医療用医薬品 詳細表示

ソマバート皮下注用10mg/ソマバート皮下注用15mg/ソマバート皮下注用20mg

処方せん医薬品

添付文書番号
企業コード
作成又は改訂年月
日本標準商品分類番号
薬効分類名
承認等
一般的名称
2.禁忌(次の患者には投与しないこと)
3.組成・性状
3.1組成
3.2製剤の性状
4.効能又は効果
6.用法及び用量
7.用法及び用量に関連する注意
8.重要な基本的注意
9.特定の背景を有する患者に関する注意
9.5妊婦
9.6授乳婦
9.7小児等
9.8高齢者
10.相互作用
10.2併用注意(併用に注意すること)
11.副作用
11.2その他の副作用
12.臨床検査結果に及ぼす影響
13.過量投与
14.適用上の注意
16.薬物動態
16.1血中濃度
16.2吸収
16.3分布
16.4代謝
16.5排泄
17.臨床成績
17.1有効性及び安全性に関する試験
18.薬効薬理
18.1作用機序
18.2薬理作用
19.有効成分に関する理化学的知見
22.包装
23.主要文献
24.文献請求先及び問い合わせ先
26.製造販売業者等

ソマバート皮下注用10mg/ソマバート皮下注用15mg/ソマバート皮下注用20mg

添付文書番号

2499409D1022_3_03

企業コード

672212

作成又は改訂年月

2021年12月改訂(第1版)

日本標準商品分類番号

872499

薬効分類名

成長ホルモン受容体拮抗剤

承認等

ソマバート皮下注用10mg

販売名コード

YJコード

2499409D1022

販売名英語表記

SOMAVERT for s. c. Injection 10mg

販売名ひらがな

そまばーとひかちゅうよう10mg

承認番号等

承認番号

21900AMY00004

販売開始年月

2007年6月

貯法・有効期間

貯法

2~8℃

有効期間

3年

ソマバート皮下注用15mg

販売名コード

YJコード

2499409D2029

販売名英語表記

SOMAVERT for s. c. Injection 15mg

販売名ひらがな

そまばーとひかちゅうよう15mg

承認番号等

承認番号

21900AMY00005

販売開始年月

2007年6月

貯法・有効期間

貯法

2~8℃

有効期間

3年

ソマバート皮下注用20mg

販売名コード

YJコード

2499409D3025

販売名英語表記

SOMAVERT for s. c. Injection 20mg

販売名ひらがな

そまばーとひかちゅうよう20mg

承認番号等

承認番号

21900AMY00006

販売開始年月

2007年6月

貯法・有効期間

貯法

2~8℃

有効期間

3年

一般的名称

ペグビソマント(遺伝子組換え)

2. 禁忌(次の患者には投与しないこと)

本剤の成分に対し過敏症の既往歴のある患者

3. 組成・性状

3.1 組成

ソマバート皮下注用10mg

有効成分1バイアル中
ペグビソマント(遺伝子組換え)   10mg(タンパク質部分)
添加剤グリシン 1.36mg
D-マンニトール 36.0mg
無水リン酸一水素ナトリウム
リン酸二水素ナトリウム一水和物

ソマバート皮下注用15mg

有効成分1バイアル中
ペグビソマント(遺伝子組換え)   15mg(タンパク質部分)
添加剤グリシン 1.36mg
D-マンニトール 36.0mg
無水リン酸一水素ナトリウム
リン酸二水素ナトリウム一水和物

ソマバート皮下注用20mg

有効成分1バイアル中
ペグビソマント(遺伝子組換え)   20mg(タンパク質部分)
添加剤グリシン 1.36mg
D-マンニトール 36.0mg
無水リン酸一水素ナトリウム
リン酸二水素ナトリウム一水和物

3.2 製剤の性状

ソマバート皮下注用10mg

pH7.1~7.7
浸透圧比(生理食塩液対比)約1
性状白色~微灰白色の塊状をした粉末(凍結乾燥製剤)
無色~微帯緑黄色澄明又はわずかに乳濁(添付溶解液で溶解した注射液)

