医療用医薬品 詳細表示

ブロナンセリン錠2mg「アメル」/ブロナンセリン錠4mg「アメル」/ブロナンセリン錠8mg「アメル」/ブロナンセリン散2%「アメル」

処方せん医薬品

添付文書番号
企業コード
作成又は改訂年月
日本標準商品分類番号
薬効分類名
承認等
一般的名称
2.禁忌(次の患者には投与しないこと)
3.組成・性状
3.1組成
3.2製剤の性状
4.効能又は効果
5.効能又は効果に関連する注意
6.用法及び用量
7.用法及び用量に関連する注意
8.重要な基本的注意
9.特定の背景を有する患者に関する注意
9.1合併症・既往歴等のある患者
9.3肝機能障害患者
9.5妊婦
9.6授乳婦
9.7小児等
9.8高齢者
10.相互作用
10.1併用禁忌(併用しないこと)
10.2併用注意(併用に注意すること)
11.副作用
11.1重大な副作用
11.2その他の副作用
14.適用上の注意
15.その他の注意
15.1臨床使用に基づく情報
15.2非臨床試験に基づく情報
16.薬物動態
16.1血中濃度
16.2吸収
16.3分布
16.4代謝
16.5排泄
16.7薬物相互作用
16.8その他
17.臨床成績
17.1有効性及び安全性に関する試験
18.薬効薬理
18.1作用機序
18.2薬理作用
19.有効成分に関する理化学的知見
21.承認条件
22.包装
23.主要文献
24.文献請求先及び問い合わせ先
26.製造販売業者等

ブロナンセリン錠2mg「アメル」/ブロナンセリン錠4mg「アメル」/ブロナンセリン錠8mg「アメル」/ブロナンセリン散2%「アメル」

添付文書番号

1179048B1041_3_08

企業コード

672173

作成又は改訂年月

**2026年3月改訂(第4版)
2025年7月改訂

日本標準商品分類番号

871179

薬効分類名

抗精神病剤

承認等

ブロナンセリン錠2mg「アメル」

販売名コード

YJコード

1179048F1078

販売名英語表記

Blonanserin Tablets 「AMEL」

承認番号等

承認番号

23100AMX00243

販売開始年月

2019年6月

貯法・有効期間

貯法

室温保存

有効期間

3年

ブロナンセリン錠4mg「アメル」

販売名コード

YJコード

1179048F2074

販売名英語表記

Blonanserin Tablets 「AMEL」

承認番号等

承認番号

23100AMX00244

販売開始年月

2019年6月

貯法・有効期間

貯法

室温保存

有効期間

3年

ブロナンセリン錠8mg「アメル」

販売名コード

YJコード

1179048F3070

販売名英語表記

Blonanserin Tablets 「AMEL」

承認番号等

承認番号

23100AMX00245

販売開始年月

2019年6月

貯法・有効期間

貯法

室温保存

有効期間

3年

ブロナンセリン散2%「アメル」

販売名コード

YJコード

1179048B1041

販売名英語表記

Blonanserin Powder 「AMEL」

承認番号等

承認番号

23100AMX00239

販売開始年月

2019年6月

貯法・有効期間

貯法

室温保存

有効期間

3年

一般的名称

ブロナンセリン

2. 禁忌(次の患者には投与しないこと)

  1. 2.1 昏睡状態の患者[昏睡状態が悪化するおそれがある。]
  2. 2.2 バルビツール酸誘導体等の中枢神経抑制剤の強い影響下にある患者[中枢神経抑制作用が増強される。]
  3. 2.3 アドレナリンを投与中の患者(アドレナリンをアナフィラキシーの救急治療、又は歯科領域における浸潤麻酔もしくは伝達麻酔に使用する場合を除く)
  4. 2.4 **イトラコナゾール、ボリコナゾール、ミコナゾール(経口剤、口腔用剤、注射剤)、フルコナゾール、ホスフルコナゾール、ポサコナゾール、リトナビルを含む製剤、ダルナビル、アタザナビル、ホスアンプレナビル、エンシトレルビル、コビシスタットを含む製剤、ロナファルニブ、セリチニブを投与中の患者
  5. 2.5 本剤の成分に対し過敏症の既往歴のある患者

3. 組成・性状

3.1 組成

ブロナンセリン錠2mg「アメル」

有効成分1錠中、ブロナンセリン   2mgを含有する。
添加剤乳糖水和物、結晶セルロース、低置換度ヒドロキシプロピルセルロース、ヒドロキシプロピルセルロース、軽質無水ケイ酸、ステアリン酸マグネシウム

ブロナンセリン錠4mg「アメル」

有効成分1錠中、ブロナンセリン   4mgを含有する。
添加剤乳糖水和物、結晶セルロース、低置換度ヒドロキシプロピルセルロース、ヒドロキシプロピルセルロース、軽質無水ケイ酸、ステアリン酸マグネシウム

ブロナンセリン錠8mg「アメル」

有効成分1錠中、ブロナンセリン   8mgを含有する。
添加剤乳糖水和物、結晶セルロース、低置換度ヒドロキシプロピルセルロース、ヒドロキシプロピルセルロース、軽質無水ケイ酸、ステアリン酸マグネシウム

ブロナンセリン散2%「アメル」

有効成分1g中、ブロナンセリン   20mgを含有する。
添加剤乳糖水和物、結晶セルロース、ヒドロキシプロピルセルロース、ステアリン酸マグネシウム、スクラロース、軽質無水ケイ酸

3.2 製剤の性状

ブロナンセリン錠2mg「アメル」

剤形素錠
色調白色
外形表面
裏面
側面
大きさ直径約6.0mm
厚さ約2.4mm
質量約65.0mg
識別コードブロナンセリン 2 アメル

ブロナンセリン錠4mg「アメル」

剤形割線入り素錠
色調白色
外形表面
裏面
側面
大きさ直径約7.5mm
厚さ約2.3mm
質量約130.0mg
識別コードブロナンセリン 4 アメル

ブロナンセリン錠8mg「アメル」

剤形割線入り素錠
色調白色
外形表面
裏面
側面
大きさ直径約9.0mm
厚さ約3.2mm
質量約260.0mg
識別コードブロナンセリン 8 アメル

ブロナンセリン散2%「アメル」

剤形散剤
色調白色

4. 効能又は効果

統合失調症

5. 効能又は効果に関連する注意

*本剤は、原則として12歳以上の患者に使用すること。

6. 用法及び用量

*通常、成人にはブロナンセリンとして1回4mg、1日2回食後経口投与より開始し、徐々に増量する。維持量として1日8~16mgを2回に分けて食後経口投与する。なお、年齢、症状により適宜増減するが、1日量は24mgを超えないこと。
通常、小児にはブロナンセリンとして1回2mg、1日2回食後経口投与より開始し、徐々に増量する。維持量として1日8~16mgを2回に分けて食後経口投与する。なお、年齢、症状により適宜増減するが、1日量は16mgを超えないこと。

