(既存の抗てんかん薬との併用)した場合、評価期間における観察期間からの週あたりの部分発作回数減少率(中央値)は、それぞれ12.92%、18.00%、11.11%、31.67%及び12.50%であり、主要評価項目であるレベチラセタム1000mg/日群、3000mg/日群及びプラセボ群の3群間での評価期間における観察期間からの週あたりの部分発作回数減少率に、統計学的な有意差は認められなかった(p=0.067、Kruskal-Wallis検定)。なお、各群における50%レスポンダーレートは、プラセボ群11.6%(8/69例)、500mg/日群19.1%(13/68例)、1000mg/日群17.6%(12/68例)、2000mg/日群16.2%(11/68例)、3000mg/日群33.3%(22/66例)であった30)
      増量期間及び評価期間の副作用発現頻度は、500mg/日投与群60.6%(43/71例)、1000mg/日投与群61.4%(43/70例)、2000mg/日投与群58.6%(41/70例)、3000mg/日投与群64.3%(45/70例)であった。主な副作用は500mg/日投与群で、鼻咽頭炎14.1%(10/71例)、下痢9.9%(7/71例)、浮動性めまい7.0%(5/71例)、傾眠7.0%(5/71例)、1000mg/日投与群で、鼻咽頭炎18.6%(13/70例)、傾眠10.0%(7/70例)、2000mg/日投与群で、傾眠17.1%(12/70例)、鼻咽頭炎15.7%(11/70例)、挫傷7.1%(5/70例)、3000mg/日投与群で鼻咽頭炎21.4%(15/70例)、傾眠17.1%(12/70例)、好中球数減少7.1%(5/70例)であった。

    5. 17.1.5 国内長期継続投与試験

      国内第Ⅱ/Ⅲ相試験(成人、併用療法)を完了した患者151例を対象として、レベチラセタム1000~3000mg/日を1日2回に分けて経口投与したときの部分発作回数は以下のとおりであった31),32)
      本試験に参加した被験者のうち、76例がその後計画された継続試験に移行し本試験を終了した(24~36ヵ月で1例、36~48ヵ月で47例、48ヵ月以降で28例)。

      副作用発現頻度は92.1%(139/151例)であった。主な副作用は鼻咽頭炎55.6%(84/151例)、頭痛24.5%(37/151例)、傾眠22.5%(34/151例)であった。

    6. 17.1.6 国内第Ⅲ相試験(小児)

      既存の抗てんかん薬で十分な発作抑制効果が得られない部分発作を有する4歳以上16歳未満の小児てんかん患者73例を対象として、レベチラセタム40又は60mg/kg/日(体重50kg以上は2000又は3000mg/日)を1日2回に分けて14週間経口投与(既存の抗てんかん薬との併用)したとき、主要評価項目である観察期間からの週あたりの部分発作回数減少率の中央値(95%信頼区間)は、43.21%(26.19%,52.14%)であり、発作頻度の減少が認められた。
      また、小児てんかん患者55例に14週以降もレベチラセタム20~60mg/kg/日(体重50kg以上は1000~3000mg/日)を1日2回に分けて継続投与したときの部分発作回数は以下のとおりであった33)

      副作用発現頻度は58.9%(43/73例)であった。主な副作用は、傾眠42.5%(31/73例)であった。

  • 〈他の抗てんかん薬で十分な効果が認められないてんかん患者の強直間代発作に対する抗てんかん薬との併用療法〉
    1. 17.1.7 国際共同第Ⅲ相試験(成人)

      既存の抗てんかん薬で十分な発作抑制効果が得られない強直間代発作を有する16歳以上のてんかん患者251例(日本人43例を含む)を対象として、レベチラセタム1000若しくは3000mg/日(1000mg/日から投与を開始し、投与8週までに発作がみられた場合は2週間隔で1000mg/日ずつ3000mg/日に増量)又はプラセボを28週間経口投与(既存の抗てんかん薬との併用)したとき、主要評価項目である観察期間からの週あたりの強直間代発作回数減少率は下表のとおりであり、プラセボ群とレベチラセタム群の間で統計学的な有意差が認められた(p<0.0001、投与群及び国を因子、観察期間における週あたりの強直間代発作回数を共変量とする共分散分析)34)

