医療用医薬品 詳細表示

タルチレリン錠5mg「アメル」/タルチレリンOD錠5mg「アメル」

処方せん医薬品

添付文書番号
企業コード
作成又は改訂年月
日本標準商品分類番号
薬効分類名
承認等
一般的名称
3.組成・性状
3.1組成
3.2製剤の性状
4.効能又は効果
5.効能又は効果に関連する注意
6.用法及び用量
9.特定の背景を有する患者に関する注意
9.1合併症・既往歴等のある患者
9.2腎機能障害患者
9.5妊婦
9.6授乳婦
9.7小児等
9.8高齢者
11.副作用
11.1重大な副作用
11.2その他の副作用
14.適用上の注意
16.薬物動態
16.1血中濃度
16.2吸収
16.3分布
16.4代謝
16.5排泄
17.臨床成績
17.1有効性及び安全性に関する試験
18.薬効薬理
18.1作用機序
18.2運動失調改善作用
18.3神経栄養因子様作用
18.4下垂体-甲状腺ホルモン刺激作用
19.有効成分に関する理化学的知見
20.取扱い上の注意
22.包装
23.主要文献
24.文献請求先及び問い合わせ先
26.製造販売業者等

タルチレリン錠5mg「アメル」/タルチレリンOD錠5mg「アメル」

添付文書番号

1190014F1050_2_03

企業コード

672173

作成又は改訂年月

2024年11月改訂(第2版)
2023年11月改訂

日本標準商品分類番号

87119

薬効分類名

経口脊髄小脳変性症治療剤

承認等

タルチレリン錠5mg「アメル」

販売名コード

YJコード

1190014F1050

販売名英語表記

Taltirelin Tablets 「AMEL」

承認番号等

承認番号

22400AMX00255

販売開始年月

2012年6月

貯法・有効期間

貯法

室温保存

有効期間

3年

基準名

日本薬局方

タルチレリン錠

タルチレリンOD錠5mg「アメル」

販売名コード

YJコード

1190014F2056

販売名英語表記

Taltirelin OD Tablets 「AMEL」

承認番号等

承認番号

22500AMX00100

販売開始年月

2013年6月

貯法・有効期間

貯法

室温保存

有効期間

3年

基準名

日本薬局方

タルチレリン口腔内崩壊錠

一般的名称

タルチレリン水和物

3. 組成・性状

3.1 組成

タルチレリン錠5mg「アメル」

有効成分1錠中、日局タルチレリン水和物   5mgを含有する。
添加剤D-マンニトール、トウモロコシデンプン、ポリビニルアルコール(部分けん化物)、ステアリン酸マグネシウム

タルチレリンOD錠5mg「アメル」

有効成分1錠中、日局タルチレリン水和物   5mgを含有する。
添加剤無水リン酸水素カルシウム、結晶セルロース、カルメロースカルシウム、軽質無水ケイ酸、スクラロース、ステアリン酸マグネシウム