ソマバート皮下注用15mg

pH7.1~7.7
浸透圧比(生理食塩液対比)約1
性状白色~微灰白色の塊状をした粉末(凍結乾燥製剤)
無色~微帯緑黄色澄明又はわずかに乳濁(添付溶解液で溶解した注射液)

ソマバート皮下注用20mg

pH7.1~7.7
浸透圧比(生理食塩液対比)約1
性状白色~微灰白色の塊状をした粉末(凍結乾燥製剤)
無色~微帯緑黄色澄明又はわずかに乳濁(添付溶解液で溶解した注射液)

4. 効能又は効果

下記疾患におけるIGF-Ⅰ(ソマトメジン-C)分泌過剰状態および諸症状の改善
先端巨大症(外科的処置、他剤による治療で効果が不十分な場合又は施行が困難な場合)

6. 用法及び用量

通常、成人にはペグビソマント(遺伝子組換え)として初日に40mg(タンパク質部分)を1日1回皮下投与する。2日目以降は1日1回10mg(タンパク質部分)を投与する。なお、血清中IGF-Ⅰ値及び症状に応じて、1日量30mg(タンパク質部分)を上限として、5mg(タンパク質部分)ずつ適宜増減する。

7. 用法及び用量に関連する注意

  1. 7.1 本剤の投与にあたっては、4~8週間隔で血清中IGF-Ⅰ値を測定し、その値が性別・年齢別正常値内に収まる範囲で投与量の調整を行うこと。,
  2. 7.2 初期維持用量での投与時、あるいは継続治療中に最低用量まで減量しても、血清中IGF-Ⅰ値が正常範囲の下限を下回った場合には、本剤の休薬あるいは投与中止を考慮すること。
  3. 7.3 本剤を3ヵ月以上投与しても、血清中IGF-Ⅰ値の正常化が認められずかつ血清中IGF-Ⅰ値の低下傾向も認められない場合には、本剤の投与中止を考慮すること。

8. 重要な基本的注意

  1. 8.1 成長ホルモン産生下垂体腫瘍は進展することがあり、これに伴い視野狭窄などの重篤な症状を生じることがあるので、定期的にMRI検査等を行い患者の状態を十分観察すること。腫瘍の進展が認められた場合は、他の治療法への切り替え等適切な処置を行うこと。
  2. 8.2 ALT、ASTが上昇することがあるので、以下の点に注意すること。
    • 本剤投与開始時
      本剤投与開始前には必ず肝機能検査(ALT、AST等)を行うなど臨床検査値及び臨床症状を十分に観察し、投与の開始を検討すること。
    • 本剤投与中
      本剤投与開始後1年間は1ヵ月に1回、以後は定期的に肝機能検査を行うこと。また、本剤投与中に、肝障害を示唆する症状(疲労、悪心、嘔吐、腹痛、黄疸)が発現した場合には、適宜肝機能検査を行い、肝障害が確認された場合には本剤の投与を中止すること。
      患者に対し、本剤使用中に肝障害を示唆する症状があらわれた場合には、本剤の使用を中止し、直ちに連絡するよう指導すること。
  3. 8.3 本剤の投与開始にあたっては、医療施設において、必ず医師によるか、医師の直接の指導、監督のもとで投与を行い、患者自らが確実に投与できることを確認した上で、自己投与を行うようにすること。
  4. 8.4 本剤は成長ホルモン受容体拮抗剤であるため、血清中成長ホルモンが高値を示していても、成長ホルモン分泌不全状態を生じる可能性がある。したがって、血清中IGF-Ⅰ値をもとに本剤の用量調整を行うとともに、成長ホルモン分泌不全状態の臨床徴候及び症状に注意すること。,