      例数10)

      週あたりの強直間代発作回数11)

      プラセボ群との差12)
      [95%信頼区間]
      (p値)

      観察期間

      治療期間

      減少率(%)

      プラセボ群

      109

      0.83

      0.65

      19.64

      56.13
      [44.02, 68.24]
      (p<0.0001)

      レベチラセタム群

      117

      0.89

      0.16

      76.98

      10) Full Analysis Set

      11) 中央値

      12) 投与群及び国を因子、観察期間における週あたりの強直間代発作回数を共変量とする共分散分析

      副作用発現頻度は23.8%(30/126例)であった。主な副作用は傾眠2.4%(3/126例)であった。また、主な臨床検査値異常(副作用)は、尿中蛋白陽性7.1%(9/126例)、血小板数減少4.0%(5/126例)、好中球数減少3.2%(4/126例)であった。

    2. 17.1.8 国内第Ⅲ相試験(小児)

      既存の抗てんかん薬で十分な発作抑制効果が得られない強直間代発作を有する4歳以上16歳未満の小児てんかん患者13例を対象として、レベチラセタム40又は60mg/kg/日(体重50kg以上は2000又は3000mg/日)を24週間経口投与(既存の抗てんかん薬との併用)したとき、主要評価項目である観察期間からの週あたりの強直間代発作回数減少率の中央値(95%信頼区間)は、56.52%(−15.74%,98.18%)であった35)
      副作用発現頻度は38.5%(5/13例)であった。副作用は傾眠23.1%(3/13例)、運動緩慢7.7%(1/13例)、頭痛7.7%(1/13例)、下痢7.7%(1/13例)であった。また、臨床検査値異常(副作用)は、心電図QT延長7.7%(1/13例)であった。

    3. 17.1.9 長期継続投与試験(成人及び小児)

      国際共同第Ⅲ相試験若しくは小児国内第Ⅲ相試験を完了、又は国際共同第Ⅲ相試験を効果不十分のため投与20週以降に中止した日本人患者44例を対象として、成人(16歳以上)ではレベチラセタム1000~3000mg/日、小児ではレベチラセタム20~60mg/kg/日(体重50kg以上は1000~3000mg/日)を経口投与したとき、強直間代発作回数は以下のとおりであった36),37)

      副作用発現頻度は38.6%(17/44例)であった。主な副作用は傾眠11.4%(5/44例)であった。また、臨床検査値異常(副作用)は、心電図QT延長4.5%(2/44例)、アラニンアミノトランスフェラーゼ増加2.3%(1/44例)、アスパラギン酸アミノトランスフェラーゼ増加2.3%(1/44例)、C-反応性蛋白増加2.3%(1/44例)、体重増加2.3%(1/44例)であった。

18. 薬効薬理

18.1 作用機序

レベチラセタムは、各種受容体及び主要なイオンチャネルとは結合しないが38)、神経終末のシナプス小胞たん白質2A(SV2A)との結合38),39)、N型Ca2+チャネル阻害40)、細胞内Ca2+の遊離抑制41)、GABA及びグリシン作動性電流に対するアロステリック阻害の抑制42)、神経細胞間の過剰な同期化の抑制43)などが確認されている。SV2Aに対する結合親和性と各種てんかん動物モデルにおける発作抑制作用との間には相関が認められることから、レベチラセタムとSV2Aの結合が、発作抑制作用に寄与しているものと考えられる44)

18.2 てんかん発作に対する作用

古典的スクリーニングモデルである最大電撃けいれんモデル及び最大ペンチレンテトラゾール誘発けいれんモデルなどでは、けいれん抑制作用を示さなかった45)が、角膜電気刺激キンドリングマウス45)、ペンチレンテトラゾールキンドリングマウス45)、ピロカルピン又はカイニン酸を投与のラット45)、ストラスブール遺伝性欠神てんかんラット(GAERS)46)、聴原性発作マウス47)などの部分発作、全般発作を反映したてんかん動物モデルにおいて、発作抑制作用を示した。