3.2 製剤の性状

タルチレリン錠5mg「アメル」

剤形割線入り素錠
色調白色
外形表面
裏面
側面
大きさ直径約7.0mm
厚さ約3.0mm
質量約120.0mg
識別コードKw324/TAL5

タルチレリンOD錠5mg「アメル」

剤形割線入り素錠
色調白色
外形表面
裏面
側面
大きさ直径約7.0mm
厚さ約2.6mm
質量約110.0mg
識別コードKW TAL/OD5

4. 効能又は効果

脊髄小脳変性症における運動失調の改善

5. 効能又は効果に関連する注意

  1. 5.1 運動失調を呈する類似疾患が他にも知られていることから、病歴の聴取及び全身の理学的所見に基づいた確定診断のうえ投与を行うこと。

6. 用法及び用量

通常、成人にはタルチレリン水和物として1回5mg、1日2回(朝、夕)食後に経口投与する。
なお、年齢、症状により適宜増減する。

9. 特定の背景を有する患者に関する注意

9.1 合併症・既往歴等のある患者

  1. 9.1.1 内分泌異常のある患者

    臨床症状を観察し、必要に応じて血中ホルモン濃度(TSH、プロラクチン等)を測定することが望ましい。

9.2 腎機能障害患者

重度の腎機能障害患者1例で血漿中濃度が約4.2倍上昇した。

9.5 妊婦

妊婦又は妊娠している可能性のある女性には、治療上の有益性が危険性を上回ると判断される場合にのみ投与すること。

9.6 授乳婦

授乳しないことが望ましい。動物実験(ラット)で乳汁への移行が認められている。

9.7 小児等

小児等を対象とした臨床試験は実施していない。

9.8 高齢者

用量に注意して投与すること。本剤は主として腎臓から排泄されるが、高齢者では腎機能が低下していることが多いため、高い血中濃度が持続するおそれがある。

11. 副作用

次の副作用があらわれることがあるので、観察を十分に行い、異常が認められた場合には投与を中止するなど適切な処置を行うこと。

11.1 重大な副作用

  1. 11.1.1 痙攣(1%未満)
  2. 11.1.2 悪性症候群(1%未満)

    発熱、無動緘黙、筋強剛、脱力、頻脈、血圧の変動等があらわれることがあるので、このような症状があらわれた場合には投与を中止し、体冷却、水分補給などの適切な処置を行うこと。また、本症発症時には、白血球の増加や血清CKの上昇があらわれることが多く、また、ミオグロビン尿を伴う腎機能の低下があらわれることがある。

  3. 11.1.3 肝機能障害、黄疸(いずれも1%未満)

    AST、ALT、ALP、LDH、γ-GTPの上昇等を伴う肝機能障害や黄疸があらわれることがある。

  4. 11.1.4 ショック様症状(頻度不明)

    一過性の血圧低下、意識喪失等のショック様症状があらわれることがある。

  5. 11.1.5 血小板減少(頻度不明)

11.2 その他の副作用

0.1~5%未満

0.1%未満

血液

赤血球減少、ヘモグロビン減少

循環器

血圧及び脈拍数の変動、動悸

消化器

悪心、嘔吐、下痢、食欲不振、胃部不快感、胃炎、腹痛、口渇、便秘

舌炎

肝臓

AST、ALT、γ-GTP、ALP、LDH、トリグリセリド、総コレステロールの上昇

腎臓

BUNの上昇

精神神経系

頭痛、めまい、ふらつき、振戦

しびれ、眠気、頭がボーっとする、不眠

過敏症

発疹、そう痒

内分泌

TSHの変動、甲状腺ホルモン(T3、T4)、プロラクチンの上昇

女性化乳房

その他

CKの上昇、血糖上昇、熱感、倦怠感、頻尿

脱毛

注)発現頻度は、製造販売後調査の結果を含む。

14. 適用上の注意

14.1 薬剤調製時の注意

  • 〈OD錠〉
    1. 14.1.1 自動分包機には適さない(通常の錠剤に比べてやわらかい)。

14.2 薬剤交付時の注意

  • 〈製剤共通〉
    1. 14.2.1 PTP包装の薬剤はPTPシートから取り出して服用するよう指導すること。PTPシートの誤飲により、硬い鋭角部が食道粘膜へ刺入し、更には穿孔をおこして縦隔洞炎等の重篤な合併症を併発することがある。
  • 〈OD錠〉
    1. 14.2.2 吸湿性を有するため、服用直前にPTPシートから取り出すよう指導すること。
    2. 14.2.3 欠けや割れが生じた場合は全量服用するよう指導すること。
    3. 14.2.4 本剤は舌の上にのせて唾液を浸潤させると崩壊するため、水なしで服用可能である。また、水で服用することもできる。
    4. 14.2.5 寝たままの状態では、水なしで服用しないこと。

16. 薬物動態

16.1 血中濃度

  1. 16.1.1 単回投与

    健康成人男子6例にタルチレリン水和物錠0.5~40mgを単回経口投与1)した時の血漿中タルチレリン濃度は投与約3時間後で最高濃度(0.15~10.81ng/mL)に達し、消失半減期はおよそ2時間であった。Cmax及びAUCは用量に比例して増加し、Tmax及びT1/2は投与量にかかわらずほぼ一定値を示した1)

