医療用医薬品 詳細表示

エナラプリルマレイン酸塩錠2.5mg「アメル」/エナラプリルマレイン酸塩錠5mg「アメル」/エナラプリルマレイン酸塩錠10mg「アメル」

処方せん医薬品

添付文書番号
企業コード
作成又は改訂年月
日本標準商品分類番号
薬効分類名
承認等
一般的名称
2.禁忌(次の患者には投与しないこと)
3.組成・性状
3.1組成
3.2製剤の性状
4.効能又は効果
5.効能又は効果に関連する注意
6.用法及び用量
7.用法及び用量に関連する注意
8.重要な基本的注意
9.特定の背景を有する患者に関する注意
9.1合併症・既往歴等のある患者
9.2腎機能障害患者
9.4生殖能を有する者
9.5妊婦
9.6授乳婦
9.7小児等
9.8高齢者
10.相互作用
10.1併用禁忌(併用しないこと)
10.2併用注意(併用に注意すること)
11.副作用
11.1重大な副作用
11.2その他の副作用
13.過量投与
14.適用上の注意
15.その他の注意
15.1臨床使用に基づく情報
16.薬物動態
16.1血中濃度
16.5排泄
16.6特定の背景を有する患者
16.8その他
17.臨床成績
17.1有効性及び安全性に関する試験
18.薬効薬理
18.1作用機序
18.2高血圧に対する作用
18.3慢性心不全に対する作用
19.有効成分に関する理化学的知見
20.取扱い上の注意
22.包装
23.主要文献
24.文献請求先及び問い合わせ先
26.製造販売業者等

エナラプリルマレイン酸塩錠2.5mg「アメル」/エナラプリルマレイン酸塩錠5mg「アメル」/エナラプリルマレイン酸塩錠10mg「アメル」

添付文書番号

2144002F1393_1_01

企業コード

672173

作成又は改訂年月

2023年9月改訂(第1版)

日本標準商品分類番号

872144
872179

薬効分類名

持続性アンジオテンシン変換酵素阻害剤

承認等

エナラプリルマレイン酸塩錠2.5mg「アメル」

販売名コード

YJコード

2144002F1393

販売名英語表記

Enalapril Maleate Tablets「AMEL」

承認番号等

承認番号

30100AMX00360

販売開始年月

2011年6月

貯法・有効期間

貯法

室温保存

有効期間

3年

基準名

日本薬局方

エナラプリルマレイン酸塩錠

エナラプリルマレイン酸塩錠5mg「アメル」

販売名コード

YJコード

2144002F2446

販売名英語表記

Enalapril Maleate Tablets「AMEL」

承認番号等

承認番号

30100AMX00363

販売開始年月

2000年7月

貯法・有効期間

貯法

室温保存

有効期間

3年

基準名

日本薬局方

エナラプリルマレイン酸塩錠

エナラプリルマレイン酸塩錠10mg「アメル」

販売名コード

YJコード

2144002F3361

販売名英語表記

Enalapril Maleate Tablets「AMEL」

承認番号等

承認番号

30100AMX00361

販売開始年月

2010年5月

貯法・有効期間

貯法

室温保存

有効期間

3年

基準名

日本薬局方

エナラプリルマレイン酸塩錠

一般的名称

エナラプリルマレイン酸塩

2. 禁忌(次の患者には投与しないこと)

  1. 2.1 本剤の成分に対し過敏症の既往歴のある患者
  2. 2.2 血管浮腫の既往歴のある患者(アンジオテンシン変換酵素阻害剤等の薬剤による血管浮腫、遺伝性血管浮腫、後天性血管浮腫、特発性血管浮腫等)[高度の呼吸困難を伴う血管浮腫を発現することがある。]
  3. 2.3 デキストラン硫酸固定化セルロース、トリプトファン固定化ポリビニルアルコール又はポリエチレンテレフタレートを用いた吸着器によるアフェレーシスを施行中の患者
  4. 2.4 アクリロニトリルメタリルスルホン酸ナトリウム膜(AN69)を用いた血液透析施行中の患者,
  5. 2.5 妊婦又は妊娠している可能性のある女性
  6. 2.6 アリスキレンを投与中の糖尿病患者(ただし、他の降圧治療を行ってもなお血圧のコントロールが著しく不良の患者を除く)
  7. 2.7 アンジオテンシン受容体ネプリライシン阻害薬(サクビトリルバルサルタンナトリウム水和物)を投与中の患者、あるいは投与中止から36時間以内の患者