9. 特定の背景を有する患者に関する注意

9.5 妊婦

妊婦又は妊娠している可能性のある女性には、治療上の有益性が危険性を上回ると判断される場合にのみ投与すること。ウサギを用いた初期胚発生に関する試験では、ペグビソマント10mg(タンパク質部分)/kg/日投与群で着床後の吸収胚数の増加が認められたが1)、ウサギにおける胚・胎児発生に関する試験においては10mg(タンパク質部分)/kg/日までの投与量で催奇形性を示唆する所見は認められなかった2)

9.6 授乳婦

本剤投与中は治療上の有益性及び母乳栄養の有益性を考慮し、授乳の継続又は中止を検討すること。本剤の乳汁中への移行は不明である。

9.7 小児等

小児等を対象とした臨床試験は実施していない。

9.8 高齢者

一般に高齢者では生理機能が低下している。

10. 相互作用

    10.2 併用注意(併用に注意すること)

    薬剤名等臨床症状・措置方法機序・危険因子

    インスリン製剤
    経口血糖降下剤

    低血糖症状があらわれることがあるので、これらの薬剤の用量を減量するなど注意すること。

    本剤投与により成長ホルモンの作用が抑制されることに伴い、インスリン感受性が高くなるため。

    麻薬

    本剤の血清中IGF-Ⅰ低下作用を減弱させる可能性がある。

    麻薬の血清中成長ホルモン濃度上昇作用による影響の可能性が考えられる3)

    11. 副作用

    次の副作用があらわれることがあるので、観察を十分に行い、異常が認められた場合には投与を中止するなど適切な処置を行うこと。

    11.2 その他の副作用

    3%以上

    1~3%未満

    1%未満

    頻度不明

    過敏症

    アナフィラキシー様反応

    血液

    出血傾向

    白血球増加症、血小板数減少、白血球数減少

    代謝異常

    糖尿病、低血糖症、限局性皮下脂肪貯留、グリコヘモグロビン増加、血中コレステロール増加、血中トリグリセリド増加

    高脂血症、血中ブドウ糖増加、肥満

    精神・神経系

    頭痛

    振戦、浮動性めまい、傾眠、異常な夢、浅眠

    感覚減退、健忘、突発的睡眠、ナルコレプシー、過眠症、リビドー亢進、錯乱状態、怒り、不眠症、無感情、末梢ピリピリ感

    感覚器

    眼痛

    眼精疲労、眼圧迫感、視力低下、眼球運動異常、メニエール病、耳鳴

    循環器

    血圧上昇、高血圧

    ほてり、不整脈

    呼吸器

    低換気

    消化器

    下痢

    悪心、嘔吐、胃不快感、鼓腸、腹部膨満、腹痛、軟便、便秘

    口内乾燥、歯間の増大、歯肉腫脹、流涎過多、消化不良、痔核

    肝臓

    AST増加、ALT増加、トランスアミナーゼ上昇、肝機能検査値異常

    肝酵素上昇、血中アルカリホスファターゼ増加

    皮膚

    瘙痒症、多汗症

    顔面腫脹、丘疹、紅斑、紅斑性皮疹、挫傷発生の増加傾向、寝汗、皮膚乾燥、皮膚乾燥・皮膚過敏、皮膚疼痛

    筋・骨格系

    関節痛

    関節炎、筋痛、頚部痛

    腎臓

    血尿、尿潜血陽性、多尿、蛋白尿、腎機能障害

    全身症状

    疲労

    インフルエンザ様疾患、空腹感、末梢性浮腫、無力症、倦怠感

    異常感、創傷治癒不良、発熱、胸部不快感

    注射部位

    注射部位出血、注射部位反応

    注射部位紅斑、注射部位疼痛

    注射部位腫脹

    その他

    体重増加

    鼻咽頭炎

    挫傷、乳房腫瘤、総蛋白減少

    12. 臨床検査結果に及ぼす影響

    本剤は構造的に成長ホルモンと極めて類似しており、交叉反応が起こるため、通常の測定法による血清中成長ホルモン濃度の測定値が高値を示すことがある。更に、本剤投与中は血清成長ホルモン濃度が上昇することがある。したがって、血清中IGF-Ⅰ値をもとに本剤の用量調整を行うこと。,