  2. 16.1.2 反復投与

    健康成人男子6例に対するタルチレリン水和物錠2.5mg1日2回あるいは5mg1日1回2週間反復経口投与1)によっても蓄積性は認められず、投与初日と14日目の血漿中濃度推移に差はみられなかった2)

  3. 16.1.3 生物学的同等性試験
    • 〈タルチレリン錠5mg「アメル」〉

      タルチレリン錠5mg「アメル」とセレジスト錠5mgを、クロスオーバー法によりそれぞれ1錠(タルチレリン水和物として5mg)健康成人男子に絶食単回経口投与して血漿中未変化体濃度を測定し、得られた薬物動態パラメータ(AUC、Cmax)について90%信頼区間法にて統計解析を行った結果、log(0.80)〜log(1.25)の範囲内であり、両剤の生物学的同等性が確認された3)
      (注)本剤の承認された用法は、食後投与である。

      薬物動態パラメータ(生物学的同等性)

      判定パラメータ

      参考パラメータ

      AUC(0→12)
      (ng・hr/mL)

      Cmax
      (ng/mL)

      Tmax
      (hr)

      T1/2
      (hr)

      タルチレリン錠5mg「アメル」

      10.13±4.14

      1.88±0.96

      3.00±1.08

      1.99±0.71

      セレジスト錠5mg

      9.31±2.95

      1.73±0.65

      3.19±0.82

      1.92±0.26

      (Mean±S.D.,n=24)

      血漿中未変化体濃度(生物学的同等性)
    • 〈タルチレリンOD錠5mg「アメル」〉
      1. (1) 水なしで服用

        タルチレリンOD錠5mg「アメル」とセレジストOD錠5mgを、クロスオーバー法によりそれぞれ1錠(タルチレリン水和物として5mg)健康成人男子に水なしで絶食単回経口投与して血漿中未変化体濃度を測定し、得られた薬物動態パラメータ(AUC、Cmax)について90%信頼区間法にて統計解析を行った結果、log(0.80)〜log(1.25)の範囲内であり、両剤の生物学的同等性が確認された3)
        (注)本剤の承認された用法は、食後投与である。

        薬物動態パラメータ(生物学的同等性、水なし)

        判定パラメータ

        参考パラメータ

        AUC(0→12)
        (ng・hr/mL)

        Cmax
        (ng/mL)

        Tmax
        (hr)

        T1/2
        (hr)

        タルチレリンOD錠
        5mg「アメル」

        14.88±6.00

        2.75±1.51

        3.30±1.26

        2.27±0.38

        セレジストOD錠5mg

        14.43±4.27

        2.66±0.97

        3.38±1.23

        2.37±0.49

        (Mean±S.D.,n=20)

        血漿中未変化体濃度(生物学的同等性、水なし)
      2. (2) 水ありで服用

        タルチレリンOD錠5mg「アメル」とセレジストOD錠5mgを、クロスオーバー法によりそれぞれ1錠(タルチレリン水和物として5mg)健康成人男子に水ありで絶食単回経口投与して血漿中未変化体濃度を測定し、得られた薬物動態パラメータ(AUC、Cmax)について統計解析を行った結果、判定パラメータの対数値の平均値の差がlog(0.90)〜log(1.11)で、かつ、溶出試験で規定するすべての条件で溶出挙動が類似していたことから、両剤の生物学的同等性が確認された3)
        (注)本剤の承認された用法は、食後投与である。

        薬物動態パラメータ(生物学的同等性、水あり)

        判定パラメータ

        参考パラメータ

        AUC(0→12)
        (ng・hr/mL)

        Cmax
        (ng/mL)

        Tmax
        (hr)

        T1/2
        (hr)

        タルチレリンOD錠
        5mg「アメル」

        16.21±6.04

        2.97±1.41

        3.65±0.97

        2.45±0.43

        セレジストOD錠5mg

        16.34±11.37

        3.01±2.76

        3.60±1.10

        2.37±0.60

        (Mean±S.D.,n=20)

        血漿中未変化体濃度(生物学的同等性、水あり)

