医療用医薬品 詳細表示

カルベジロール錠1.25mg「アメル」/カルベジロール錠2.5mg「アメル」/カルベジロール錠10mg「アメル」/カルベジロール錠20mg「アメル」

処方せん医薬品

添付文書番号
企業コード
作成又は改訂年月
日本標準商品分類番号
薬効分類名
承認等
一般的名称
1.警告
2.禁忌(次の患者には投与しないこと)
3.組成・性状
3.1組成
3.2製剤の性状
4.効能又は効果
5.効能又は効果に関連する注意
6.用法及び用量
7.用法及び用量に関連する注意
8.重要な基本的注意
9.特定の背景を有する患者に関する注意
9.1合併症・既往歴等のある患者
9.2腎機能障害患者
9.3肝機能障害患者
9.5妊婦
9.6授乳婦
9.7小児等
9.8高齢者
10.相互作用
10.2併用注意(併用に注意すること)
11.副作用
11.1重大な副作用
11.2その他の副作用
13.過量投与
14.適用上の注意
16.薬物動態
16.1血中濃度
16.4代謝
16.6特定の背景を有する患者
16.8その他
18.薬効薬理
18.1作用機序
19.有効成分に関する理化学的知見
22.包装
23.主要文献
24.文献請求先及び問い合わせ先
26.製造販売業者等

カルベジロール錠1.25mg「アメル」/カルベジロール錠2.5mg「アメル」/カルベジロール錠10mg「アメル」/カルベジロール錠20mg「アメル」

添付文書番号

2149032F1080_3_06

企業コード

672173

作成又は改訂年月

2024年4月改訂(第2版)
2023年11月改訂

日本標準商品分類番号

872149

薬効分類名

カルベジロール錠1.25mg「アメル」 慢性心不全治療剤
カルベジロール錠2.5mg「アメル」 慢性心不全治療剤、頻脈性心房細動治療剤
カルベジロール錠10mg「アメル」 持続性 高血圧・狭心症治療剤、慢性心不全治療剤、頻脈性心房細動治療剤
カルベジロール錠20mg「アメル」 持続性 高血圧・狭心症治療剤、頻脈性心房細動治療剤

承認等

カルベジロール錠1.25mg「アメル」

販売名コード

YJコード

2149032F3067

販売名英語表記

Carvedilol Tablets「AMEL」

承認番号等

承認番号

22800AMX00312

販売開始年月

2016年6月

貯法・有効期間

貯法

室温保存

有効期間

3年

基準名

日本薬局方

カルベジロール錠

カルベジロール錠2.5mg「アメル」

販売名コード

YJコード

2149032F4063

販売名英語表記

Carvedilol Tablets「AMEL」

承認番号等

承認番号

22800AMX00313

販売開始年月

2016年6月

貯法・有効期間

貯法

室温保存

有効期間

3年

基準名

日本薬局方

カルベジロール錠

カルベジロール錠10mg「アメル」

販売名コード

YJコード

2149032F1080

販売名英語表記

Carvedilol Tablets「AMEL」

承認番号等

承認番号

22300AMX00347

販売開始年月

2011年6月

貯法・有効期間

貯法

室温保存

有効期間

3年

基準名

日本薬局方

カルベジロール錠

カルベジロール錠20mg「アメル」

販売名コード

YJコード

2149032F2087

販売名英語表記

Carvedilol Tablets「AMEL」

承認番号等

承認番号

22300AMX00348

販売開始年月

2011年6月

貯法・有効期間

貯法

室温保存

有効期間

3年

基準名

日本薬局方

カルベジロール錠

一般的名称

カルベジロール

1. 警告

  • 〈虚血性心疾患又は拡張型心筋症に基づく慢性心不全〉

    慢性心不全治療の経験が十分にある医師のもとで使用すること。

2. 禁忌(次の患者には投与しないこと)