7. 用法及び用量に関連する注意

  1. 7.1 *小児において増量する場合には、1週間以上の間隔をあけて行うこと。1週間未満で増量した場合の安全性は確立していない。(使用経験が少ない。)
  2. 7.2 *成人において、ブロナンセリン経皮吸収型製剤から本剤へ切り替える場合には、本剤の用法・用量に従って、1回4mg、1日2回食後経口投与より開始し、徐々に増量すること。本剤からブロナンセリン経皮吸収型製剤へ切り替える場合には、次の投与予定時刻に切り替え可能であるが、患者の状態を十分観察すること。切り替えに際しては、ブロナンセリン経皮吸収型製剤の「臨床成績」の項を参考に用量を選択すること。なお、本剤とブロナンセリン経皮吸収型製剤を同時期に投与することにより過量投与にならないよう注意すること。

8. 重要な基本的注意

  1. 8.1 本剤の投与量は必要最小限となるよう、患者ごとに慎重に観察しながら調節すること。
  2. 8.2 眠気、注意力・集中力・反射運動能力等の低下が起こることがあるので、本剤投与中の患者には自動車の運転等危険を伴う機械の操作に従事させないよう注意すること。
  3. 8.3 興奮、誇大性、敵意等の陽性症状を悪化させる可能性があるので観察を十分に行い、悪化がみられた場合には他の治療法に切り替えるなど適切な処置を行うこと。
  4. 8.4 本剤の投与により、高血糖や糖尿病の悪化があらわれ、糖尿病性ケトアシドーシス、糖尿病性昏睡に至ることがあるので、本剤の投与に際しては、あらかじめこれらの副作用が発現する場合があることを、患者及びその家族に十分に説明し、口渇、多飲、多尿、頻尿等の症状があらわれた場合には、直ちに投与を中断し、医師の診察を受けるよう、指導すること。特に糖尿病又はその既往歴あるいはその危険因子を有する患者については、血糖値の測定等の観察を十分に行うこと。,

9. 特定の背景を有する患者に関する注意

9.1 合併症・既往歴等のある患者

  1. 9.1.1 心・血管系疾患、低血圧、又はそれらの疑いのある患者

    一過性の血圧降下があらわれることがある。

  2. 9.1.2 パーキンソン病又はレビー小体型認知症のある患者

    錐体外路症状が悪化するおそれがある。

  3. 9.1.3 てんかん等の痙攣性疾患、又はこれらの既往歴のある患者

    痙攣閾値を低下させるおそれがある。

  4. 9.1.4 自殺企図の既往及び自殺念慮を有する患者

    症状を悪化させるおそれがある。

  5. 9.1.5 糖尿病又はその既往歴のある患者、あるいは糖尿病の家族歴、高血糖、肥満等の糖尿病の危険因子を有する患者

    血糖値が上昇することがある。,

  6. 9.1.6 脱水・栄養不良状態等を伴う身体的疲弊のある患者

    悪性症候群が起こりやすい。

  7. 9.1.7 不動状態、長期臥床、肥満、脱水状態等の患者

    肺塞栓症、静脈血栓症等の血栓塞栓症が報告されている。

9.3 肝機能障害患者

血中濃度が上昇するおそれがある。

9.5 妊婦

妊婦又は妊娠している可能性のある女性には、治療上の有益性が危険性を上回ると判断される場合にのみ投与すること。妊娠後期に抗精神病薬が投与されている場合、新生児に哺乳障害、傾眠、呼吸障害、振戦、筋緊張低下、易刺激性等の離脱症状や錐体外路症状があらわれたとの報告がある。

9.6 授乳婦

治療上の有益性及び母乳栄養の有益性を考慮し、授乳の継続又は中止を検討すること。動物実験(ラット)で乳汁中への移行が報告されている。

9.7 小児等

*低出生体重児、新生児、乳児、幼児又は12歳未満の小児を対象とした臨床試験は実施していない。

9.8 高齢者

患者の状態を観察しながら慎重に投与すること。一般に生理機能が低下しているので、血中濃度が上昇する可能性があり、錐体外路症状等の副作用があらわれやすい。

10. 相互作用

  • 本剤は、主として薬物代謝酵素CYP3A4で代謝される。

10.1 併用禁忌(併用しないこと)

薬剤名等臨床症状・措置方法機序・危険因子

アドレナリン
(アナフィラキシーの救急治療、又は歯科領域における浸潤麻酔もしくは伝達麻酔に使用する場合を除く)
(ボスミン)

アドレナリンの作用を逆転させ、重篤な血圧降下を起こすことがある。

アドレナリンはアドレナリン作動性α、β-受容体の刺激剤であり、本剤のα-受容体遮断作用により、β-受容体刺激作用が優位となり、血圧降下作用が増強される。

CYP3A4を強く阻害する薬剤

  • イトラコナゾール(イトリゾール)
    ボリコナゾール(ブイフェンド)
    ミコナゾール(経口剤、口腔用剤、注射剤)(フロリード、オラビ)
    フルコナゾール(ジフルカン)
    ホスフルコナゾール(プロジフ)
  • ポサコナゾール(ノクサフィル)
    リトナビルを含む製剤(ノービア、カレトラ、パキロビッド)
    ダルナビル(プリジスタ)
    アタザナビル(レイアタッツ)
    ホスアンプレナビル(レクシヴァ)
  • エンシトレルビル(ゾコーバ)
  • コビシスタットを含む製剤(ゲンボイヤ、プレジコビックス、シムツーザ)
  • ロナファルニブ(ゾキンヴィ)
  • **セリチニブ(ジカディア)

,

本剤の血中濃度が上昇し、作用が増強するおそれがある。

本剤の主要代謝酵素であるCYP3A4を阻害するため、経口クリアランスが減少する可能性がある。外国において、ケトコナゾール(経口剤:国内未発売)との併用により本剤のAUCが17倍、Cmaxが13倍に増加したとの報告がある。

10.2 併用注意(併用に注意すること)

薬剤名等臨床症状・措置方法機序・危険因子

アドレナリン含有歯科麻酔剤

  • リドカイン・アドレナリン

重篤な血圧降下を起こすことがある。

アドレナリンはアドレナリン作動性α、β-受容体の刺激剤であり、本剤のα-受容体遮断作用により、β-受容体刺激作用が優位となり、血圧降下作用が増強されるおそれがある。