        血漿中濃度並びにAUC、Cmax等のパラメータは、被験者の選択、体液の採取回数・時間等の試験条件によって異なる可能性がある。

16.2 吸収

健康成人男子にタルチレリン水和物錠5mgを空腹時及び食後に単回投与した時の血漿中タルチレリン濃度のCmaxは食後で空腹時のおよそ77%、AUCは食後で空腹時のおよそ75%と低下がみられた4)

16.3 分布

健康成人男子にタルチレリン水和物錠5mgを単回経口投与した場合、投与3及び6時間後の血漿蛋白へのタルチレリンの結合は認められなかった5)

16.4 代謝

健康成人にタルチレリン水和物錠5mgを単回経口投与した場合、血漿及び尿中に代謝物としてプロリンアミドから脱アミノしたアシド体が認められた1),6)

16.5 排泄

健康成人にタルチレリン水和物錠5mgを単回経口投与した場合、投与24時間後までの未変化体と代謝物アシド体の尿中排泄量はともに投与量の1~2%であった1)

1) 本剤の承認された用法及び用量は、通常、1回5mg1日2回である。

17. 臨床成績

17.1 有効性及び安全性に関する試験

  1. 17.1.1 国内第Ⅲ相試験

    脊髄小脳変性症427例を対象に、プラセボを対照としたタルチレリン水和物錠1日10mg1日2回経口投与の最長1年間投与の二重盲検群間比較試験の結果、投与28週後の種々の運動失調検査では明確な差を認めていないが、主たる評価項目である全般改善度及び運動失調検査概括改善度で、タルチレリン水和物錠は有意にプラセボに優れることが示された。また、28週後のKaplan-Meier法による累積悪化率はタルチレリン水和物錠投与群27.7%、プラセボ投与群41.7%であり、その差は有意であった。なお、投与1年後までの全般改善度(悪化率)のlog-rank検定では、プラセボとの差を認めなかった。
    副作用は199例中28例(14.1%)に認められ、主な副作用は、めまい・ふらつき、胃部不快感、悪心及び食欲不振であった7),8)

18. 薬効薬理

18.1 作用機序

  1. 18.1.1 種々の受容体及びイオンチャンネルに対するタルチレリン水和物の親和性の検討では、TRH受容体に対してのみ親和性を示した9)
  2. 18.1.2 諸種神経伝達物質の遊離及び代謝回転に対するタルチレリン水和物の作用の検討では、ラットの脳内アセチルコリン及びドパミンの遊離をそれぞれ0.1mg/kg以上及び1mg/kg以上の腹腔内投与で持続的に促進し、更に神経伝達物質の代謝回転あるいは合成も促進することが認められた10),11)

18.2 運動失調改善作用

  1. 18.2.1 遺伝性運動失調マウスであるRolling Mouse Nagoyaに対してタルチレリン水和物(1mg/kg、経口投与)は、転倒指数(転倒回数/自発運動量)を改善するとともに、脳幹腹側被蓋野の低下していた脳グルコース代謝率を正常レベルへ上昇させた(3mg/kg、腹腔内投与)12),13)
  2. 18.2.2 3-アセチルピリジンによる運動失調ラットに対してタルチレリン水和物(3mg/kg、経口投与)は、運動失調(歩行速度、歩長、歩角)を改善した。なお、この効果は興奮性アミノ酸拮抗薬により消失した12),14)
  3. 18.2.3 ラットを用いた毒性試験では、1.5mg/kg、経口投与以上で薬効に基づくと思われる一過性の運動亢進、身震い等が発現した15)

18.3 神経栄養因子様作用

タルチレリン水和物は10-12Mで、ラット胎児の脊髄腹側培養細胞において神経突起進展を濃度依存的に促進させ、ラット新生児の坐骨神経切断後の運動ニューロン変性を2mg/kg/日の2週間反復腹腔内投与により抑制した16),17)

18.4 下垂体-甲状腺ホルモン刺激作用

  1. 18.4.1 健康成人男子を対象としたタルチレリン水和物0.5~40mgの単回経口投与にてTSH分泌刺激作用が検討され、1回5mg以上の投与量より用量依存的な血中TSH濃度の上昇がみられた。また、1回10mg以上にてT3の有意な上昇がみられた1)
  2. 18.4.2 タルチレリン水和物2.75μmol/bodyの経口投与は雄ラットの血中TSHを投与3時間後まで対照群の最大5倍まで上昇させた。同程度のTSH上昇効果がTRH0.275μmol/bodyの経口投与にて観察された18),19)