  1. 2.1 気管支喘息、気管支痙攣のおそれのある患者[気管支筋を収縮させることがあるので喘息症状の誘発、悪化を起こすおそれがある。]
  2. 2.2 糖尿病性ケトアシドーシス、代謝性アシドーシスのある患者[心筋収縮力の抑制が増強されるおそれがある。]
  3. 2.3 高度の徐脈(著しい洞性徐脈)、房室ブロック(Ⅱ、Ⅲ度)、洞房ブロックのある患者[症状が悪化するおそれがある。]
  4. 2.4 心原性ショックの患者[循環不全症が悪化するおそれがある。]
  5. 2.5 強心薬又は血管拡張薬を静脈内投与する必要のある心不全患者[心収縮力抑制作用により、心不全が悪化するおそれがある。]
  6. 2.6 非代償性の心不全患者[心収縮力抑制作用により、心不全が悪化するおそれがある。]
  7. 2.7 肺高血圧による右心不全のある患者[心拍出量が抑制され症状が悪化するおそれがある。]
  8. 2.8 未治療の褐色細胞腫又はパラガングリオーマの患者,
  9. 2.9 本剤の成分に対し過敏症の既往歴のある患者

3. 組成・性状

3.1 組成

カルベジロール錠1.25mg「アメル」

有効成分1錠中、日局カルベジロール   1.25mgを含有する。
添加剤D-マンニトール、トウモロコシデンプン、ヒドロキシプロピルセルロース、クロスカルメロースナトリウム、含水二酸化ケイ素、炭酸水素ナトリウム、ステアリン酸マグネシウム、ヒプロメロース、プロピレングリコール、酸化チタン、黄色三二酸化鉄、カルナウバロウ

カルベジロール錠2.5mg「アメル」

有効成分1錠中、日局カルベジロール   2.5mgを含有する。
添加剤D-マンニトール、トウモロコシデンプン、ヒドロキシプロピルセルロース、クロスカルメロースナトリウム、含水二酸化ケイ素、炭酸水素ナトリウム、ステアリン酸マグネシウム、ヒプロメロース、プロピレングリコール、酸化チタン、カルナウバロウ

カルベジロール錠10mg「アメル」

有効成分1錠中、日局カルベジロール   10mgを含有する。
添加剤乳糖水和物、トウモロコシデンプン、ヒドロキシプロピルセルロース、クロスカルメロースナトリウム、含水二酸化ケイ素、ステアリン酸マグネシウム、ヒプロメロース、マクロゴール6000、酸化チタン、黄色三二酸化鉄、カルナウバロウ

カルベジロール錠20mg「アメル」

有効成分1錠中、日局カルベジロール   20mgを含有する。
添加剤乳糖水和物、トウモロコシデンプン、ヒドロキシプロピルセルロース、クロスカルメロースナトリウム、含水二酸化ケイ素、ステアリン酸マグネシウム、ヒプロメロース、マクロゴール6000、酸化チタン、カルナウバロウ

3.2 製剤の性状

カルベジロール錠1.25mg「アメル」

剤形楕円形をした割線入りフィルムコーティング錠
色調黄色
外形表面
裏面
側面
大きさ長径約10.1mm
短径約5.1mm
厚さ約3.2mm
質量約135.0mg
識別コードKW CAR/1.25

カルベジロール錠2.5mg「アメル」

剤形楕円形をした割線入りフィルムコーティング錠
色調白色
外形表面
裏面
側面
大きさ長径約10.1mm
短径約5.1mm
厚さ約3.2mm
質量約135.0mg
識別コードKW CAR/2.5

カルベジロール錠10mg「アメル」

剤形フィルムコーティング錠
色調黄色
外形表面
裏面
側面
大きさ直径約6.8mm
厚さ約3.6mm
質量約117.0mg
識別コードKw CAR/10

カルベジロール錠20mg「アメル」

剤形割線入りフィルムコーティング錠
色調白色~微黄白色
外形表面
裏面
側面
大きさ直径約8.6mm
厚さ約3.2mm
質量約182.0mg
識別コードKw CAR/20

4. 効能又は効果

  • 本態性高血圧症(軽症~中等症)
  • 腎実質性高血圧症
  • 狭心症
  • 次の状態で、アンジオテンシン変換酵素阻害薬、利尿薬、ジギタリス製剤等の基礎治療を受けている患者
    虚血性心疾患又は拡張型心筋症に基づく慢性心不全
  • 頻脈性心房細動

5. 効能又は効果に関連する注意

  • 〈効能共通〉
    1. 5.1 〈参考〉

      効能又は効果

      錠1.25mg

      錠2.5mg

      錠10mg

      錠20mg

      本態性高血圧症
      (軽症~中等症)

