医療用医薬品 詳細表示

ステルイズ水性懸濁筋注60万単位シリンジ/ステルイズ水性懸濁筋注240万単位シリンジ

処方せん医薬品

添付文書番号
企業コード
作成又は改訂年月
日本標準商品分類番号
薬効分類名
承認等
一般的名称
2.禁忌(次の患者には投与しないこと)
3.組成・性状
3.1組成
3.2製剤の性状
4.効能又は効果
6.用法及び用量
7.用法及び用量に関連する注意
8.重要な基本的注意
9.特定の背景を有する患者に関する注意
9.1合併症・既往歴等のある患者
9.2腎機能障害患者
9.5妊婦
9.6授乳婦
9.8高齢者
10.相互作用
10.2併用注意(併用に注意すること)
11.副作用
11.1重大な副作用
11.2その他の副作用
13.過量投与
14.適用上の注意
16.薬物動態
16.1血中濃度
16.3分布
16.5排泄
18.薬効薬理
18.1作用機序
18.2
19.有効成分に関する理化学的知見
22.包装
23.主要文献
24.文献請求先及び問い合わせ先
26.製造販売業者等

ステルイズ水性懸濁筋注60万単位シリンジ/ステルイズ水性懸濁筋注240万単位シリンジ

添付文書番号

6111403G1024_1_02

企業コード

672212

作成又は改訂年月

2021年9月作成(第1版)

日本標準商品分類番号

876111

薬効分類名

持続性ペニシリン製剤

承認等

ステルイズ水性懸濁筋注60万単位シリンジ

販売名コード

YJコード

6111403G1024

販売名英語表記

STELUES suspension liquid for intramuscular injection 600,000 units

販売名ひらがな

すてるいずすいせいけんだくきんちゅう60まんたんいしりんじ

承認番号等

承認番号

30300AMX00438

販売開始年月

2022年1月

貯法・有効期間

貯法

2-8℃

有効期間

3年

ステルイズ水性懸濁筋注240万単位シリンジ

販売名コード

YJコード

6111403G2020

販売名英語表記

STELUES suspension liquid for intramuscular injection 2,400,000 units

販売名ひらがな

すてるいずすいせいけんだくきんちゅう240まんたんいしりんじ

承認番号等

承認番号

30300AMX00439

販売開始年月

2022年1月

貯法・有効期間

貯法

2-8℃

有効期間

3年

一般的名称

ベンジルペニシリンベンザチン水和物

2. 禁忌(次の患者には投与しないこと)

本剤の成分に対し過敏症の既往歴のある患者

3. 組成・性状

3.1 組成

ステルイズ水性懸濁筋注60万単位シリンジ

有効成分(1シリンジ中)ベンジルペニシリンベンザチン水和物(日局)  60万単位
添加剤(1シリンジ中)  レシチン 4.42mg
大豆レシチン 0.88mg
カルメロースナトリウム 5.41mg
パラオキシ安息香酸メチル 1.17mg
ポビドン 5.85mg
パラオキシ安息香酸プロピル 0.13mg
無水クエン酸ナトリウム 6.51mg
注射用水 適量

ステルイズ水性懸濁筋注240万単位シリンジ

有効成分(1シリンジ中)ベンジルペニシリンベンザチン水和物(日局)  240万単位
添加剤(1シリンジ中)  レシチン 17.7mg
大豆レシチン 3.54mg
カルメロースナトリウム 21.64mg
パラオキシ安息香酸メチル 4.68mg
ポビドン 23.4mg
パラオキシ安息香酸プロピル 0.52mg
無水クエン酸ナトリウム 26.04mg
注射用水 適量

3.2 製剤の性状

ステルイズ水性懸濁筋注60万単位シリンジ

pH5.0~7.5
性状本剤は白色の懸濁液である。

ステルイズ水性懸濁筋注240万単位シリンジ

pH5.0~7.5
性状本剤は白色の懸濁液である。

4. 効能又は効果

<適応菌種>
梅毒トレポネーマ
<適応症>
梅毒(神経梅毒を除く)