    13. 過量投与

    海外において過量投与の症例が1例報告されている。

    1. 13.1 症状

      7日間にわたり本剤80mg(タンパク質部分)/日を投与し、投与中に軽度の無力症と口内乾燥感の程度が悪化した。過量投与の約1週間後に、不眠、疲労の増強、末梢性浮腫、振戦が発現した。

    2. 13.2 処置

      本剤の過量投与が疑われた場合は、本剤の投与を中止し、IGF-Ⅰ値が正常範囲の下限値以上に回復するまでは再投与しないこと。

    14. 適用上の注意

    14.1 薬剤調製時の注意

    1. 14.1.1 調製時

      用時、本剤のバイアルに添付の注射用水を1mL加える。バイアルを両手に挟み、薬剤の粉末が溶けるように両手の中でゆっくりと転がして溶解すること(激しく振とうしないこと)。バイアルのキャップのゴムの部分をアルコール綿で清拭し、バイアル内の薬液(1mL)を全てシリンジに吸い上げること。

    2. 14.1.2 調製後

      溶解後はできるだけ速やかに使用すること。

    14.2 薬剤投与時の注意

    注射部位の有害事象(出血、紅斑、疼痛、腫脹等)が報告されているので、注射部位を上腕、太腿、腹部、臀部等広範囲に求め、順序よく移動し、同一部位に短期間内に繰返し注射しないこと。発赤、湿疹、損傷のある部位は避けること。

    16. 薬物動態

    16.1 血中濃度

    1. 16.1.1 単回投与(健康成人)

      日本人及び外国人の健康成人にペグビソマント1mg(タンパク質部分)/kgを単回皮下投与した場合、血清中薬物動態パラメータ(平均±標準偏差)はそれぞれ、Cmaxが9.01±1.43及び8.98±2.19μg/mL、Tmaxが76及び60時間、AUCが1,910±410及び1,510±550μg・h/mLであり、日本人と外国人で同様の値を示した4),5)(外国人及び日本人データ)。

      図 健康成人(日本人及び外国人)にペグビソマント1mg(タンパク質部分)/kgを単回皮下投与後の血清中ペグビソマント(タンパク質部分)濃度推移
    2. 16.1.2 反復投与(先端巨大症患者)

      先端巨大症患者にペグビソマント10、15又は20mg(タンパク質部分)を1日1回長期投与した後の定常状態における血清中濃度(平均±標準偏差)はそれぞれ9.3±6.3、14.3±7.5及び18.1±10.1μg/mLであり、ほぼ投与量に比例して増加した6)(外国人データ)。また、先端巨大症患者にペグビソマントを長期投与した後の血清中ペグビソマント濃度とIGF-Ⅰ濃度の関係は、ペグビソマント濃度の上昇に伴い、ペグビソマント濃度10μg/mL付近まではIGF-Ⅰ濃度は大きく減少し、この付近を越えると、緩やかに減少した7)(外国人及び日本人データ)。

    16.2 吸収

    健康成人にペグビソマント20mg(タンパク質部分)を単回皮下投与後49時間にCmax(1.39μg/mL)を示し、半減期は約6日(138時間)であった。バイオアベイラビリティは57%であった8)(外国人データ)。

    16.3 分布

    雌雄ラットに[125I]ペグビソマント3mg(タンパク質部分)/kgを単回皮下投与した後の全身オートラジオグラフィーの結果より、ラットでは[125I]ペグビソマントは血液脳関門を通過しにくいと考えられる9)

    16.4 代謝

    ペグビソマントの代謝経路は、そのタンパク質部分及びPEG5000(分子量5000のポリエチレングリコール)の代謝、並びに両分子間のアミド結合の安定性の各観点から推定可能であり、それぞれの代謝について考察した。その結果、PEG5000は代謝を受け難く、またタンパク質部分とポリエチレングリコールの間のアミド結合は安定と考えられることから、ペグビソマントの代謝はそのタンパク質部分の代謝に依存するものと考えられた。ペグビソマントのタンパク質部分の代謝は小さなペプチド及び各アミノ酸への分解であることが予期され、その代謝経路は一般に知られていることから代謝試験は実施しなかった。