中枢神経抑制剤
アルコール

相互に作用を増強することがあるので、減量するなど慎重に投与すること。

本剤及びこれらの薬剤等の中枢神経抑制作用による。

ドパミン作動薬

  • レボドパ製剤
    ブロモクリプチン 等

相互に作用が減弱することがある。

本剤はドパミン受容体遮断作用を有していることから、ドパミン作動性神経において、作用が拮抗することによる。

降圧薬

降圧作用が増強することがある。

本剤及びこれらの薬剤の降圧作用による。

エリスロマイシン

本剤の血中濃度が上昇し、作用が増強するおそれがあるので、観察を十分に行い、必要に応じて減量するなど慎重に投与すること。

本剤の主要代謝酵素であるCYP3A4を阻害するため、経口クリアランスが減少する可能性がある。エリスロマイシンとの併用により本剤のAUCが2.7倍、Cmaxが2.4倍に増加したとの報告がある。

グレープフルーツジュース

本剤の血中濃度が上昇し、作用が増強するおそれがあるので、観察を十分に行い、必要に応じて減量するなど慎重に投与すること。

本剤の主要代謝酵素であるCYP3A4を阻害するため、経口クリアランスが減少する可能性がある。グレープフルーツジュースとの併用により本剤のAUC、Cmaxが1.8倍に増加したとの報告がある。

CYP3A4阻害作用を有する薬剤
 クラリスロマイシン
 シクロスポリン
 ジルチアゼム 等

本剤の血中濃度が上昇し、作用が増強するおそれがあるので、観察を十分に行い、必要に応じて減量するなど慎重に投与すること。

本剤の主要代謝酵素であるCYP3A4を阻害するため、経口クリアランスが減少する可能性がある。

CYP3A4誘導作用を有する薬剤

  • フェニトイン
    カルバマゼピン
    バルビツール酸誘導体
    リファンピシン 等

本剤の血中濃度が低下し、作用が減弱するおそれがある。

本剤の主要代謝酵素であるCYP3A4を誘導するため、経口クリアランスが増加する可能性がある。

11. 副作用

次の副作用があらわれることがあるので、観察を十分に行い、異常が認められた場合には投与を中止するなど適切な処置を行うこと。

11.1 重大な副作用

  1. 11.1.1 悪性症候群(5%未満)

    無動緘黙、強度の筋強剛、嚥下困難、頻脈、血圧の変動、発汗等が発現し、それに引き続き発熱がみられる場合は、投与を中止し、体冷却、水分補給等の全身管理とともに適切な処置を行うこと。本症発症時には、白血球の増加や血清CKの上昇がみられることが多く、また、ミオグロビン尿を伴う腎機能の低下がみられることがある。なお、高熱が持続し、意識障害、呼吸困難、循環虚脱、脱水症状、急性腎障害へと移行し、死亡することがある。

  2. 11.1.2 遅発性ジスキネジア(5%未満)

    長期投与により、口周部等の不随意運動があらわれることがあるので、このような症状があらわれた場合は減量又は中止を考慮すること。なお、投与中止後も症状が持続することがある。

  3. 11.1.3 麻痺性イレウス(頻度不明)

    腸管麻痺(食欲不振、悪心・嘔吐、著しい便秘、腹部の膨満あるいは弛緩及び腸内容物のうっ滞等の症状)を来し、麻痺性イレウスに移行することがあるので、腸管麻痺があらわれた場合には、投与を中止するなど適切な処置を行うこと。

  4. 11.1.4 抗利尿ホルモン不適合分泌症候群(SIADH)(頻度不明)

    低ナトリウム血症、低浸透圧血症、尿中ナトリウム排泄量の増加、高張尿、痙攣、意識障害等を伴う抗利尿ホルモン不適合分泌症候群(SIADH)があらわれることがある。このような場合には投与を中止し、水分摂取の制限等適切な処置を行うこと。

  5. 11.1.5 横紋筋融解症(頻度不明)

    筋肉痛、脱力感、CK上昇、血中及び尿中ミオグロビン上昇等が認められた場合には投与を中止し、適切な処置を行うこと。また、横紋筋融解症による急性腎障害の発症に注意すること。

  6. 11.1.6 無顆粒球症、白血球減少(いずれも頻度不明)
  7. 11.1.7 肺塞栓症、深部静脈血栓症(いずれも頻度不明)

    肺塞栓症、静脈血栓症等の血栓塞栓症が報告されているので、観察を十分に行い、息切れ、胸痛、四肢の疼痛、浮腫等が認められた場合には、投与を中止するなど適切な処置を行うこと。

  8. 11.1.8 肝機能障害(頻度不明)

    AST、ALT、γ-GTP、ALP、ビリルビン等の上昇を伴う肝機能障害があらわれることがある。

  9. 11.1.9 高血糖、糖尿病性ケトアシドーシス、糖尿病性昏睡(いずれも頻度不明)

    高血糖や糖尿病の悪化があらわれ、糖尿病性ケトアシドーシス、糖尿病性昏睡に至ることがある。口渇、多飲、多尿、頻尿等の症状の発現に注意するとともに、血糖値の測定を行うなど十分な観察を行い、異常が認められた場合には、投与を中止し、インスリン製剤の投与等の適切な処置を行うこと。,

11.2 その他の副作用

5%以上

5%未満

頻度不明2)

過敏症

発疹、湿疹、そう痒

循環器

血圧低下、起立性低血圧、血圧上昇、心電図異常(QT間隔の延長、T波の変化等)、頻脈、徐脈、不整脈、心室性期外収縮、上室性期外収縮、動悸、心拍数増加、心拍数減少

錐体外路症状1)

パーキンソン症候群(振戦、筋強剛、流涎過多、寡動、運動緩慢、歩行障害、仮面様顔貌等)(33.5%)、アカシジア(静坐不能)(24.7%)、ジスキネジア(構音障害、嚥下障害、口周部・四肢等の不随意運動等)(12.9%)、ジストニア(痙攣性斜頚、顔面・喉頭・頚部の攣縮、眼球上転発作、後弓反張等)

肝臓

AST、ALT、γ-GTP、LDH、ALP、ビリルビンの上昇、肝機能異常

脂肪肝

調節障害、霧視、羞明

眼の乾燥

消化器

便秘、食欲不振、悪心

嘔吐、食欲亢進、下痢、上腹部痛、腹痛、胃不快感、腹部膨満感、口唇炎

胃炎、胃腸炎

内分泌

プロラクチン上昇(21.3%)