6. 用法及び用量

  • 成人及び13歳以上の小児:
  • <早期梅毒>

    通常、ベンジルペニシリンとして240万単位を単回、筋肉内に注射する。

  • <後期梅毒>

    通常、ベンジルペニシリンとして1回240万単位を週に1回、計3回、筋肉内に注射する。

  • 2歳以上13歳未満の小児:
  • <早期梅毒>

    通常、ベンジルペニシリンとして240万単位を単回、筋肉内に注射する。なお、年齢、体重により適宜減量することができる。

  • <後期梅毒>

    通常、ベンジルペニシリンとして1回240万単位を週に1回、計3回、筋肉内に注射する。なお、年齢、体重により適宜減量することができる。

  • 2歳未満の小児:
  • <早期先天梅毒、早期梅毒>

    通常、ベンジルペニシリンとして体重1kgあたり5万単位を単回、筋肉内に注射する。

7. 用法及び用量に関連する注意

  1. 7.1 本剤を使用する際には、国内外の各種ガイドライン等、最新の情報を参考にして投与すること。

8. 重要な基本的注意

  1. 8.1 本剤によるショック、アナフィラキシーの発生を確実に予知できる方法がないので、次の措置をとること。,
    • 事前に既往歴等について十分な問診を行うこと。なお、抗生物質等によるアレルギー歴は必ず確認すること。
    • 投与に際しては、必ずショック等に対する救急処置のとれる準備をしておくこと。
    • 投与開始から投与終了後まで、患者を安静の状態に保たせ、十分な観察を行うこと。特に投与開始直後は注意深く観察すること。
  2. 8.2 間質性腎炎、急性腎障害等の重篤な腎障害があらわれることがあるため、本剤を使用する際には適宜腎機能検査を実施する等、患者の状態を十分に観察すること。

9. 特定の背景を有する患者に関する注意

9.1 合併症・既往歴等のある患者

  1. 9.1.1 ペニシリン系又はセフェム系抗生物質に対し過敏症の既往歴のある患者(ただし、本剤に対し過敏症の既往歴のある患者には投与しないこと)

  2. 9.1.2 本人又は両親、兄弟に気管支喘息、発疹、蕁麻疹等のアレルギー症状を起こしやすい体質を有する患者

9.2 腎機能障害患者

本剤の血中濃度が上昇し、副作用が強くあらわれるおそれがある。

9.5 妊婦

妊婦又は妊娠している可能性のある女性には、治療上の有益性が危険性を上回ると判断される場合にのみ投与すること。

9.6 授乳婦

治療上の有益性及び母乳栄養の有益性を考慮し、授乳の継続又は中止を検討すること。ヒト母乳中へ移行することが報告されている。

9.8 高齢者

一般に生理機能が低下しているため、本剤の血中濃度が上昇し、副作用が強くあらわれるおそれがある。

10. 相互作用

    10.2 併用注意(併用に注意すること)

    薬剤名等臨床症状・措置方法機序・危険因子

    抗凝血薬

    ワルファリン等

    出血傾向を増強するおそれがある。

    抗凝血薬の血液凝固抑制作用が増強される可能性がある。

    プロベネシド

    血清中ペニシリン濃度を上昇させ、排泄を遅延させる。

    プロベネシドがペニシリンの腎尿細管分泌を競合的に阻害することによりペニシリンの排泄速度を遅らせる。

    11. 副作用

    次の副作用があらわれることがあるので、観察を十分に行い、異常が認められた場合には投与を中止するなど適切な処置を行うこと。

    11.1 重大な副作用

    1. 11.1.1 ショック、アナフィラキシー(いずれも頻度不明)

    2. 11.1.2 偽膜性大腸炎(頻度不明)

      偽膜性大腸炎、クロストリジウム・ディフィシル性下痢等の血便を伴う重篤な大腸炎があらわれることがある。腹痛、頻回の下痢があらわれた場合には直ちに投与を中止するなど適切な処置を行うこと。