18.3 抗てんかん原性作用

扁桃核電気刺激キンドリングラットにおいて、キンドリング形成を抑制した48)

18.4 中枢神経に対するその他の作用

ラットのMorris水迷路試験において認知機能に影響を及ぼさず49)、ローターロッド試験では運動機能に影響を及ぼさなかった45)。また、中大脳動脈結紮ラットにおいて神経細胞保護作用を示した50)

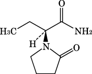
19. 有効成分に関する理化学的知見

一般的名称

レベチラセタム(Levetiracetam)

化学名

(2S)-2-(2-Oxopyrrolidine-1-yl)butyramide

分子式

C8H14N2O2

分子量

170.21

性状

白色~淡灰白色の結晶性の粉末である。
水に極めて溶けやすく、アセトニトリルにやや溶けやすく、ヘキサンにほとんど溶けない。

化学構造式

22. 包装

5mL[アンプル5管]

23. 主要文献

1) てんかん診療ガイドライン2018 追補版

2) 厚生労働省:重篤副作用疾患別対応マニュアル 薬剤性過敏症症候群

3) 日本人健康成人におけるレベチラセタム注射剤の単回及び反復投与時の薬物動態(イーケプラ点滴静注:2014年7月4日承認、申請資料概要 2.7.6.3)

4) レベチラセタム静脈内単回投与及び反復投与時の薬物動態(イーケプラ点滴静注:2014年7月4日承認、申請資料概要 2.7.2.5)

5) 日本人健康成人におけるレベチラセタム錠及び注射剤の単回投与時の比較(イーケプラ点滴静注:2014年7月4日承認、申請資料概要 2.7.6.1)

6) 外国人小児てんかん患者におけるレベチラセタムの母集団薬物動態解析(イーケプラ点滴静注:2014年7月4日承認、申請資料概要 2.7.2.2)

7) Toublanc N, et al.:Drug Metab Pharmacokinet.2014;29:61-68

8) Strolin Benedetti M, et al.:Eur J Clin Pharmacol.2003;59:621-630

9) 健康成人における薬物動態(イーケプラ錠:2010年7月23日承認、申請資料概要 2.7.2.3)

10) 代謝(イーケプラ錠:2010年7月23日承認、申請資料概要 2.4.3.3)

11) 薬物動態学的薬物相互作用(イーケプラ錠:2010年7月23日承認、申請資料概要 2.6.4.7)

12) 日本人健康成人におけるレベチラセタム単回投与時の薬物動態(イーケプラ錠:2010年7月23日承認、申請資料概要 2.7.6.3)

13) 14C-レベチラセタム単回経口投与時のマスバランス(イーケプラ点滴静注:2010年7月23日承認、申請資料概要 2.7.6.3)

14) Yamamoto J, et al.:Clin Drug Investig. 2014;34:819-828

15) Brockmöller J, et al.:Clin Pharmacol Ther. 2005;77:529-541

16) 肝機能低下者におけるレベチラセタムの薬物動態(イーケプラ錠:2010年7月23日承認、申請資料概要 2.7.6.4)

17) 高齢者(外国人)におけるレベチラセタム単回及び反復経口投与時の薬物動態(イーケプラ錠:2010年7月23日承認、申請資料概要 2.7.6.4)

18) 内因性要因を検討した薬物動態(イーケプラ錠:2010年7月23日承認、申請資料概要 2.5.3.4)

19) Browne T R, et al.:J Clin Pharmacol. 2000;40:590-595

20) てんかん患者におけるフェニトインの薬物動態に及ぼすレベチラセタム12週間投与の影響(イーケプラ錠:2010年7月23日承認、申請資料概要 2.7.6.5)