      腎実質性高血圧症

      狭心症

      虚血性心疾患又は拡張型心筋症に基づく慢性心不全

      頻脈性心房細動

      ○:効能あり -:効能なし

  • 〈虚血性心疾患又は拡張型心筋症に基づく慢性心不全〉
    1. 5.2 左室収縮機能障害の原因解明に努めること。可逆的な左室収縮機能障害については、原因除去あるいは他の治療も考慮すること。

6. 用法及び用量

  • 〈本態性高血圧症(軽症~中等症)、腎実質性高血圧症〉

    カルベジロールとして、通常、成人1回10~20mgを1日1回経口投与する。なお、年齢、症状により適宜増減する。

  • 〈狭心症〉

    カルベジロールとして、通常、成人1回20mgを1日1回経口投与する。なお、年齢、症状により適宜増減する。

  • 〈虚血性心疾患又は拡張型心筋症に基づく慢性心不全〉

    カルベジロールとして、通常、成人1回1.25mg、1日2回食後経口投与から開始する。1回1.25mg、1日2回の用量に忍容性がある場合には、1週間以上の間隔で忍容性をみながら段階的に増量し、忍容性がない場合は減量する。用量の増減は必ず段階的に行い、1回投与量は1.25mg、2.5mg、5mg又は10mgのいずれかとし、いずれの用量においても、1日2回食後経口投与とする。通常、維持量として1回2.5~10mgを1日2回食後経口投与する。
    なお、年齢、症状により、開始用量はさらに低用量としてもよい。また、患者の本剤に対する反応性により、維持量は適宜増減する。

  • 〈頻脈性心房細動〉

    カルベジロールとして、通常、成人1回5mgを1日1回経口投与から開始し、効果が不十分な場合には10mgを1日1回、20mgを1日1回へ段階的に増量する。なお、年齢、症状により適宜増減するが、最大投与量は20mgを1日1回までとする。

7. 用法及び用量に関連する注意

  • 〈効能共通〉
    1. 7.1 褐色細胞腫又はパラガングリオーマの患者では、α遮断薬で初期治療を行った後に本剤を投与し、常にα遮断薬を併用すること。,
  • 〈本態性高血圧症(軽症~中等症)、腎実質性高血圧症、狭心症〉
    1. 7.2 頻脈性心房細動を合併する患者に投与する場合には、頻脈性心房細動の用法及び用量は1日1回5mg投与から開始することに留意した上で、各疾患の指標となる血圧や心拍数、症状等に応じ、開始用量を設定すること。
  • 〈本態性高血圧症(軽症~中等症)、腎実質性高血圧症、狭心症、頻脈性心房細動〉
    1. 7.3 慢性心不全を合併する患者では、慢性心不全の用法及び用量に従うこと。
  • 〈虚血性心疾患又は拡張型心筋症に基づく慢性心不全〉
    1. 7.4 本剤を中止する場合には、急に投与を中止せず、原則として段階的に半量ずつ、2.5mg又は1.25mg、1日2回まで1~2週間かけて減量し中止すること。
    2. 7.5 2週間以上休薬した後、投与を再開する場合には、用法及び用量に従って、低用量から開始し、段階的に増量すること。