    16.5 排泄

    健康成人にペグビソマント20mg(タンパク質部分)を単回皮下投与後の未変化体(タンパク質部分)の尿中排泄率は投与量の1%未満であった8)(外国人データ)。

    17. 臨床成績

    17.1 有効性及び安全性に関する試験

    1. 17.1.1 国内臨床試験(連日投与試験)

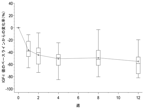
      先端巨大症患者18例を対象とした臨床試験(12週間連日投与)を実施した。被験者は初日40mg(タンパク質部分)、2日目から投与8週後まで10mg(タンパク質部分)を連日投与し、18例中11例は9週目から15mg(タンパク質部分)へ増量した(1日1回投与)。投与後の血清中IGF-Ⅰ値の変化率は、-54.7±24.72%(平均変化率±標準偏差)であり、投与前と比較し有意に減少した(95%信頼区間-67.02、-42.43)。血清中IGF-Ⅰ値の正常化率は、44.4%(8/18)であった。指輪サイズ及び臨床症状スコア(軟部組織の肥大、関節痛、頭痛、発汗亢進、疲労感)の合計値においても改善がみられた。

      図 IGF-Ⅰ値のベースラインからの変化率(%)の推移

      副作用は72.2%(13/18例)に認められた。主な副作用は、血清AST上昇3例、血清ALT上昇3例、腹痛2例、注射部位腫瘤2例、注射部位合併症2例、下痢2例及び気道感染2例であった10)

    2. 17.1.2 国内臨床試験(長期投与試験)

      連日投与試験で本剤を投与された被験者のうち医師により安全性及び有効性が問題ないと判断された被験者16例に対し、1日量30mg(タンパク質部分)を上限とする長期投与試験を行った。投与期間の中央値は433.5日(最小値、最大値:92、502)であった。最終観測時点の血清中IGF-Ⅰ値の変化率は、-66.7±31.19%(平均変化率±標準偏差)であり低下を維持した。血清中IGF-Ⅰ値の正常化率は81.3%(13/16例)であった(投与中止例2例を含む)。指輪サイズ及び臨床症状スコア(軟部組織の肥大、関節痛、頭痛、発汗亢進、疲労感)においても引続き改善がみられた。
      副作用は81.3%(13/16例)に認められた。主な副作用は、注射部位疼痛4例、腹痛3例、頭痛2例、倦怠感2例、高コレステロール血症2例、血清AST増加2例及び眼痛2例であった11)

    3. 17.1.3 海外臨床試験(連日投与二重盲検試験)

      先端巨大症患者112例を対象とした二重盲検比較試験(12週間連日投与)を実施した。有効性評価対象症例111例において、血清中IGF-Ⅰ値、IGFBP-3(インスリン様成長因子結合タンパク-3)値は本剤10、15及び20mg(タンパク質部分)投与群で投与前と比較し用量依存的に有意に減少した。一方プラセボ群では投与前と比較しほとんど変動しなかった。また、血清中IGF-Ⅰ値の正常化率は10mg群54%(14/26例)、15mg群81%(21/26例)、20mg群89%(25/28例)であったのに対し、プラセボ群では10%(3/31例)であった。指輪サイズは15及び20mg群でプラセボ群に比し有意に減少した。臨床症状スコアの検討では、軟部組織の肥大、発汗亢進が15及び20mg群でプラセボ群に比し有意に改善した。疲労感及び臨床症状スコアの合計では10、15及び20mgすべての群でプラセボ群に比し有意に改善した。
      副作用は本剤10、15及び20mg群でそれぞれ46.2%(12/26例)、30.8%(8/26例)及び35.7%(10/28例)に認められた。各群で2例以上認められた副作用は、本剤10mg群で無力症2例、注射部位反応2例、発汗2例及び肝機能検査(値)異常2例、本剤20mg群で注射部位反応3例、嘔気3例及び下痢2例であった3)