21) Coupez R, et al.:Epilepsia. 2003;44:171-178

22) Ragueneau-Majlessi I, et al.:Epilepsia. 2002;43:697-702

23) 健康成人女性における経口避妊薬の薬物動態に及ぼすレベチラセタムの影響(イーケプラ錠:2010年7月23日承認、申請資料概要 2.7.6.5)

24) Levy R H, et al.:Epilepsy Res. 2001;46:93-99

25) Ragueneau-Majlessi I, et al.:Epilepsy Res. 2001;47:55-63

26) レベチラセタム及び代謝物の薬物動態に及ぼすプロベネシドの影響(イーケプラ錠:2010年7月23日承認、申請資料概要 2.7.6.5)

27) 井上有史, 他:臨床精神薬理 2014;17:413-422

28) 日本における部分発作単剤療法の第Ⅲ相試験(イーケプラ錠/ドライシロップ/点滴静注:2015年2月20日承認、審査報告書)

29) 日本における部分発作併用療法のプラセボ対照比較試験(国内第Ⅱ/Ⅲ相試験(成人、併用療法))(イーケプラ錠:2010年7月23日承認、申請資料概要 2.7.6.7)

30) 日本における部分発作併用療法のプラセボ対照比較試験(国内第Ⅲ相試験(成人、併用療法))(イーケプラ錠:2010年7月23日承認、申請資料概要 2.7.6.7)

31) 八木和一, 他:てんかん研究 2012;29:441-454

32) 第Ⅱ/Ⅲ相試験の長期継続投与試験(イーケプラ錠:2010年7月23日承認、審査報告書)

33) 日本における部分発作併用療法の小児第Ⅲ相試験(イーケプラ錠/ドライシロップ:2013年5月31日承認、申請資料概要 2.7.6.4)

34) 日本及び中国における強直間代発作併用療法のプラセボ対照比較試験(イーケプラ錠/ドライシロップ/点滴静注:2016年2月29日承認、申請資料概要 2.7.6.1)

35) 日本における強直間代発作併用療法の小児第Ⅲ相試験(イーケプラ錠/ドライシロップ/点滴静注:2016年2月29日承認、申請資料概要 2.7.6.2)

36) 日本における強直間代発作併用療法の長期継続投与試験(イーケプラ錠/ドライシロップ/点滴静注:2016年2月29日承認、申請資料概要 2.7.6.2)

37) 長期継続投与試験(イーケプラ錠/ドライシロップ/点滴静注:2016年2月29日承認、審査報告書)

38) Noyer M, et al.:Eur J Pharmacol. 1995;286:137-146

39) Lynch B A, et al.:Proc Nat Acad Sci U.S.A. 2004;101:9861-9866

40) Lukyanetz E A, et al.:Epilepsia. 2002;43:9-18

41) Pisani A, et al.:Epilepsia. 2004;45:719-728

42) Rigo J M, et al.:Br J Pharmacol. 2002;136:659-672

43) Margineanu D G, et al.:Pharmacol Res. 2000;42:281-285

44) Kaminski R M, et al.:Neuropharmacology. 2008;54:715-720

45) Klitgaard H, et al.:Eur J Pharmacol. 1998;353:191-206

46) Gower A J, et al.:Epilepsy Res. 1995;22:207-213

47) Gower A J, et al.:Eur J Pharmacol. 1992;222:193-203

48) Löscher W, et al.:J Pharmacol Exp Ther. 1998;284:474-479

49) Lamberty Y, et al.:Epilepsy Behav. 2000;1:333-342

50) Hanon E, et al.:Seizure. 2001;10:287-293

24. 文献請求先及び問い合わせ先

共和薬品工業株式会社 お問い合わせ窓口

〒530-0005 大阪市北区中之島3-2-4

 0120-041-189
FAX 06-6121-2858

26. 製造販売業者等

26.1 製造販売元

共和薬品工業株式会社

大阪市北区中之島3-2-4

〒100-0013 東京都千代田区霞が関3-3-2 新霞が関ビル

画面を閉じる

Copyright © Pharmaceuticals and Medical Devices Agency, All Rights reserved.