月経異常、乳汁分泌、射精障害、女性化乳房、勃起不全

泌尿器

排尿困難、尿閉、尿失禁、頻尿

精神神経系

不眠(19.6%)、眠気(12.4%)、不安・焦燥感・易刺激性、めまい・ふらつき、頭重・頭痛、興奮

統合失調症の悪化、過鎮静、脱抑制、抑うつ、幻覚・幻聴、妄想、被害妄想、睡眠障害、行動異常、多動、自殺企図、脳波異常、躁状態、意識障害、異常感、しびれ感、会話障害、多弁、緊張、痙攣

攻撃性、悪夢

血液

白血球増加、好中球増加、白血球減少、リンパ球減少、赤血球増加、貧血、赤血球減少、ヘモグロビン減少、ヘマトクリット減少、血小板増加、血小板減少、異型リンパ球出現

その他

倦怠感、口渇、脱力感

発汗、発熱、体重増加、体重減少、胸痛、咳嗽、過換気、鼻漏、鼻出血、多飲、顔面浮腫、嚥下性肺炎、低体温、CK上昇、トリグリセリド上昇、血中コレステロール上昇、血中インスリン上昇、血中リン脂質増加、血糖上昇、BUN上昇、BUN減少、血中総蛋白減少、血中カリウム上昇、血中カリウム減少、血中ナトリウム減少、尿中蛋白陽性、尿中ウロビリン陽性、尿糖陽性、尿潜血陽性

浮腫、水中毒、脱毛、糖尿病、血糖低下、上気道感染、鼻咽頭炎、四肢痛

1) 症状があらわれた場合には必要に応じて減量又は抗パーキンソン薬の投与等、適切な処置を行うこと。
2) 頻度不明にはブロナンセリン経皮吸収型製剤のみで認められた副作用を含む。

14. 適用上の注意

14.1 薬剤交付時の注意

  1. 14.1.1 本剤の吸収は食事の影響を受けやすく、有効性及び安全性は食後投与により確認されているため、食後に服用するよう指導すること。
  2. 14.1.2 PTP包装の薬剤はPTPシートから取り出して服用するよう指導すること。PTPシートの誤飲により、硬い鋭角部が食道粘膜へ刺入し、更には穿孔をおこして縦隔洞炎等の重篤な合併症を併発することがある。

15. その他の注意

15.1 臨床使用に基づく情報

  1. 15.1.1 本剤による治療中、原因不明の突然死が報告されている。
  2. 15.1.2 外国で実施された高齢認知症患者を対象とした17の臨床試験において、類薬の非定型抗精神病薬投与群はプラセボ投与群と比較して死亡率が1.6~1.7倍高かったとの報告がある。なお、本剤との関連性については検討されておらず、明確ではない。また、外国での疫学調査において、定型抗精神病薬も非定型抗精神病薬と同様に死亡率の上昇に関与するとの報告がある。

15.2 非臨床試験に基づく情報

  1. 15.2.1 動物実験(イヌ)で制吐作用が認められたため、他の薬剤に基づく中毒、腸閉塞、脳腫瘍等による嘔吐症状を不顕性化する可能性がある。
  2. 15.2.2 げっ歯類(マウス、ラット)に104週間経口投与したがん原性試験において、マウス(1mg/kg/日以上)で乳腺腫瘍、下垂体腫瘍、ラット(1mg/kg/日)で乳腺腫瘍の発生頻度の上昇が認められた。これらの所見は、プロラクチンに関連した変化として、げっ歯類ではよく知られている。

16. 薬物動態

16.1 血中濃度

  1. 16.1.1 単回投与(空腹時投与)
    (健康成人8例、空腹時単回経口投与)1)

    投与量
    (mg)

    Tmax
    (hr)a)

    Cmax
    (ng/mL)b)

    T1/2
    (hr)b)

    AUClast
    (ng・hr/mL)b)

    4

    1.5(1-3)

    0.14±0.04

    10.7±9.4

    0.91±0.34

    8

    1.5(0.5-2)

    0.45±0.22

    12.0±4.4

    2.82±1.38

    12

    1.5(1-3)

    0.76±0.44

    16.2±4.9

    6.34±6.34

    a)中央値(最小値-最大値)、b)平均値±標準偏差

  2. 16.1.2 単回投与(食後投与)

    食後単回経口投与におけるCmax及びAUC0-12は、空腹時投与と比較して、それぞれ2.68倍及び2.69倍上昇した。また、食後投与時のTmax及び平均滞留時間(MRT)は、空腹時投与に比べて有意に延長したが、消失速度定数(kel)に差は認められなかった2)

    (健康成人12例、2mg3)食後単回経口投与)

    投与時期

    Tmax
    (hr)

    Cmax
    (ng/mL)

    AUC0-12
    (ng・hr/mL)

    MRT
    (hr)

    kel
    (l/hr)

    空腹時

    1.8±0.2

    0.06±0.01

    0.36±0.05

    7.19±0.36

    0.16±0.01

    食後

    3.8±0.5

    0.14±0.02

    0.83±0.11

    9.63±1.17

    0.15±0.01

    平均値±標準誤差

  3. 16.1.3 反復投与(食後投与)
    (健康成人10例、1回2mg3)1日2回(朝・夕食後)10日間反復経口投与)3)

    Tmax
    (hr)a)

    Cmax
    (ng/mL)b)

    T1/2
    (hr)b)

    AUC0-12
    (ng・hr/mL)b)

    2(2-2)

    0.57±0.19

    67.9±27.6

    3.22±1.10

    a)中央値(最小値-最大値)、b)平均値±標準偏差

  4. 16.1.4 *小児
    (小児統合失調症患者(12~18歳)、1日2回(朝・夕食後)、4~24mg/日3)、反復経口投与)4),5),6)

    採血直前の1回投与量

    採血時点

    血漿中ブロナンセリン濃度(ng/mL)

    6週

    28週

    52週

    4mg

    2-4時間付近

    0.46±0.26
    (14)

    トラフ付近

    0.25±0.12
    (38)

    0.29±0.13
    (6)

    0.19±0.13
    (21)

    8mg

    2-4時間付近

    0.79±0.30
    (7)

    トラフ付近

    0.45±0.19
    (36)

    0.41±0.48
    (5)

    0.51±0.27
    (12)

    平均値±標準偏差(例数)

    小児統合失調症患者(12~18歳)にブロナンセリン4~24mgを1日2回に分けて朝食後及び夕食後に投与時の血漿中濃度(解析対象:132例、濃度データ数:347データ)を用いて母集団薬物動態解析を実施した結果、1日投与量が8mg又は16mgの患者のAUC24,SS推定値(平均値±標準偏差)はそれぞれ9.04±3.48ng·hr/mL(42例)、17.7±9.46ng·hr/mL(30例)であった。また、15歳未満と小児患者全例で薬物動態は類似していた7)