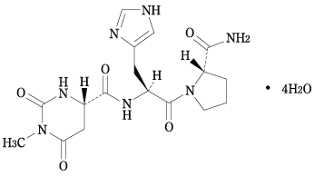
19. 有効成分に関する理化学的知見

一般的名称

タルチレリン水和物(Taltirelin Hydrate)

化学名

N-[(4S)-1-Methyl-2,6-dioxohexahydropyrimidine-4-carbonyl]-L-histidyl-L-prolinamide tetrahydrate

分子式

C17H23N7O5・4H2O

分子量

477.47

性状

白色の結晶又は結晶性の粉末である。
水、エタノール(99.5)又は酢酸(100)に溶けやすく、メタノールにやや溶けやすい。
1mol/L塩酸試液に溶ける。
結晶多形が認められる。

化学構造式

20. 取扱い上の注意

  • 〈錠〉
  • PTP包装開封後は、湿気を避けて保存すること。
  • 〈OD錠〉
  • アルミピロー包装開封後は、湿気を避けて保存すること。

22. 包装

  • 〈タルチレリン錠5mg「アメル」〉

    28錠[14錠(PTP)×2]

  • 〈タルチレリンOD錠5mg「アメル」〉

    28錠[14錠(PTP)×2]

23. 主要文献

1) 甲斐沼正, 他:臨床医薬. 1997;13(10):2501-2516

2) 甲斐沼正, 他:臨床医薬. 1997;13(10):2517-2532

3) 社内資料:生物学的同等性試験[錠5mg、OD錠5mg]

4) 藤田雅巳, 他:臨床医薬. 1997;13(13):3359-3369

5) 分布(セレジスト錠:2000年7月3日承認、申請資料概要 ヘ.Ⅱ.2.(5))

6) 代謝(セレジスト錠:2000年7月3日承認、申請資料概要 ヘ.Ⅲ.1.(1))

7) 金澤一郎, 他:臨床医薬. 1997;13(16):4169-4224

8) 国内第Ⅲ相試験(セレジスト錠:2000年7月3日承認、申請資料概要 ト.Ⅰ.3)

9) 作用機序(セレジスト錠:2000年7月3日承認、申請資料概要 ホ.Ⅳ)

10) Kinoshita, K. et al.:Jpn. J. Pharmacol. 1996;71(2):139-145

11) Fukuchi, I. et al.:Arzneimittelforschung. 1998;48(4):353-359

12) Kinoshita, K. et al.:Eur. J. Pharmacol. 1995;274(1-3):65-72

13) Kinoshita, K. et al.:Br. J. Pharmacol. 1995;116(8):3274-3278

14) Kinoshita, K. et al.:Eur. J. Pharmacol. 1998;343(2-3):129-133

15) 運動失調改善作用(セレジスト錠:2000年7月3日承認、申請資料概要 ニ.Ⅲ.1)

16) Iwasaki, Y. et al.:J. Neurol. Sci. 1992;112(1-2):147-151

17) Iwasaki, Y. et al.:Neurol. Res. 1997;19(6):613-616

18) 森安眞津子, 他:日薬理誌. 1996;107(6):285-297

19) 下垂体-甲状腺ホルモン刺激作用(セレジスト錠:2000年7月3日承認、申請資料概要 ホ.Ⅱ.8)

24. 文献請求先及び問い合わせ先

共和薬品工業株式会社 お問い合わせ窓口

〒530-0005 大阪市北区中之島3-2-4

 0120-041-189
FAX 06-6121-2858

26. 製造販売業者等

26.1 製造販売元

共和薬品工業株式会社

大阪市北区中之島3-2-4

〒100-0013 東京都千代田区霞が関3-3-2 新霞が関ビル

画面を閉じる

Copyright © Pharmaceuticals and Medical Devices Agency, All Rights reserved.