8. 重要な基本的注意

  • 〈効能共通〉
    1. 8.1 投与が長期にわたる場合は、心機能検査(脈拍、血圧、心電図、X線等)を定期的に行うこと。また、徐脈となったとき及び低血圧を起こした場合には、ショックに至る例も報告されているので、観察を十分に行い本剤を減量又は中止すること。必要に応じアトロピン硫酸塩、ドブタミン塩酸塩、イソプレナリン塩酸塩、アドレナリン等を使用すること。なお、肝機能、腎機能、血液像等に注意すること。,
    2. 8.2 狭心症などの虚血性心疾患を有する患者において、本剤の投与を急に中止した場合、狭心症発作の頻発・悪化、まれに心筋梗塞及び短時間に過度の突然の血圧上昇を起こす可能性があるので、中止を要する場合は原則として1~2週間かけて段階的に減量し、観察を十分に行うこと。虚血性心疾患以外の患者についても同様の注意をすること(特に高齢者)。また、患者に医師の指示なしに服薬を中止しないよう説明すること。,
    3. 8.3 手術前48時間は投与しないことが望ましい。
    4. 8.4 めまい・ふらつきがあらわれることがあるので、本剤投与中の患者(特に投与初期や増量時)には、自動車の運転等危険を伴う機械の作業をしないように注意させること。
  • 〈虚血性心疾患又は拡張型心筋症に基づく慢性心不全〉
    1. 8.5 重症慢性心不全患者に対する本剤の投与は特に慎重な管理を要するので、本剤の投与初期及び増量時は入院下で行うこと。
    2. 8.6 本剤の投与初期及び増量時は、心不全の悪化、浮腫、体重増加、めまい、低血圧、徐脈、血糖値の変動及び腎機能の悪化が起こりやすいので、観察を十分に行い、忍容性を確認すること。
    3. 8.7 心不全や体液貯留の悪化(浮腫、体重増加等)を防ぐため、本剤の投与前に体液貯留の治療を十分に行うこと。心不全や体液貯留の悪化(浮腫、体重増加等)がみられ、利尿薬増量で改善がみられない場合には本剤を減量又は中止すること。低血圧、めまいなどの症状がみられ、アンジオテンシン変換酵素阻害薬や利尿薬の減量により改善しない場合には本剤を減量すること。高度な徐脈を来たした場合には、本剤を減量すること。また、これら症状が安定化するまで本剤を増量しないこと。

9. 特定の背景を有する患者に関する注意

9.1 合併症・既往歴等のある患者

  1. 9.1.1 特発性低血糖症、コントロール不十分な糖尿病、絶食状態、栄養状態が不良の患者

    血糖値に注意すること。低血糖症状を起こしやすく、かつその症状をマスクしやすい。

  2. 9.1.2 糖尿病を合併した慢性心不全患者

    血糖値が変動するおそれがある。

  3. 9.1.3 心不全を合併した頻脈性心房細動患者

    臨床症状に注意し、心機能検査(脈拍、血圧、心電図、X線等)を行う等、観察を十分に行うこと。心不全を悪化させる可能性がある。

  4. 9.1.4 房室ブロック(Ⅰ度)のある患者

    房室伝導時間が延長し、症状が悪化するおそれがある。

  5. 9.1.5 徐脈のある患者(高度の徐脈(著しい洞性徐脈)のある患者を除く)

    症状が悪化するおそれがある。

  6. 9.1.6 末梢循環障害のある患者(レイノー症候群、間欠性跛行症等)

    末梢血管の拡張を抑制し、症状を悪化させるおそれがある。

  7. 9.1.7 過度に血圧の低い患者

    血圧をさらに低下させるおそれがある。

  8. 9.1.8 褐色細胞腫又はパラガングリオーマ患者

    本剤の単独投与により急激に血圧が上昇するおそれがある。,

  9. 9.1.9 甲状腺中毒症患者

    本剤の中止を要する場合は原則として1~2週間かけて段階的に減量し、観察を十分に行うこと。急に投与を中止すると、症状を悪化させることがある。

9.2 腎機能障害患者

  1. 9.2.1 重篤な腎機能障害(血清クレアチニン値6mg/dL以上)のある患者

    血中濃度の上昇傾向が報告されている。特に慢性心不全の患者では腎機能が悪化するおそれがある。

9.3 肝機能障害患者

  1. 9.3.1 重篤な肝機能障害のある患者

    投与量を減量するか投与間隔をあけて使用すること。本剤は主として肝臓で代謝される薬剤であり、肝硬変患者において血中濃度の上昇が報告されている。肝機能が悪化するおそれがある。

9.5 妊婦

*妊婦又は妊娠している可能性のある女性には、治療上の有益性が危険性を上回ると判断される場合にのみ投与すること。投与に際しては、母体及び胎児の状態を十分に観察すること。また、出生後も新生児の状態を十分に観察し、新生児の低血糖、徐脈、哺乳不良等の異常が認められた場合には適切な処置を行うこと。

*妊婦にβ遮断薬を投与した場合に、胎児の発育不全、新生児の低血糖、徐脈、哺乳不良等が認められたとの報告がある。また、ラットにおける妊娠前及び妊娠初期投与試験において、体表面積換算で臨床用量の約150倍(300mg/kg)で黄体数の減少及び骨格異常(13肋骨の短小)の増加が報告されている。