  5. 16.1.5 生物学的同等性試験

    ブロナンセリン錠4mg「アメル」及びブロナンセリン散2%「アメル」と各標準製剤について、下記のとおりクロスオーバー法により健康成人男子に絶食単回投与して血漿中未変化体濃度を測定し、得られた薬物動態パラメータ(AUC、Cmax)について90%信頼区間法にて統計解析を行った結果、log(0.80)〜log(1.25)の範囲内であり、両剤の生物学的同等性が確認された8)

    標準製剤

    試験投与量

    ブロナンセリン錠4mg「アメル」

    ロナセン錠4mg

    それぞれ1錠(ブロナンセリンとして4mg)

    ブロナンセリン散2%「アメル」

    ロナセン散2%

    それぞれ200mg(ブロナンセリンとして4mg)

    薬物動態パラメータ(生物学的同等性)

    判定パラメータ

    参考パラメータ

    AUC(0→36)
    (pg・hr/mL)

    Cmax
    (pg/mL)

    Tmax
    (hr)

    T1/2
    (hr)

    ブロナンセリン錠4mg「アメル」

    1094.92±593.38

    140.08±88.61

    1.96±1.06

    10.80±1.35

    ロナセン錠4mg

    1193.24±580.61

    156.39±107.54

    1.99±0.77

    10.62±1.33

    (Mean±S.D.,n=39)

    血漿中未変化体濃度(生物学的同等性)
    薬物動態パラメータ(生物学的同等性)

    判定パラメータ

    参考パラメータ

    AUC(0→36)
    (pg・hr/mL)

    Cmax
    (pg/mL)

    Tmax
    (hr)

    T1/2
    (hr)

    ブロナンセリン散2%「アメル」

    1665.29±1319.99

    176.40±148.44

    2.23±1.02

    10.87±1.29

    ロナセン散2%

    1471.17±984.39

    153.03±117.24

    2.28±0.88

    10.67±1.84

    (Mean±S.D.,n=40)

    血漿中未変化体濃度(生物学的同等性)

    血漿中濃度並びにAUC、Cmax等のパラメータは、被験者の選択、体液の採取回数・時間等の試験条件によって異なる可能性がある。

16.2 吸収

  1. 16.2.1 吸収率

    84%(ラット)9)

16.3 分布

  1. 16.3.1 血清蛋白結合率

    99.7%以上(in vitro、ヒト血清、10ng/mL~2μg/mL、平衡透析法)10),11),12)

16.4 代謝

  1. 16.4.1 主な代謝産物

    N-脱エチル体(in vivo薬理活性:未変化体の1/4.4~1/25)13)
    7,8位の各水酸化体及びこれらのグルクロン酸抱合体14)
    脳内では、主として未変化体及びN-脱エチル体が認められた(ラット、イヌ、サル)15)

  2. 16.4.2 代謝経路

    ブロナンセリンは、ピペラジン環のN-脱エチル化及びN-オキシド化、シクロオクタン環の酸化、これに続く抱合反応あるいはピペラジン環の開環など広範に代謝される14)

  3. 16.4.3 代謝酵素

    ブロナンセリンは、主としてCYP3A4で代謝されると考えられる16)in vitro)。

16.5 排泄

  1. 16.5.1 排泄経路

    尿中及び糞便中17)

  2. 16.5.2 排泄率

    健康成人6例に14C-ブロナンセリン4mgを朝食2時間後単回投与したとき、尿中及び糞便中には、それぞれ投与放射能量の約59%及び約30%が排泄された。尿中に未変化体は認められず、主代謝物として数種類のグルクロン酸抱合体が存在した。また、糞便中には未変化体が少量(糞便中放射能量の5%未満)認められた14),17)(外国人データ)。

16.7 薬物相互作用

  1. 16.7.1 エリスロマイシン併用時の薬物動態
    (健康成人12例にブロナンセリン2mg3)を朝食後投与)18),19)

    Tmax
    (hr)a)

    Cmax
    (ng/mL)b)

    T1/2
    (hr)b)

    AUClast
    (ng・hr/mL)b)

    単独投与時

    2(1-3)

    0.26±0.11

    14.9±8.5

    1.94±1.03

    併用投与時c)

    3(2-3)

    0.63±0.24

    27.0±11.0

    4.93±1.65

    a)中央値(最小値-最大値)、b)平均値±標準偏差
    c)ブロナンセリン投与7日前より投与前日までエリスロマイシン1,200mg/日(分4)を反復経口投与し、ブロナンセリン投与時はエリスロマイシン300mgを併用

  2. 16.7.2 グレープフルーツジュース併用時の薬物動態
    (健康成人12例にブロナンセリン2mg3)を朝食後投与)20),21)

    Tmax
    (hr)a)

    Cmax
    (ng/mL)b)

    T1/2
    (hr)b)

    AUClast
    (ng・hr/mL)b)

    単独投与時

    2(1-3)

    0.22±0.13

    12.3±11.7

    1.73±0.96

    併用投与時c)

    2.5(1-6)

    0.39±0.25

    15.7±8.7

    3.17±1.71

    a)中央値(最小値-最大値)、b)平均値±標準偏差
    c)ブロナンセリン投与60分前及び投与時にグレープフルーツジュース200mLを摂取

  3. 16.7.3 ケトコナゾール併用時の薬物動態
    (健康成人12例にブロナンセリン2.5mg3)を朝食後投与(外国人データ))22)

    Tmax
    (hr)a)

    Cmax
    (ng/mL)b)

    T1/2
    (hr)b)

    AUClast
    (ng・hr/mL)b)

    単独投与時

    3(1-5)

    0.32±0.13

    20.9±9.0

    2.60±1.39

    併用投与時c)

    4.3(2-5)

    4.22±2.05

    18.2±5.5

    45.17±22.82

    a)中央値(最小値-最大値)、b)平均値±標準偏差
    c)ブロナンセリン投与7日前より投与当日までケトコナゾール400mg/日反復経口投与

3) 本剤の承認された用法・用量は、成人は1日8~24mgを2回に分けて、小児は1日4mgより開始し8~16mgを2回に分けて食後経口投与である。

16.8 その他

ブロナンセリン錠2mg「アメル」及びブロナンセリン錠8mg「アメル」について、「含量が異なる経口固形製剤の生物学的同等性試験ガイドライン(平成24年2月29日 薬食審査発0229第10号)」に基づき、ブロナンセリン錠4mg「アメル」を標準製剤としたとき、溶出挙動が同等と判断され、生物学的に同等とみなされた23)