3. 組成・性状

3.1 組成

エナラプリルマレイン酸塩錠2.5mg「アメル」

有効成分1錠中、日局エナラプリルマレイン酸塩2.5mgを含有する。  
添加剤乳糖水和物、トウモロコシデンプン、炭酸水素ナトリウム、アルファー化デンプン、ステアリン酸マグネシウム

エナラプリルマレイン酸塩錠5mg「アメル」

有効成分1錠中、日局エナラプリルマレイン酸塩5mgを含有する。  
添加剤乳糖水和物、トウモロコシデンプン、部分アルファー化デンプン、炭酸水素ナトリウム、軽質無水ケイ酸、タルク、ステアリン酸マグネシウム、黄色5号アルミニウムレーキ

エナラプリルマレイン酸塩錠10mg「アメル」

有効成分1錠中、日局エナラプリルマレイン酸塩10mgを含有する。  
添加剤乳糖水和物、トウモロコシデンプン、炭酸水素ナトリウム、アルファー化デンプン、ステアリン酸マグネシウム、三二酸化鉄、黄色三二酸化鉄

3.2 製剤の性状

エナラプリルマレイン酸塩錠2.5mg「アメル」

剤形素錠
色調白色
外形表面
裏面
側面
大きさ直径約6.5mm
厚さ約2.3mm
質量約100mg
識別コードKW078

エナラプリルマレイン酸塩錠5mg「アメル」

剤形割線入り素錠
色調淡黄赤色
外形表面
裏面
側面
大きさ直径約6.5mm
厚さ約2.3mm
質量約100mg
識別コードKW080

エナラプリルマレイン酸塩錠10mg「アメル」

剤形割線入り素錠
色調うすい桃色
外形表面
裏面
側面
大きさ直径約8.0mm
厚さ約3.2mm
質量約200mg
識別コードKW082

4. 効能又は効果

  • 本態性高血圧症、腎性高血圧症、腎血管性高血圧症、悪性高血圧
  • 下記の状態で、ジギタリス製剤、利尿剤等の基礎治療剤を投与しても十分な効果が認められない場合
    慢性心不全(軽症~中等症)

5. 効能又は効果に関連する注意

  • 〈慢性心不全(軽症~中等症)〉
    1. 5.1 ジギタリス製剤、利尿剤等の基礎治療剤で十分な効果が認められない患者にのみ、本剤を追加投与すること。なお、本剤の単独投与での有用性は確立されていない。
    2. 5.2 重症の慢性心不全に対する本剤の有用性は確立されていない。使用経験が少ない。

6. 用法及び用量

  • 〈高血圧症〉

    通常、成人に対しエナラプリルマレイン酸塩として5~10mgを1日1回経口投与する。
    なお、年齢、症状により適宜増減する。
    但し、腎性・腎血管性高血圧症又は悪性高血圧の患者では2.5mgから投与を開始することが望ましい。
    通常、生後1ヵ月以上の小児には、エナラプリルマレイン酸塩として0.08mg/kgを1日1回経口投与する。
    なお、年齢、症状により適宜増減する。

  • 〈慢性心不全(軽症~中等症)〉

    本剤はジギタリス製剤、利尿剤等と併用すること。
    通常、成人に対しエナラプリルマレイン酸塩として5~10mgを1日1回経口投与する。
    なお、年齢、症状により適宜増減する。
    但し、腎障害を伴う患者又は利尿剤投与中の患者では2.5mg(初回量)から投与を開始することが望ましい。

7. 用法及び用量に関連する注意

小児等に投与する場合には、1日10mgを超えないこと。

8. 重要な基本的注意

  1. 8.1 初回投与後、一過性の急激な血圧低下を起こす場合があるので、血圧等の観察を十分に行うこと。
  2. 8.2 手術前24時間は投与しないことが望ましい。アンジオテンシン変換酵素阻害剤投与中の患者は、麻酔及び手術中にレニン・アンジオテンシン系の抑制作用による血圧低下を起こすおそれがある。
  3. 8.3 降圧作用に基づくめまい、ふらつきがあらわれることがあるので、高所作業、自動車の運転等危険を伴う機械を操作する際には注意させること。
  4. 8.4 急性腎障害があらわれることがあるので、定期的に検査を実施するなど観察を十分に行うこと。
  5. 8.5 重篤な血液障害があらわれることがあるので、定期的に検査を実施するなど観察を十分に行うこと。