    4. 17.1.4 海外長期投与試験

      先端巨大症患者38例を対象とした1日量40mg(タンパク質部分)を上限とする長期投与試験を実施した。平均投与期間は84.7週であった。血清中IGF-Ⅰ値の正常化率は97.4%(38例中37例、40mg(タンパク質部分)で正常化した2例を含む)であり、血清中IGF-Ⅰ値に対する効果は長期投与によって減弱することなく維持された12)
      副作用は47.4%(13/38例)に認められた。主な副作用は、注射部位反応4例であった。

    5. 17.1.5 海外長期投与試験

      先端巨大症患者109例を対象とした1日量40mg(タンパク質部分)を上限とする長期投与試験を実施した。平均投与期間は42.6週であった。血清中IGF-Ⅰ値の正常化率は92.6%(108例中100例、35mg及び40mg(タンパク質部分)で正常化した2例を含む)であり、血清中IGF-Ⅰ値に対する効果は長期投与によって減弱することなく維持された。
      副作用は42.2%(46/109例)に認められた。主な副作用は頭痛5例、注射部位反応4例、肝機能検査値異常4例及び高コレステロール血症3例であった13)

    18. 薬効薬理

    18.1 作用機序

    本剤はin vitroで成長ホルモン(GH)受容体に結合し、GHの結合を阻害することによってGH受容体の二量体化に伴うシグナル伝達を抑制する。本剤のヒト、アカゲザル及びウサギのGH受容体に対する結合能は同程度であるが、イヌ、マウス及びラットの受容体に対する結合能はそれらより弱い14)。本剤のGH受容体に対する結合は選択的であり、プロラクチンを含む他の各種受容体には結合しない15),16)。このGH作用の阻害によって、IGF-Ⅰ並びにGH反応性のタンパクであるIGFBP-3及び酸不安定性サブユニット(ALS)の血清中濃度が低下する。

    18.2 薬理作用

    本剤を皮下投与したアカゲザル、ウサギ及びマウスにおいて血清中IGF-Ⅰ濃度を低下させたが、その作用はマウスでは他の動物種に比して弱かった17),18),19),20),21),22)

    19. 有効成分に関する理化学的知見

    一般的名称

    ペグビソマント(遺伝子組換え)
    Pegvisomant(Genetical Recombination)

    本質

    18-L-アスパラギン酸-21-L-アスパラギン-120-L-リジン-167-L-アスパラギン-168-L-アラニン-171-L-セリン-172-L-アルギニン-174-L-セリン-179-L-トレオニン化ヒト成長ホルモンをコードするcDNAの発現により組換え体で産生される191個のアミノ酸残基からなるヒト成長ホルモン誘導体(C980H1515N259O303S7;分子量:21,997.52)のアミノ酸残基(主たる部位:N-末端フェニルアラニン並びに第38位、第41位、第70位、第115位、第120位、第140位、第145位及び第158位リジン)の9箇所に平均約5分子の直鎖ポリエチレングリコール(平均分子量:約5000)がアミド結合した修飾タンパク質(分子量:約47,000)

    22. 包装

    • 〈ソマバート皮下注用10mg〉

      1バイアル
      (溶解液 日局 注射用水 20mL添付)

    • 〈ソマバート皮下注用15mg〉

      1バイアル
      (溶解液 日局 注射用水 20mL添付)

    • 〈ソマバート皮下注用20mg〉

      1バイアル
      (溶解液 日局 注射用水 20mL添付)

    23. 主要文献

    1) 社内資料:ウサギにおける初期胚発生に関する試験(承認年月日:2007年1月26日、申請資料概要ニ.3.1)[L20061116003]

    2) 社内資料:ウサギにおける胚・胎児発生に関する試験(承認年月日:2007年1月26日、申請資料概要ニ.3.3)[L20061116004]