9.6 授乳婦

治療上の有益性及び母乳栄養の有益性を考慮し、授乳の継続又は中止を検討すること。動物実験(ラット)で乳汁中に移行することが報告されている。

9.7 小児等

小児等を対象とした臨床試験は実施していない。

  1. 9.7.1 重症心不全の幼児及び小児の患者

    重篤な低血糖症状があらわれ、死亡に至った例が報告されている。

9.8 高齢者

低用量から投与を開始するなど、患者の状態を観察しながら慎重に投与することが望ましい。肝機能が低下していることが多いため血中濃度が上昇するおそれがあり、また過度な降圧は好ましくないとされている(脳梗塞等が起こるおそれがある)。

  1. 9.8.1 重症慢性心不全患者

    本剤の副作用が生じやすい。

10. 相互作用

  • 本剤は主にCYP2D6、CYP2C9及びCYP3A4で代謝される。

10.2 併用注意(併用に注意すること)

薬剤名等臨床症状・措置方法機序・危険因子

交感神経系に対し抑制的に作用する他の薬剤

  • レセルピン等

交感神経系に対し、過剰の抑制をきたすことがある。
用量を調節する。

相互に交感神経抑制作用を増強すると考えられている。

血糖降下薬

  • インスリン等

血糖降下作用が増強されることがある。

非選択性β遮断薬はカテコールアミンと競合的に拮抗することにより、肝臓での糖新生を抑制すると考えられている。

カルシウム拮抗薬

  • ベラパミル塩酸塩等

心不全や低血圧を引き起こすことがある。

相互に心収縮力・刺激伝導系の抑制作用、血圧低下作用を増強すると考えられている。

ヒドララジン塩酸塩

本剤の作用が増強されるおそれがある。

ヒドララジン塩酸塩により、本剤の肝初回通過効果が減少し、血中濃度が上昇する可能性がある。

クロニジン塩酸塩

クロニジン塩酸塩中止後のリバウンド現象を増強する可能性がある。
クロニジン塩酸塩から本剤へ変更する場合、クロニジン塩酸塩を中止した数日後から本剤を投与する。また、本剤中止後数日間はクロニジン塩酸塩を中止しない。

クロニジン塩酸塩中止により末梢でのノルアドレナリン遊離が増加するが、β遮断薬併用の場合、ノルアドレナリンの作用のうち、α刺激作用が優位になり、急激な血圧上昇を起こすと考えられている。

クラスⅠ抗不整脈薬

  • ジソピラミド、プロカインアミド塩酸塩等

過度の心機能抑制作用があらわれることがある。
用量を調節する。

相互に心機能抑制作用を増強すると考えられている。

アミオダロン塩酸塩

心刺激伝導抑制障害(徐脈、心停止等)があらわれるおそれがある。定期的な心電図モニターを実施する。

アミオダロン塩酸塩により、本剤の肝初回通過効果が減少し、血中濃度が上昇する可能性がある。

シクロスポリン

シクロスポリンの血中濃度が上昇するおそれがある。
用量を調節する。

機序不明

リファンピシン

本剤の作用が減弱されるおそれがある。

リファンピシンにより、薬物代謝酵素P450(主にCYP3A4)が誘導され、本剤の代謝が亢進し、血中濃度が低下すると考えられている。

シメチジン

本剤の作用が増強されるおそれがある。

これらの薬剤により、薬物代謝酵素P450が阻害され、本剤の代謝が抑制される結果、血中濃度が上昇すると考えられている。

選択的セロトニン再取り込み阻害剤

  • パロキセチン塩酸塩等

本剤の作用が増強されるおそれがある。

これらの薬剤により、薬物代謝酵素P450が阻害され、本剤の代謝が抑制される結果、血中濃度が上昇すると考えられている。

ジギタリス製剤

  • ジゴキシン等

心刺激伝導抑制障害(徐脈、房室ブロック等)があらわれるおそれがある。ジギタリスの濃度が上昇し、中毒症状が発現する可能性もある。
用量を調節する。

相互に刺激伝導抑制作用を増強する可能性がある。
また、ジギタリスの生物学的利用率が上昇し、血中濃度が上昇すると考えられている。

利尿降圧剤

  • フロセミド
  • トリクロルメチアジド
  • スピロノラクトン等

降圧作用が増強することがある。
併用する場合は用量に注意する。

相加的に降圧作用を増強させる。

交感神経刺激剤

  • アドレナリン等

(1)相互の薬剤の効果が減弱する。
(2)血圧上昇、徐脈があらわれることがある。

(1)本剤のβ遮断作用により、アドレナリンの作用が抑制される。また、アドレナリンのβ刺激作用により本剤のβ遮断作用が抑制される。
(2)本剤のβ遮断作用により、α刺激作用が優位になると考えられている。