9. 特定の背景を有する患者に関する注意

9.1 合併症・既往歴等のある患者

  • 〈効能共通〉
    1. 9.1.1 両側性腎動脈狭窄のある患者又は片腎で腎動脈狭窄のある患者

      治療上やむを得ないと判断される場合を除き、使用は避けること。腎血流量の減少や糸球体ろ過圧の低下により急速に腎機能を悪化させるおそれがある。

    2. 9.1.2 高カリウム血症の患者

      治療上やむを得ないと判断される場合を除き、使用は避けること。高カリウム血症を増悪させるおそれがある。
      また、腎機能障害、コントロール不良の糖尿病等により血清カリウム値が高くなりやすい患者では、血清カリウム値に注意すること。

    3. 9.1.3 脳血管障害のある患者

      過度の降圧が脳血流不全を惹起し、病態を悪化させることがある。

    4. 9.1.4 厳重な減塩療法中の患者

      本剤の投与を低用量から開始し、増量する場合は徐々に行うこと。初回投与後、一過性の急激な血圧低下を起こすおそれがある。

  • 〈高血圧症〉
    1. 9.1.5 重症の高血圧症患者

      本剤の投与を低用量から開始し、増量する場合は徐々に行うこと。初回投与後、一過性の急激な血圧低下を起こすおそれがある。

9.2 腎機能障害患者

  • 〈効能共通〉
    1. 9.2.1 重篤な腎機能障害のある患者

      クレアチニンクリアランスが30mL/min以下、又は血清クレアチニンが3mg/dL以上の場合には、投与量を減らすか、もしくは投与間隔をのばすなど慎重に投与すること。本剤の活性代謝物の血中濃度が上昇し、過度の血圧低下、腎機能の悪化が起きるおそれがある。

  • 〈高血圧症〉
    1. 9.2.2 血液透析中の患者

      本剤の投与を低用量から開始し、増量する場合は徐々に行うこと。初回投与後、一過性の急激な血圧低下を起こすおそれがある。

  • 〈慢性心不全(軽症~中等症)〉
    1. 9.2.3 腎障害のある患者

      本剤の投与を低用量から開始し、増量する場合は徐々に行うこと。初回投与後、一過性の急激な血圧低下を起こすおそれがある。

9.4 生殖能を有する者

  1. 9.4.1 妊娠する可能性のある女性

    妊娠していることが把握されずアンジオテンシン変換酵素阻害剤又はアンジオテンシンII受容体拮抗剤を使用し、胎児・新生児への影響(腎不全、頭蓋・肺・腎の形成不全、死亡等)が認められた例が報告されている1),2)

    本剤の投与に先立ち、代替薬の有無等も考慮して本剤投与の必要性を慎重に検討し、治療上の有益性が危険性を上回ると判断される場合にのみ投与すること。また、投与が必要な場合には次の注意事項に留意すること。

    1. (1) 本剤投与開始前に妊娠していないことを確認すること。本剤投与中も、妊娠していないことを定期的に確認すること。投与中に妊娠が判明した場合には、直ちに投与を中止すること。
    2. (2) 次の事項について、本剤投与開始時に患者に説明すること。また、投与中も必要に応じ説明すること。
      • 妊娠中に本剤を使用した場合、胎児・新生児に影響を及ぼすリスクがあること。
      • 妊娠が判明した又は疑われる場合は、速やかに担当医に相談すること。
      • 妊娠を計画する場合は、担当医に相談すること。