17. 臨床成績

17.1 有効性及び安全性に関する試験

  1. 17.1.1 国内第Ⅲ相試験(成人)

    成人統合失調症患者(15歳以上)を対象にリスペリドンを対照薬とした二重盲検比較試験及び成人統合失調症患者(16歳以上)を対象にハロペリドールを対照薬とした二重盲検比較試験を実施した。ブロナンセリン(8~24mg)又は対照薬(リスペリドン2~6mg又はハロペリドール4~12mg)は1日2回に分けて朝食後及び夕食後に8週間経口投与した。最終評価時での陽性・陰性症状評価尺度(Positive and Negative Syndrome Scale; PANSS)の合計スコア変化量、改善率及び平均1日投与量は次のとおりであった。なお、リスペリドンとの比較試験ではPANSS合計スコア変化量(許容差-7)、ハロペリドールとの比較試験では改善率(⊿=10%)を有効性主要評価項目としてブロナンセリンと対照薬との非劣性を検証した。

    リスペリドンとの比較試験24)

    ハロペリドールとの比較試験25),26)

    ブロナンセリン

    リスペリドン

    ブロナンセリン

    ハロペリドール

    PANSS合計スコア変化量a)
    (評価例数)
    薬剤間の差の95%信頼区間

    -11.1±17.3
    (156)

    -11.5±17.4
    (144)

    -10.0±18.4
    (114)

    -7.8±18.2
    (111)

    -4.40~3.48

    -2.61~7.00

    改善率
    (中等度改善以上の例数/評価例数)
    薬剤間の差の95%信頼区間

    51.0%
    (79/155)

    56.6%
    (81/143)

    61.2%
    (74/121)

    51.3%
    (60/117)

    -5.7~16.9

    -2.7~22.4

    平均1日投与量

    16.3mg

    4.0mg

    15.8mg

    8.1mg

    a)平均値±標準偏差

    リスペリドンとの比較試験で、ブロナンセリン投与群の副作用発現率は94.9%(148/156例)、主な副作用は血中プロラクチン増加(45.5%)、運動緩慢(35.9%)、不眠症(35.3%)、振戦(30.8%)、アカシジア(28.8%)等であった。ハロペリドールとの比較試験で、ブロナンセリン投与群の副作用発現率は82.2%(106/129例)、主な副作用は振戦(27.9%)、アカシジア(25.6%)等であった。

  2. 17.1.2 国内長期投与試験(成人)

    成人統合失調症患者(16歳以上)を対象に、後期第Ⅱ相臨床試験から継続した長期投与試験(1)27)、第Ⅲ相臨床試験として長期投与試験(2)28),29)及び長期投与試験(3)30),31)の3試験を実施した。各試験における改善率の推移、最終評価時の改善率及び平均1日投与量は次のとおりであった。

    長期投与試験(1)b)

    長期投与試験(2)c)

    長期投与試験(3)c)

    改善率
    (中等度改善以上の例数/評価例数)

    0週a)

    3.9%(2/51)

    24.6%(15/61)

    24.6%(79/321)

    28週後

    75.9%(22/29)

    75.0%(36/48)

    51.9%(137/264)

    52~56週後

    70.6%(12/17)

    86.8%(33/38)

    55.5%(86/155)

    最終評価時

    60.4%(29/48)

    68.3%(41/60)

    48.1%(153/318)

    平均最終1日投与量

    14.4mg

    12.8mg

    13.0mg

    a)前治療抗精神病薬の改善率
    b)1日2回経口投与、投与期間:後期第Ⅱ相臨床試験期間を含め6ヵ月以上1年2ヵ月未満
    c)1日2回経口投与、投与期間:26~56週間

    長期投与試験(1)の副作用発現率は65.4%(34/52例)、主な副作用はアカシジア(28.8%)、不眠症(25.0%)、振戦(15.4%)、流涎過多(13.5%)、傾眠(13.5%)、筋骨格硬直(11.5%)、便秘(11.5%)、口渇(11.5%)等であった。長期投与試験(2)の副作用発現率は72.1%(44/61例)、主な副作用はアカシジア(32.8%)、血中プロラクチン増加(29.5%)、振戦(21.3%)、不眠症(18.0%)、傾眠(14.8%)、口渇(14.8%)、運動緩慢(13.1%)等であった。長期投与試験(3)の副作用発現率は68.5%(220/321例)、主な副作用は血中プロラクチン増加(19.9%)、不眠症(17.1%)、アカシジア(16.8%)、振戦(15.9%)、便秘(12.8%)、傾眠(11.5%)等であった。

  3. 17.1.3 *国内第Ⅲ相試験(小児)

    小児統合失調症患者(12~18歳)を対象にプラセボ対照二重盲検比較試験を実施した。ブロナンセリン8mg、16mg又はプラセボを1日2回に分けて朝食後及び夕食後に6週間経口投与したときの、ベースラインから投与6週後のPANSS合計スコア変化量は次のとおりであった4),32)

    投与群

    例数

    PANSS合計スコア

    プラセボ群との比較

    ベースライン

    投与6週後におけるベースラインからの変化量a)

    群間差 [95%信頼区間]

    p値b)

    平均値±標準偏差

    最小二乗平均値±標準誤差

    プラセボ

    47

    89.8±10.41

    -10.6±2.78

    8mg

    51

    86.5±13.53

    -15.3±2.76

    -4.7
    [-12.49,3.03]

    0.230

    16mg

    52

    88.7±13.81

    -20.5±2.71

    -9.9
    [-17.61,-2.25]

    0.012

    a)固定効果を投与群、評価時期、ベースライン値及び投与群と評価時期の交互作用を共変量とするMMRMによる解析を実施した。
    b)第一段階として、プラセボ群とブロナンセリン併合群(ブロナンセリン8mg群と16mg群の併合群)の比較を有意水準両側5%で行い、有意差が認められた場合にのみ、第二段階としてブロナンセリン各用量群とプラセボ群との対比較を有意水準両側5%で行うことで、検定の多重性を調整した。第一段階のプラセボ群とブロナンセリン併合群との比較におけるp値は0.032であった。