    3) 社内資料:プラセボ対照、多施設、無作為、二重盲検比較試験(承認年月日:2007年1月26日、申請資料概要ト.3.2.4.1)[L20061116002]

    4) 社内資料:第Ⅰ相単回用量漸増試験(承認年月日:2007年1月26日、申請資料概要ヘ.3.1.2)[L20061116005]

    5) 社内資料:第Ⅰ相臨床試験 -単回投与試験-(承認年月日:2007年1月26日、申請資料概要ヘ.3.1.1)[L20061116006]

    6) 社内資料:ポピュレーションファーマコキネティクス解析(補足)(承認年月日:2007年1月26日、申請資料概要ヘ.3.2.7)[L20061116008]

    7) 社内資料:Population Pharmacokinetic/pharmacodynamic analysis of a growth hormone receptor antagonist,pegvisomant,in Japanese and western acromegaly patients(承認年月日:2007年1月26日、申請資料概要ヘ.3.2.10)[L20061116009]

    8) 社内資料:絶対バイオアベイラビリティ及び薬物動態(承認年月日:2007年1月26日、申請資料概要ヘ.3.1.3)[L20061116007]

    9) 社内資料:放射性標識体投与時の組織内分布及び排泄(承認年月日:2007年1月26日、申請資料概要ヘ.2.2.2)[L20061116010]

    10) 社内資料:多施設共同、非対照、非盲検試験(有効性及び安全性の検討)(承認年月日:2007年1月26日、申請資料概要ト.3.1.2)[L20061116011]

    11) 社内資料:長期投与試験(承認年月日:2007年1月26日、申請資料概要ト.3.1.3)[L20061116012]

    12) 社内資料:オープン・延長試験(承認年月日:2007年1月26日、申請資料概要ト.3.2.4.2)[L20061116014]

    13) 社内資料:オープン試験(承認年月日:2007年1月26日、申請資料概要ト.3.2.4.3)[L20061116015]

    14) 社内資料:肝臓成長ホルモン受容体へのB2036-PEGの結合(承認年月日:2007年1月26日、申請資料概要ホ.1.1.1)[L20061116023]

    15) Goffin,V.et al.:Endocrinology.1999;140(8):3853-3856

    16) 社内資料:Evaluation of binding activity of B2036-PEG(承認年月日:2007年1月26日、申請資料概要ホ.1.1.3)[L20061116024]

    17) 社内資料:サルにおける成長ホルモンアンタゴニストの作用(承認年月日:2007年1月26日、申請資料概要ホ.1.2.1)[L20061116016]

    18) 社内資料:アカゲザルにおける薬物動態及び薬効薬理(承認年月日:2007年1月26日、申請資料概要ホ.1.2.1)[L20061116017]

    19) 社内資料:ウサギにおける皮膚刺激性試験(承認年月日:2007年1月26日、申請資料概要ホ.1.2.2)[L20061116018]

    20) 社内資料:ウサギにおける胚・胎児発生に関する用量設定試験(承認年月日:2007年1月26日、申請資料概要ニ.3.2)[L20061116019]

    21) 社内資料:マウスにおける薬物動態及び薬効薬理(承認年月日:2007年1月26日、申請資料概要ホ.1.2.3)[L20061116020]

    22) 社内資料:A Study of the Pharmacokinetics and Pharmacodynamics of Growth Hormone Antagonists in Mice(承認年月日:2007年1月26日、申請資料概要ホ.1.2.3)[L20061116022]

    24. 文献請求先及び問い合わせ先

    ファイザー株式会社 製品情報センター

    〒151-8589 東京都渋谷区代々木3-22-7

    学術情報ダイヤル 0120-664-467
    FAX 03-3379-3053

    26. 製造販売業者等

    26.1 製造販売元

    ファイザー株式会社

    東京都渋谷区代々木3-22-7

    〒100-0013 東京都千代田区霞が関3-3-2 新霞が関ビル

    画面を閉じる

    Copyright © Pharmaceuticals and Medical Devices Agency, All Rights reserved.