9.5 妊婦

妊婦又は妊娠している可能性のある女性には投与しないこと。投与中に妊娠が判明した場合には、直ちに投与を中止すること。妊娠中期及び末期にアンジオテンシン変換酵素阻害剤又はアンジオテンシンII受容体拮抗剤を投与された患者で羊水過少症、胎児・新生児の死亡、新生児の低血圧、腎不全、高カリウム血症、頭蓋の形成不全及び羊水過少症によると推測される四肢の拘縮、頭蓋顔面の変形、肺の低形成等があらわれたとの報告がある。また、海外で実施されたレトロスペクティブな疫学調査で、妊娠初期にアンジオテンシン変換酵素阻害剤を投与された患者群において、胎児奇形の相対リスクは降圧剤が投与されていない患者群に比べ高かったとの報告がある。,

9.6 授乳婦

治療上の有益性及び母乳栄養の有益性を考慮し、授乳の継続又は中止を検討すること。ヒト母乳中へ移行することが報告されている。

9.7 小児等

低出生体重児、新生児及びeGFRが30mL/min/1.73m2未満の小児等を対象とした臨床試験は実施していない。

9.8 高齢者

低用量から投与を開始するなど慎重に投与すること。一般に過度の降圧は好ましくないとされている。脳梗塞等が起こるおそれがある。

10. 相互作用

    10.1 併用禁忌(併用しないこと)

    薬剤名等臨床症状・措置方法機序・危険因子

    デキストラン硫酸固定化セルロース、トリプトファン固定化ポリビニルアルコール又はポリエチレンテレフタレートを用いた吸着器によるアフェレーシスの施行:

    • リポソーバー
      イムソーバTR
      セルソーバ

    血圧低下、潮紅、嘔気、嘔吐、腹痛、しびれ、熱感、呼吸困難、頻脈等のショック症状を起こすことがある。

    陰性に荷電したデキストラン硫酸固定化セルロース、トリプトファン固定化ポリビニルアルコール又はポリエチレンテレフタレートにより血中キニン系の代謝が亢進し、ブラジキニン産生が増大する。更にACE阻害薬はブラジキニンの代謝を阻害するため、ブラジキニンの蓄積が起こるとの考えが報告されている。

    アクリロニトリルメタリルスルホン酸ナトリウム膜を用いた透析:

    • AN69

    ,

    アナフィラキシーを発現することがある。

    多価イオン体であるAN69により血中キニン系の代謝が亢進し、本剤によりブラジキニンの代謝が妨げられ蓄積すると考えられている。

    アリスキレン

    • ラジレス

    (糖尿病患者に使用する場合。ただし、他の降圧治療を行ってもなお血圧のコントロールが著しく不良の患者を除く。)

    非致死性脳卒中、腎機能障害、高カリウム血症及び低血圧のリスク増加が報告されている。

    レニン・アンジオテンシン系阻害作用が増強される可能性がある。

    アンジオテンシン受容体ネプリライシン阻害薬(ARNI):

    • サクビトリルバルサルタンナトリウム水和物
      • エンレスト

    血管浮腫があらわれるおそれがある。本剤投与終了後にARNIを投与する場合は、本剤の最終投与から36時間後までは投与しないこと。また、ARNI が投与されている場合は、少なくとも本剤投与開始36時間前に中止すること。

    併用により相加的にブラジキニンの分解が抑制され、ブラジキニンの血中濃度が上昇する可能性がある。

    10.2 併用注意(併用に注意すること)

    薬剤名等臨床症状・措置方法機序・危険因子

    カリウム保持性利尿剤:

    • スピロノラクトン
    • トリアムテレン

    カリウム補給剤:

    • 塩化カリウム

    トリメトプリム含有製剤:

    • スルファメトキサゾール・トリメトプリム

    血清カリウム値が上昇することがある。

    本剤はアルドステロン分泌抑制に基づく尿中へのカリウム排泄抑制作用を有するため、併用によりカリウム貯留作用が増強する。腎機能障害のある患者には特に注意すること。

    リチウム:

    • 炭酸リチウム

    リチウム中毒が報告されている。血中リチウム濃度に注意すること。

    本剤のナトリウム排泄作用により、リチウムの蓄積が起こると考えられている。

    アリスキレン

    腎機能障害、高カリウム血症及び低血圧を起こすおそれがある。eGFRが60mL/min/1.73m2未満の腎機能障害のある患者へのアリスキレンとの併用については、治療上やむを得ないと判断される場合を除き避けること。