非ステロイド性消炎鎮痛剤

  • インドメタシン
  • ロキソプロフェン
  • アスピリン等

本剤の降圧作用が減弱するおそれがある。

非ステロイド性消炎鎮痛剤は、血管拡張作用を有するプロスタグランジンの合成・遊離を阻害する。

11. 副作用

次の副作用があらわれることがあるので、観察を十分に行い、異常が認められた場合には投与を中止するなど適切な処置を行うこと。

11.1 重大な副作用

  1. 11.1.1 高度な徐脈(頻度不明)、ショック(頻度不明)、完全房室ブロック(頻度不明)、心不全(頻度不明)、心停止(頻度不明)

    重大な循環器系の副作用があらわれることがあるので、これらの症状があらわれた場合には減量又は投与を中止し、適切な処置を行うこと。

  2. 11.1.2 肝機能障害(頻度不明)、黄疸(頻度不明)

    AST、ALT、γ-GTPの上昇等を伴う肝機能障害や黄疸があらわれることがある。

  3. 11.1.3 急性腎障害(頻度不明)
  4. 11.1.4 中毒性表皮壊死融解症(Toxic Epidermal Necrolysis:TEN)(頻度不明)、皮膚粘膜眼症候群(Stevens-Johnson症候群)(頻度不明)
  5. 11.1.5 アナフィラキシー(頻度不明)

11.2 その他の副作用

  • 〈本態性高血圧症(軽症~中等症)、腎実質性高血圧症、狭心症、頻脈性心房細動〉

0.1~5%未満

0.1%未満

頻度不明

過敏症

発疹、そう痒感

循環器

徐脈、顔面潮紅

低血圧、動悸、頻脈、心房細動、期外収縮、脚ブロック、血圧上昇、心胸比増大、四肢冷感、房室ブロック、狭心症

呼吸器

喘息様症状

咳嗽、呼吸困難、息切れ、鼻閉

精神神経系

めまい、眠気、頭痛

失神、不眠、抑うつ、注意力低下、異常感覚(四肢のしびれ感等)、幻覚

消化器

胃部不快感、嘔吐

悪心

便秘、下痢、食欲不振、腹痛

代謝

CK上昇

血糖値上昇、尿酸上昇、総コレステロール上昇、ALP上昇、LDH上昇、低血糖、尿糖、トリグリセリド上昇、カリウム上昇、糖尿病悪化、カリウム低下、ナトリウム低下

肝臓

AST上昇、ALT上昇

腎臓・泌尿器

腎機能障害(BUN上昇、クレアチニン上昇等)、尿失禁、頻尿、蛋白尿

血液

貧血、白血球減少、血小板減少

霧視、涙液分泌減少

その他

倦怠感

浮腫、脱力感、勃起不全、耳鳴、疲労感、胸痛、疼痛、発汗、口渇

  • 〈虚血性心疾患又は拡張型心筋症に基づく慢性心不全〉

5%以上

5%未満

頻度不明

過敏症

発疹、そう痒感

循環器

徐脈、動悸、頻脈、心房細動、期外収縮、房室ブロック、脚ブロック、低血圧、血圧上昇、四肢冷感、顔面潮紅

心胸比増大、狭心症

呼吸器

呼吸困難、息切れ

喘息様症状、咳嗽、鼻閉

精神神経系

めまい

不眠、頭痛

眠気、注意力低下、失神、抑うつ、異常感覚(四肢のしびれ感等)、幻覚

消化器

悪心、胃部不快感、便秘、下痢、食欲不振

腹痛、嘔吐

代謝

血糖値上昇、尿糖、LDH上昇、総コレステロール上昇、CK上昇

糖尿病悪化、ALP上昇、尿酸上昇、カリウム上昇、ナトリウム低下、カリウム低下

低血糖、トリグリセリド上昇

肝臓

AST上昇、ALT上昇

腎臓・泌尿器

腎機能障害(BUN上昇、クレアチニン上昇等)