    また、15歳未満の患者のベースラインのPANSS合計スコア(平均値±標準偏差)は、プラセボ群で85.4±8.35(14例)、8mg群で81.5±9.87(16例)、16mg群で86.9±11.80(16例)(以降同順)、ベースラインから投与6週後のPANSS合計スコア変化量4)[最小二乗平均値(95%信頼区間)]は、-5.1(-15.15,4.88)、-8.0(-17.56,1.51)、-26.8(-36.23,-17.43)、プラセボ群との差[最小二乗平均値(95%信頼区間)]は8mg群で-2.9(-16.73,10.95)、16mg群で-21.7(-35.42,-7.97)であった。15歳以上の患者のベースラインのPANSS合計スコアは、91.7±10.75(33例)、88.9±14.44(35例)、89.4±14.71(36例)、ベースラインから投与6週後のPANSS合計スコア変化量4)は、-13.3(-19.73,-6.78)、-18.5(-25.01,-11.92)、-17.6(-24.06,-11.14)、プラセボ群との差は8mg群で-5.2(-14.42,4.01)、16mg群で-4.3(-13.49,4.80)であった4),32)

    4) 固定効果を投与群、評価時期、ベースライン値及び投与群と評価時期の交互作用を共変量とするMMRMによる解析を実施した。
    ブロナンセリン投与群の副作用発現率は8mg群で54.9%(28/51例)、16mg群で75.5%(40/53例)であり、主な副作用はアカシジア(8mg群、16mg群の順に以降同様、13.7%、32.1%)、傾眠(13.7%、17.0%)、高プロラクチン血症(9.8%、17.0%)、血中プロラクチン増加(5.9%、13.2%)、振戦(9.8%、9.4%)、ジストニア(2.0%、11.3%)等であった。また、15歳未満と小児患者全例で副作用発現率に差異は認められなかった4),33)

  4. 17.1.4 *国内長期投与試験(小児)

    国内第Ⅲ相試験から移行した小児統合失調症患者を対象に非盲検継続長期投与試験を実施した。ブロナンセリン4~24mg5)を適宜増減して1日2回に分けて朝食後及び夕食後に52週間経口投与したときの、長期試験のベースラインから投与52週後までのPANSS合計スコア変化量は次のとおりであった5),34)

    評価時期

    例数

    PANSS合計スコア

    ベースラインからの変化量

    長期試験のベースライン

    106

    68.7±16.01

    12週後

    95

    62.0 ± 15.26

    -5.6±11.34

    28週後

    81

    60.3±16.12

    -6.7±13.51

    52週後

    63

    56.1±15.29

    -9.7±16.18

    最終評価時(LOCF)a)

    105

    62.9±18.82

    -6.0±15.77

    平均値±標準偏差
    a)LOCF:Last observation carried forward

    また、15歳未満(30例)の患者の長期試験のベースラインのPANSS合計スコア(平均値±標準偏差)は67.3±14.06、ベースラインから最終評価時(LOCF)までのPANSS合計スコア変化量(平均値±標準偏差)は-9.3±11.53であった。15歳以上(76例)の患者の長期試験のベースラインのPANSS合計スコアは69.2±16.78、ベースラインから最終評価時(LOCF)までのPANSS合計スコア変化量は-4.7±17.07であった5),34)
    副作用発現率は65.1%(69/106例)、主な副作用はアカシジア(17.9%)、振戦(16.0%)、ジストニア(11.3%)、高プロラクチン血症(9.4%)、体重増加(9.4%)、血中プロラクチン増加(9.4%)、傾眠(9.4%)、便秘(5.7%)等であった。また、15歳未満と小児患者全例で副作用発現率に差異は認められなかった5),35)

    5) 本剤の小児の承認用量は1日4mgより開始し8~16mgである。

18. 薬効薬理

18.1 作用機序

In vitro受容体結合試験において、ブロナンセリンはドパミンD2受容体サブファミリー(D2、D3)及びセロトニン5-HT2A受容体に対して親和性を示し、完全拮抗薬として作用した。主要代謝物であるN-脱エチル体もドパミンD2受容体サブファミリー(D2、D3)及びセロトニン5-HT2A受容体に対して親和性を示したが、ドパミンD2受容体への親和性はブロナンセリンの約1/10であった。N-脱エチル体はセロトニン5-HT2C受容体及び5-HT6受容体に対しても親和性が認められた。また、ブロナンセリンはアドレナリンα1、ヒスタミンH1、ムスカリンM1及びM3等の受容体に対して主作用であるドパミンD2受容体サブファミリー(D2、D3)及びセロトニン5-HT2A受容体への親和性に比べて低い親和性を示し、N-脱エチル体もアドレナリンα1、ヒスタミンH1、ムスカリンM1等の受容体に対する親和性は低かった36),37),38),39)

18.2 薬理作用

動物実験において、次の薬理作用が認められている。

作用の種類
(動物種、投与経路)

EDあるいはED50(mg/kg)

備考

ブロナンセリン

ハロペリドール

条件回避反応抑制作用
単回投与(ラット、経口)36)
反復投与(ラット、経口)36)

ED50:0.55
耐性なし

ED50:0.62
耐性なし

抗精神病効果と相関

側坐核内ドパミン投与による運動過多の抑制作用(ラット、経口)40)

ED:0.3~3

ED:1、3

ドパミン仮説に基づく統合失調症の病態モデルへの作用

メタンフェタミン誘発前頭前皮質自発発火障害の改善作用(ラット、静脈内)40)

ED:1

ドパミン仮説に基づく統合失調症の病態モデルへの作用

メタンフェタミン誘発運動過多抑制作用(ラット、経口)41)

ED50:0.446

ED50:0.287

陽性症状改善作用の指標

フェンシクリジン誘発無動改善作用(マウス、経口)36)

ED:0.3、1

陰性症状改善作用の指標

アポモルヒネ誘発プレパルス抑制障害改善作用(ラット、経口)36)

ED:0.3~3

ED:1、3

認知障害改善作用の指標

カタレプシー惹起作用(ラット、経口)36)

ED50:16.4

ED50:5.63

急性期錐体外路系副作用の指標

SKF38393 誘発異常口唇運動増強作用(ラット、経口)36)

10mg/kg/day
で作用なし

ED:3

慢性期錐体外路系副作用の指標

ED:作用用量、ED50:50%作用用量

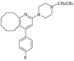
19. 有効成分に関する理化学的知見

一般的名称

ブロナンセリン(Blonanserin)

化学名

2-(4-Ethyl-1-piperazinyl)-4-(4-fluorophenyl)-5,6,7,8,9,10-hexahydrocycloocta[b]pyridine

分子式

C23H30FN3

分子量

367.50

性状

白色の粉末である。
酢酸(100)に溶けやすく、メタノール又はエタノール(99.5)にやや溶けにくく、水にほとんど溶けない。

化学構造式

21. 承認条件

*医薬品リスク管理計画を策定の上、適切に実施すること。

22. 包装

  • 〈ブロナンセリン錠2mg「アメル」〉

    100錠[10錠(PTP)×10]
    200錠[瓶、バラ]