    レニン・アンジオテンシン系阻害作用が増強される可能性がある。

    アンジオテンシンⅡ受容体拮抗剤

    腎機能障害、高カリウム血症及び低血圧を起こすおそれがある。

    レニン・アンジオテンシン系阻害作用が増強される可能性がある。

    利尿降圧剤、利尿剤:

    • ヒドロクロロチアジド

    初回投与後、一過性の急激な血圧低下を起こすおそれがある。本剤の投与を低用量から開始し、増量する場合は徐々に行うこと。

    利尿降圧剤服用中の患者では、ナトリウム利尿により血中レニン活性が上昇し、本剤の降圧効果が増強することがある。
    本剤より先に利尿降圧剤を投与中の患者(特に最近投与を開始した患者)には特に注意すること。

    カリジノゲナーゼ製剤

    過度の血圧低下が引き起こされる可能性がある。

    本剤のキニン分解抑制作用とカリジノゲナーゼ製剤のキニン産生作用により、血中キニン濃度が増大し血管平滑筋の弛緩が増強される可能性がある。

    ニトログリセリン

    降圧作用が増強されることがある。

    機序不明

    非ステロイド性消炎鎮痛剤:

    • インドメタシン等

    降圧作用が減弱されることがある。

    インドメタシンは血管拡張作用を有するプロスタグランジンE2、I2の生成を抑制するため、本剤のプロスタグランジン生成促進作用による降圧作用を減弱させる可能性があると考えられている。

    非ステロイド性消炎鎮痛剤:

    • インドメタシン等

    腎機能が悪化している患者では、さらに腎機能が悪化するおそれがある。

    プロスタグランジンの合成阻害作用により、腎血流量が低下するためと考えられる。

    リファンピシン

    降圧作用が減弱されることがある。

    機序不明

    ビルダグリプチン

    血管浮腫のリスクが増加するおそれがある。

    機序不明

    11. 副作用

    次の副作用があらわれることがあるので、観察を十分に行い、異常が認められた場合には投与を中止するなど適切な処置を行うこと。

    11.1 重大な副作用

    1. 11.1.1 血管浮腫(頻度不明)

      呼吸困難を伴う顔面、舌、声門、喉頭の腫脹を症状とする血管浮腫があらわれた場合には、直ちに投与を中止し、アドレナリン注射、気道確保等適切な処置を行うこと。また、腹痛、嘔気、嘔吐、下痢等を伴う腸管の血管浮腫があらわれることがある。

    2. 11.1.2 ショック(頻度不明)
    3. 11.1.3 心筋梗塞、狭心症(いずれも頻度不明)
    4. 11.1.4 急性腎障害(頻度不明)

    5. 11.1.5 汎血球減少症、無顆粒球症、血小板減少(いずれも頻度不明)

    6. 11.1.6 膵炎(頻度不明)

      血中のアミラーゼ、リパーゼの上昇等があらわれることがある。

    7. 11.1.7 間質性肺炎(頻度不明)

      発熱、咳嗽、呼吸困難、胸部X線異常等を伴う間質性肺炎があらわれることがある。

    8. 11.1.8 剥脱性皮膚炎、中毒性表皮壊死融解症(Toxic Epidermal Necrolysis:TEN)、皮膚粘膜眼症候群(Stevens-Johnson症候群)、天疱瘡(いずれも頻度不明)
    9. 11.1.9 錯乱(頻度不明)
    10. 11.1.10 肝機能障害、肝不全(いずれも頻度不明)
    11. 11.1.11 高カリウム血症(0.8%)
    12. 11.1.12 抗利尿ホルモン不適合分泌症候群(SIADH)(頻度不明)

      低ナトリウム血症、低浸透圧血症、尿中ナトリウム排泄量の増加、高張尿、痙攣、意識障害等を伴う抗利尿ホルモン不適合分泌症候群(SIADH)があらわれた場合には、投与を中止し、水分摂取の制限等適切な処置を行うこと。

    11.2 その他の副作用

    0.1~5%未満

    0.1%未満

    頻度不明

    腎臓

    クレアチニン上昇

    BUN上昇

    血液

    貧血、白血球減少

    ヘモグロビン低下、ヘマトクリット低下、好酸球増多

    皮膚

    発疹、そう痒

    蕁麻疹

    光線過敏症、多汗、脱毛

    精神神経系

    めまい、頭痛、眠気

    不眠

    いらいら感、抑うつ

    循環器

    低血圧、動悸、胸痛

    起立性低血圧、調律障害(頻脈、徐脈)