蛋白尿

尿失禁、頻尿

血液

貧血、血小板減少、白血球減少

霧視、涙液分泌減少

その他

浮腫、倦怠感、疲労感、胸痛

耳鳴、脱力感、勃起不全、疼痛、発汗、口渇

13. 過量投与

  1. 13.1 症状

    重症低血圧、徐脈、心不全、心原性ショック、心停止に至るおそれがある。また、呼吸器障害、気管支痙攣、嘔吐、意識障害、全身の痙攣発作をきたすおそれがある。

  2. 13.2 処置

    本剤を中止し、次のような処置を行う。なお、本剤は血液透析により除去されにくい。

    1. 13.2.1 過度の徐脈

      アトロピン硫酸塩、イソプレナリン塩酸塩等の投与や心臓ペーシングを適用する。

    2. 13.2.2 心不全、低血圧

      強心薬、昇圧薬、輸液等の投与や補助循環を適用する。

    3. 13.2.3 気管支痙攣

      β2刺激薬又はアミノフィリンを静注する。

    4. 13.2.4 痙攣発作

      ジアゼパムを徐々に静注する。

14. 適用上の注意

14.1 薬剤交付時の注意

PTP包装の薬剤はPTPシートから取り出して服用するよう指導すること。PTPシートの誤飲により、硬い鋭角部が食道粘膜へ刺入し、更には穿孔をおこして縦隔洞炎等の重篤な合併症を併発することがある。

16. 薬物動態

16.1 血中濃度

  1. 16.1.1 生物学的同等性試験

    カルベジロール錠2.5mg「アメル」、カルベジロール錠10mg「アメル」及びカルベジロール錠20mg「アメル」と各標準製剤について、下記のとおりクロスオーバー法により健康成人男子に絶食単回経口投与して、錠2.5mgは血漿中(S)-カルベジロール濃度を、錠10mg及び錠20mgは血漿中カルベジロール濃度を測定し、得られた薬物動態パラメータ(AUC、Cmax)について90%信頼区間法にて統計解析を行った結果、log(0.80)~log(1.25)の範囲内であり、両剤の生物学的同等性が確認された1)

    標準製剤

    試験投与量

    カルベジロール錠2.5mg「アメル」

    アーチスト錠2.5mg

    それぞれ1錠(カルベジロールとして2.5mg)

    カルベジロール錠10mg「アメル」

    アーチスト錠10mg

    それぞれ1錠(カルベジロールとして10mg)

    カルベジロール錠20mg「アメル」

    アーチスト錠20mg

    それぞれ1錠(カルベジロールとして20mg)

    薬物動態パラメータ(生物学的同等性)

    判定パラメータ

    参考パラメータ

    AUC(0→12)
    (ng・hr/mL)

    Cmax
    (ng/mL)

    Tmax
    (hr)

    T1/2
    (hr)

    カルベジロール錠2.5mg「アメル」

    4.76±1.66

    1.84±0.72

    0.80±0.51

    4.52±1.52

    アーチスト錠2.5mg

    4.94±2.09

    1.91±0.86

    0.91±0.45

    4.61±1.08

    (Mean±S.D.,n=24)

    血漿中(S)-カルベジロール濃度(生物学的同等性)
    薬物動態パラメータ(生物学的同等性)

    判定パラメータ

    参考パラメータ

    AUC(0→12)
    (ng・hr/mL)

    Cmax
    (ng/mL)

    Tmax
    (hr)

    T1/2
    (hr)

    カルベジロール錠10mg「アメル」

    73.87±32.32

    20.72±6.79

    1.05±0.43

    3.06±1.06

    アーチスト錠10mg

    73.36±32.39

    21.39±8.25

    1.07±0.48

    3.03±0.97

    (Mean±S.D.,n=20)

    血漿中カルベジロール濃度(生物学的同等性)
    薬物動態パラメータ(生物学的同等性)

    判定パラメータ

    参考パラメータ

    AUC(0→12)
    (ng・hr/mL)