  • 〈ブロナンセリン錠4mg「アメル」〉

    100錠[10錠(PTP)×10]
    500錠[瓶、バラ]

  • 〈ブロナンセリン錠8mg「アメル」〉

    100錠[10錠(PTP)×10]
    500錠[瓶、バラ]

  • 〈ブロナンセリン散2%「アメル」〉

    100g[瓶、バラ]

23. 主要文献

1) 薬物動態試験(単回投与)(ロナセン錠/散:2008年1月25日承認、申請資料概要 2.7.2.2)

2) 食事の影響の検討(ロナセン錠/散:2008年1月25日承認、申請資料概要 2.7.6.9)

3) 薬物動態試験(反復投与)(ロナセン錠/散:2008年1月25日承認、申請資料概要 2.7.2.2)

4) 小児統合失調症患者を対象としたプラセボ対照試験(ロナセン錠/散:2021年3月23日承認、申請資料概要 2.7.6.1)

5) 小児統合失調症患者を対象とした長期継続投与試験(ロナセン錠/散:2021年3月23日承認、申請資料概要 2.7.6.2)

6) 小児統合失調症患者での薬物動態(ロナセン錠/散:2021年3月23日承認、申請資料概要 2.7.2.2)

7) 小児統合失調症患者を対象とした母集団薬物動態解析(ロナセン錠/散:2021年3月23日承認、申請資料概要 2.7.2.3)

8) 社内資料:生物学的同等性試験[錠4mg、散2%]

9) 吸収(ロナセン錠/散:2008年1月25日承認、申請資料概要 2.6.4.3)

10) *ヒト血清たん白結合の検討1(ヒト血清、ヒト血清アルブミンおよびα1-酸性糖蛋白を用いた検討)(ロナセン錠/散:2008年1月25日承認、申請資料概要 2.7.2.2)

11) *ヒト血清たん白結合の検討2(ブロナンセリンおよび代謝物を用いた検討)(ロナセン錠/散:2008年1月25日承認、申請資料概要 2.7.2.2)

12) *ヒト血清たん白結合の検討3(各種共存薬物との相互作用の検討)(ロナセン錠/散:2008年1月25日承認、申請資料概要 2.7.2.2)

13) 代謝物の薬理作用(in vivo試験)(ロナセン錠/散:2008年1月25日承認、申請資料概要 2.6.2.2)

14) 代謝経路(ロナセン錠/散:2008年1月25日承認、申請資料概要 2.7.2.2)

15) 脳内代謝物(ロナセン錠/散:2008年1月25日承認、申請資料概要 2.6.4.5)

16) ヒト代謝CYPの同定(ロナセン錠/散:2008年1月25日承認、申請資料概要 2.7.2.2)

17) 14C標識体を用いたマスバランス試験(ロナセン錠/散:2008年1月25日承認、申請資料概要 2.7.2.2)

18) 松本和也, 他:臨床精神薬理. 2008;11:891-899

19) エリスロマイシンとの薬物相互作用試験(ロナセン錠/散:2008年1月25日承認、申請資料概要 2.7.2.2)

20) 松本和也, 他:臨床精神薬理. 2008;11:901-909

21) *グレープフルーツジュースとの相互作用試験(ロナセン錠/散:2008年1月25日承認、申請資料概要 2.7.2.2)

22) ケトコナゾールとの薬物相互作用試験(ロナセン錠/散:2008年1月25日承認、申請資料概要 2.7.2.2、2.7.6.13)

23) 社内資料:生物学的同等性試験(溶出挙動比較)

24) 三浦貞則:臨床精神薬理. 2008;11:297-314

25) 村崎光邦:臨床精神薬理. 2007;10:2059-2079

26) 成人統合失調症患者を対象としたハロペリドール対照試験(ロナセン錠/散:2008年1月25日承認、申請資料概要 2.7.6.15)

27) 成人統合失調症患者を対象とした長期投与試験(1)(ロナセン錠/散:2008年1月25日承認、申請資料概要 2.7.6.20)

28) 村崎光邦:臨床精神薬理. 2007;10:2241-2257

29) *成人統合失調症患者を対象とした長期投与試験(2)(ロナセン錠/散:2008年1月25日承認、申請資料概要 2.7.6.21、審査報告書)

30) 木下利彦:臨床精神薬理. 2008;11:135-153

31) *成人統合失調症患者を対象とした長期投与試験(3)(ロナセン錠/散:2008年1月25日承認、申請資料概要 2.7.6.22、審査報告書)

32) 小児統合失調症患者を対象としたプラセボ対照試験(ロナセン錠/散:2021年3月23日承認、申請資料概要 2.7.3.3、2.7.3.6)

33) 小児統合失調症患者を対象としたプラセボ対照試験(ロナセン錠/散:2021年3月23日承認、申請資料概要 2.7.4.5)

34) *小児統合失調症患者を対象とした長期継続投与試験(ロナセン錠/散:2021年3月23日承認、申請資料概要 2.7.3.3、2.7.3.6)

35) *小児統合失調症患者を対象とした長期継続投与試験(ロナセン錠/散:2021年3月23日承認、申請資料概要 2.7.4.5)

36) 釆輝昭, 他:臨床精神薬理. 2007;10:1263-1272

37) ドパミンD2、D3及びセロトニン5-HT2A受容体に対する作動作用及び拮抗作用(ロナセンテープ:2019年6月18日承認、申請資料概要 2.6.2.2)

38) ムスカリンM3受容体への結合親和性(ロナセンテープ:2019年6月18日承認、申請資料概要 2.6.2.2)

39) *N-脱エチル体の薬理作用(in vitro試験)(ロナセン錠・散:2008年1月25日承認、申請資料概要 2.6.2.2)

40) Noda Y, et al.:J Pharmacol Exp Ther. 1993;265:745-751

41) メタンフェタミン誘発運動過多に対する抑制作用(ロナセン錠/散:2008年1月25日承認、申請資料概要 2.6.2.2)

24. 文献請求先及び問い合わせ先

共和薬品工業株式会社 お問い合わせ窓口

〒530-0005 大阪市北区中之島3-2-4

0120-041-189
FAX 06-6121-2858

26. 製造販売業者等

26.1 製造販売元

共和薬品工業株式会社

大阪市北区中之島3-2-4

〒100-0013 東京都千代田区霞が関3-3-2 新霞が関ビル

画面を閉じる

Copyright © Pharmaceuticals and Medical Devices Agency, All Rights reserved.