    消化器

    腹痛、食欲不振、嘔気、下痢、消化不良、口内炎

    嘔吐

    舌炎、便秘

    肝臓

    AST上昇、ALT上昇

    黄疸

    呼吸器

    咳嗽、咽(喉)頭炎

    喘息、嗄声

    その他

    倦怠感、ほてり、口渇、味覚異常、脱力感、しびれ

    発熱、血清ナトリウム値低下

    潮紅、疲労、インポテンス、耳鳴、筋肉痛、低血糖

    13. 過量投与

    1. 13.1 症状

      主な症状は、過度の低血圧である。

    2. 13.2 処置

      過度の低血圧に対しては、生理食塩液の静脈注射等適切な処置を行うこと。本剤の活性代謝物は、血液透析により血中から除去できる。ただし、アクリロニトリルメタリルスルホン酸ナトリウム膜(AN69)を用いた血液透析を行わないこと。,

    14. 適用上の注意

    14.1 薬剤交付時の注意

    PTP包装の薬剤はPTPシートから取り出して服用するよう指導すること。PTPシートの誤飲により、硬い鋭角部が食道粘膜へ刺入し、更には穿孔をおこして縦隔洞炎等の重篤な合併症を併発することがある。

    15. その他の注意

    15.1 臨床使用に基づく情報

    1. 15.1.1 インスリン又は経口血糖降下剤の投与中にアンジオテンシン変換酵素阻害剤を投与することにより、低血糖が起こりやすいとの報告がある。
    2. 15.1.2 外国において、本剤服用中の患者が膜翅目毒(ハチ毒)による脱感作中にアナフィラキシーを発現したとの報告がある。

    16. 薬物動態

    16.1 血中濃度

    1. 16.1.1 単回投与

      健康成人にエナラプリルマレイン酸塩5及び10mgを1回経口投与した場合、速やかに吸収され、活性体ジアシド体の血漿中濃度は投与約4時間でピークに達し、半減期は約14時間である3)

    2. 16.1.2 反復投与

      健康成人にエナラプリルマレイン酸塩5及び10mgを1日1回7日間連続経口投与した場合の血漿中濃度から、蓄積性は認められない4)

    3. 16.1.3 生物学的同等性試験

      エナラプリルマレイン酸塩錠2.5mg「アメル」と標準製剤について、下記のとおりクロスオーバー法により健康成人男子に絶食単回経口投与して血清中エナラプリラト濃度を測定し、得られた薬物動態パラメータ(AUC、Cmax)について90%信頼区間法にて統計解析を行った結果、log(0.80)〜log(1.25)の範囲内であり、両剤の生物学的同等性が確認された5)
      また、エナラプリルマレイン酸塩錠5mg「アメル」と標準製剤について、下記のとおりクロスオーバー法により健康成人男子に絶食単回経口投与して血漿中エナラプリラト濃度を測定し、得られた薬物動態パラメータ(AUC、Cmax)について統計解析を行った結果、両剤の生物学的同等性が確認された5)

      標準製剤

      試験投与量

      血中測定対象

      エナラプリルマレイン酸塩錠2.5mg「アメル」

      レニベース錠2.5

      それぞれ1錠(エナラプリルマレイン酸塩として2.5mg)

      エナラプリラト
      (活性代謝物)

      エナラプリルマレイン酸塩錠5mg「アメル」

      レニベース錠5

      それぞれ1錠(エナラプリルマレイン酸塩として5mg)

      薬物動態パラメータ(生物学的同等性)

      判定パラメータ

      参考パラメータ

      AUC(0→48)
      (ng・hr/mL)

      Cmax
      (ng/mL)

      Tmax
      (hr)

      T1/2
      (hr)

      エナラプリルマレイン酸塩錠2.5mg「アメル」

      98.85±40.53

      9.19±5.15

      6.2±1.2

      10.8±3.3

      レニベース錠2.5

      91.19±31.26

      8.01±4.09

      6.1±1.0

      10.2±4.0

      (Mean±S.D.,n=20)

      血清中エナラプリラト濃度(生物学的同等性)
      薬物動態パラメータ(生物学的同等性)