    Cmax
    (ng/mL)

    Tmax
    (hr)

    T1/2
    (hr)

    カルベジロール錠20mg「アメル」

    159.72±62.41

    47.24±17.69

    0.89±0.30

    3.02±1.07

    アーチスト錠20mg

    158.85±58.66

    51.96±21.34

    0.93±0.40

    3.09±0.81

    (Mean±S.D.,n=20)

    血漿中カルベジロール濃度(生物学的同等性)

    血漿中濃度並びにAUC、Cmax等のパラメータは、被験者の選択、体液の採取回数・時間等の試験条件によって異なる可能性がある。

16.4 代謝

  1. 16.4.1 薬物の肝酸化型代謝に関与するチトクロームP450分子種

    カルベジロールの代謝に関与するチトクロームP450の主な分子種はCYP2D6及びCYP2C9であり、次いでCYP3A4、CYP1A2、CYP2E1が関与した2)

16.6 特定の背景を有する患者

  1. 16.6.1 腎機能障害患者

    腎実質性高血圧患者9例にカルベジロール5mgを単回及び連続経口投与したとき、血清クレアチニン値が6mg/dL以下の腎機能障害患者では、Cmaxの上昇はみられず、連続投与においても健康成人と同様、蓄積性は認められなかったが、血清クレアチニン値が6mg/dL以上の腎機能障害患者では、健康成人に比べCmaxが上昇する傾向が認められた3)

  2. 16.6.2 透析患者

    透析患者6例にカルベジロール10mgを透析直前に単回経口投与し、投与5時間まで透析を実施したときの血漿中未変化体濃度推移は、健康成人に比してTmaxがやや遅延したが、Cmaxには差がなかった4)

16.8 その他

カルベジロール錠1.25mg「アメル」について、「含量が異なる経口固形製剤の生物学的同等性試験ガイドライン(平成24年2月29日 薬食審査発0229第10号)」に基づき、カルベジロール錠2.5mg「アメル」を標準製剤としたとき、溶出挙動が同等と判断され、生物学的に同等とみなされた5)

18. 薬効薬理

18.1 作用機序

交感神経α及びβ受容体に拮抗作用を示す薬物であるが、主体はβ遮断作用で、降圧作用も主としてこれに基づく(プロプラノロール)。β遮断薬投与により内因性カテコールアミンのα作用が強まり血管収縮が起こることがあるので、これを抑制するためにα遮断作用を付加した薬物である6)

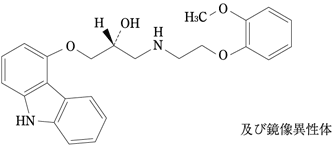
19. 有効成分に関する理化学的知見

一般的名称

カルベジロール(Carvedilol)

化学名

(2RS)-1-(9H-Carbazol-4-yloxy)-3-{[2-(2-methoxyphenoxy)ethyl]amino}propan-2-ol

分子式

C24H26N2O4

分子量

406.47

性状

白色~微黄白色の結晶又は結晶性の粉末である。
酢酸(100)に溶けやすく、メタノールにやや溶けにくく、エタノール(99.5)に溶けにくく、水にほとんど溶けない。
本品のメタノール溶液(1→100)は旋光性を示さない。

化学構造式

融点

114~119℃

22. 包装

  • 〈カルベジロール錠1.25mg「アメル」〉

    100錠[10錠(PTP)×10]

  • 〈カルベジロール錠2.5mg「アメル」〉

    100錠[10錠(PTP)×10]

  • 〈カルベジロール錠10mg「アメル」〉

    100錠[10錠(PTP)×10]

  • 〈カルベジロール錠20mg「アメル」〉

    100錠[10錠(PTP)×10]

24. 文献請求先及び問い合わせ先

共和薬品工業株式会社 お問い合わせ窓口

〒530-0005 大阪市北区中之島3-2-4

 0120-041-189
FAX 06-6121-2858

26. 製造販売業者等

26.1 製造販売元

共和薬品工業株式会社

大阪市北区中之島3-2-4

〒100-0013 東京都千代田区霞が関3-3-2 新霞が関ビル

画面を閉じる

Copyright © Pharmaceuticals and Medical Devices Agency, All Rights reserved.