      AUC(0→36)
      (ng・hr/mL)

      Cmax
      (ng/mL)

      Tmax
      (hr)

      T1/2
      (hr)

      エナラプリルマレイン酸塩錠5mg「アメル」

      247.17±64.62

      20.08±6.28

      3.64±0.50

      12.18±5.00

      レニベース錠5

      258.27±66.44

      20.64±6.46

      3.57±0.51

      11.90±3.23

      (Mean±S.D.,n=14)

      血漿中エナラプリラト濃度(生物学的同等性)

      血中濃度並びにAUC、Cmax等のパラメータは、被験者の選択、体液の採取回数・時間等の試験条件によって異なる可能性がある。

    16.5 排泄

    健康成人にエナラプリルマレイン酸塩5及び10mgを1回経口投与した場合、主に尿中に排泄され、投与後48時間までの総エナラプリルマレイン酸塩(未変化エナラプリルマレイン酸塩+ジアシド体)の尿中排泄率は約52及び64%である3)

    16.6 特定の背景を有する患者

    1. 16.6.1 慢性腎不全患者

      腎機能正常な本態性高血圧症患者及び慢性腎不全を伴う高血圧症患者にエナラプリルマレイン酸塩10mgを1回経口投与した場合、慢性腎不全患者の血漿中濃度は、腎機能正常患者に比べ半減期の延長、最高血中濃度と血中濃度曲線下面積の増大が認められる6)

    2. 16.6.2 小児

      生後2ヵ月~15歳の小児の高血圧症患者に、エナラプリルマレイン酸塩(6歳未満:0.15mg/kg、6歳以上で体重28kg未満:2.5mg、6歳以上で体重28kg以上:5mg、12歳以上:5mg)1)を1日1回7日間反復経口投与した試験において、活性体ジアシド体のAUC0-24hr及びCmaxは年齢によらず同程度であった。体重あたりの用量に換算したAUC0-24hr及びCmaxは年齢に伴って増加したが、体表面積あたりの用量に換算したAUC0-24hr及びCmaxに増加は認められなかった。定常状態で活性体ジアシド体の半減期は14時間であった7)(外国人データ)。

      1) 高血圧症について、本剤の承認された小児の用量は、生後1ヵ月以上の小児にはエナラプリルマレイン酸塩として0.08mg/kgである。

    16.8 その他

    エナラプリルマレイン酸塩錠10mg「アメル」について、「含量が異なる経口固形製剤の生物学的同等性試験ガイドライン(平成18年11月24日 薬食審査発第1124004号)」に基づき、既承認品目であるエナラプリルマレイン酸塩5mg製剤を標準製剤としたとき、溶出挙動が同等と判断され、生物学的に同等とみなされた8)

    17. 臨床成績

    17.1 有効性及び安全性に関する試験

    • 〈高血圧症〉
      1. 17.1.1 国内臨床試験

        軽・中等症本態性高血圧症患者を対象とした二重盲検比較試験及び重症本態性高血圧症患者を対象とした比較試験の結果、エナラプリルマレイン酸塩の有用性が認められている9),10)

    • 〈慢性心不全〉
      1. 17.1.2 国内臨床試験

        国内44施設で実施されたプラセボを対照とした二重盲検比較試験の改善率は49%(32/65例)であり、プラセボに比べ有意に優れており、エナラプリルマレイン酸塩の有用性が認められている11)

    18. 薬効薬理

    18.1 作用機序

    • 〈高血圧症〉
      1. 18.1.1 エナラプリルマレイン酸塩は経口吸収後ジアシド体に加水分解され、このジアシド体がアンジオテンシン変換酵素を阻害し、生理的昇圧物質であるアンジオテンシンⅡの生成を抑制することによって降圧効果を発揮する12)
    • 〈慢性心不全〉
      1. 18.1.2 エナラプリルマレイン酸塩の活性体であるジアシド体が、亢進したレニン・アンジオテンシン・アルドステロン系を抑制することによって、主に末梢血管抵抗を減少させ、前負荷及び後負荷を軽減する。その結果、血行動態が改善され、心拍出量の増大あるいは長期投与による延命効果、心肥大の改善が認められる13)

    18.2 高血圧に対する作用

    1. 18.2.1 アンジオテンシン変換酵素阻害作用

      in vitro試験においてエナラプリルマレイン酸塩のジアシド体はブタの血漿から精製したアンジオテンシン変換酵素、正常血圧ラットの血漿及び組織中のアンジオテンシン変換酵素に対して強い阻害作用を示す。また、ラット及びイヌにエナラプリルマレイン酸塩を経口投与すると外因性のアンジオテンシンⅠに対する昇圧反応を抑制する14)

    2. 18.2.2 降圧作用
      1. (1) エナラプリルマレイン酸塩は高血圧自然発症ラット、1腎型腎性高血圧ラット、2腎型腎性高血圧ラットの血圧を下降させ、その作用はカプトプリルの約3倍強い。なお、その降圧効果は2腎型腎性高血圧ラットにおいて特に著明である 。また、ヒドロクロロチアジドとの併用により降圧効果の増強を示す12),15)
      2. (2) エナラプリルマレイン酸塩を2腎型腎性高血圧ラット、高血圧自然発症ラットに連続経口投与すると投与期間中安定した降圧効果が得られ、また、投与中止に伴う血圧のリバウンド現象は生じない15),16)

    18.3 慢性心不全に対する作用

    1. 18.3.1 血行動態に及ぼす影響
      1. (1) ラットの慢性心不全モデルにおいて、ジアシド体は心拍数、心収縮性にはほとんど影響を与えることなく、前負荷(左室拡張末期圧)及び後負荷(平均動脈圧)を軽減させ、心機能を改善する17)
      2. (2) イヌの慢性心不全モデルにおいて、エナラプリルマレイン酸塩は心拍数にはほとんど影響を与えることなく、末梢血管抵抗を減少させ、心拍出量を増大させる18)
        なお、イヌの急性心不全モデルにおいて、ジアシド体は、上昇した血漿アンジオテンシンⅡ及びアルドステロン濃度を抑制することによって、前負荷(肺動脈楔入圧)及び後負荷(平均動脈圧)を軽減し、心拍出量を増大させることが認められる19)
    2. 18.3.2 延命効果

      ラットの慢性心不全モデルにおいて、エナラプリルマレイン酸塩を1年間経口投与した結果、対照群に比べ生存期間ないし生存率が有意に増加し、さらに心肥大が改善する20),21)

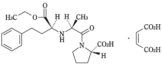
    19. 有効成分に関する理化学的知見

    一般的名称

    エナラプリルマレイン酸塩(Enalapril Maleate)

    化学名

    (2S)-1-{(2S)-2-[(1S)-1-Ethoxycarbonyl-3-phenylpropylamino]propanoyl}pyrrolidine-2-carboxylic acid monomaleate

    分子式

    C20H28N2O5・C4H4O4

    分子量

    492.52

    性状

    白色の結晶又は結晶性の粉末である。
    メタノールに溶けやすく、水又はエタノール(99.5)にやや溶けにくく、アセトニトリルに溶けにくい。
    融点:約145℃(分解)。

    化学構造式

    20. 取扱い上の注意

    開封後は湿気を避けて保存すること。

    22. 包装

    • 〈エナラプリルマレイン酸塩錠2.5mg「アメル」〉

      100錠[10錠(PTP)×10、乾燥剤入り]

    • 〈エナラプリルマレイン酸塩錠5mg「アメル」〉

      100錠[10錠(PTP)×10、乾燥剤入り]
      1,000錠[10錠(PTP)×100、乾燥剤入り]
      500錠[瓶、バラ、乾燥剤入り]

    • 〈エナラプリルマレイン酸塩錠10mg「アメル」〉

      100錠[10錠(PTP)×10、乾燥剤入り]

    24. 文献請求先及び問い合わせ先

    共和薬品工業株式会社 お問い合わせ窓口

    〒530-0005 大阪市北区中之島3-2-4

     0120-041-189
    FAX 06-6121-2858

    26. 製造販売業者等

    26.1 製造販売元

    共和薬品工業株式会社

    大阪市北区中之島3-2-4

    〒100-0013 東京都千代田区霞が関3-3-2 新霞が関ビル

    画面を閉じる

    Copyright © Pharmaceuticals and Medical Devices Agency, All Rights reserved.