    3. 11.1.3 中毒性表皮壊死融解症(Toxic Epidermal Necrolysis:TEN)、皮膚粘膜眼症候群(Stevens-Johnson症候群)(いずれも頻度不明)
    4. 11.1.4 間質性腎炎、急性腎障害(いずれも頻度不明)
    5. 11.1.5 溶血性貧血(頻度不明)

    11.2 その他の副作用

    頻度不明

    過敏症

    皮疹(斑状丘疹状皮疹、剥脱性皮膚炎)、蕁麻疹、喉頭浮腫、発熱、血清病様反応(悪寒、発熱、浮腫、関節痛、疲はい)、アレルギー性血管炎、そう痒症、疲労、無力症、疼痛

    心血管障害

    低血圧、頻脈、動悸、肺高血圧症、血管拡張、血管迷走神経性反応、失神、チアノーゼ

    呼吸器、胸郭及び縦隔障害

    低酸素症、呼吸困難、無呼吸

    血液及びリンパ系障害

    好酸球増加症、白血球減少症、血小板減少症、リンパ節症

    精神・神経系障害

    神経過敏、振戦、浮動性めまい、傾眠、錯乱、不安、多幸症、横断性脊髄炎、昏睡、ホイグネ症候群(重度の錯乱を伴う激越、幻聴と幻視、死の恐怖)、精神病、痙攣発作、耳鳴、ニューロパチー、頭痛、味覚異常

    眼障害

    霧視、失明

    胃腸障害

    悪心、嘔吐、血便、腸壊死

    腎及び尿路障害

    腎症、神経因性膀胱、血尿、蛋白尿、腎不全

    生殖系及び乳房障害

    インポテンス、持続勃起症

    皮膚及び皮下組織障害

    発汗

    一般・全身障害及び投与部位の状態

    先在疾患の増悪、ニコラウ症候群

    筋骨格系及び結合組織障害

    関節障害、骨膜炎、関節炎増悪、ミオグロビン尿、横紋筋融解症

    投与部位

    疼痛、炎症、腫瘤、膿瘍、壊死、浮腫、出血、蜂巣炎、過敏反応、萎縮、斑状出血、皮膚潰瘍、潰瘍

    神経血管反応

    温感、血管痙攣、蒼白、皮膚変色、壊疽、四肢のしびれ感、末梢神経損傷

    臨床検査

    BUN増加、 クレアチニン増加、血清GOT増加

    その他

    ヤーリッシュ・ヘルクスハイマー反応

    13. 過量投与

    神経筋易刺激性亢進又は痙攣発作を惹起するおそれがある。

    14. 適用上の注意

    14.1 薬剤投与時の注意

    1. 14.1.1 投与前に目視で粒子状物質及び色調の変化がないか確認すること。溶液に粒子状物質や変色があった場合は使用しないこと。
    2. 14.1.2 本剤は深部筋肉内投与のみに使用し、隣接した部位も含め静脈内(他の静注液内に混注する場合も含む)、動脈内及び神経近傍への投与は行わないこと。これらの部位への投与により永続的な神経障害があらわれるおそれがある。また、静脈内投与による心肺停止及び死亡が報告されている。
    3. 14.1.3 本剤は臀部の上外側四分円(背側臀部)内又は中臀筋部の上部に深部筋肉内投与すること。前外側大腿への本剤の繰り返し投与による大腿四頭筋の線維化や萎縮が報告されているため前外側大腿への投与は推奨しない。新生児、幼児又は小児への投与は大腿中央の外側面が望ましい。また、繰り返し投与する場合は注射部位を変更すること。
    4. 14.1.4 本剤は粘性が高いため、240万単位には18ゲージ、60万単位には21ゲージの注射針を用い、針が詰まらないよう、ゆっくりと一定速度で注射すること。
    5. 14.1.5 注射針を刺入したとき、激痛やしびれ等を訴えたり、血液の逆流をみた場合は直ちに針を抜き、部位をかえて注射すること。

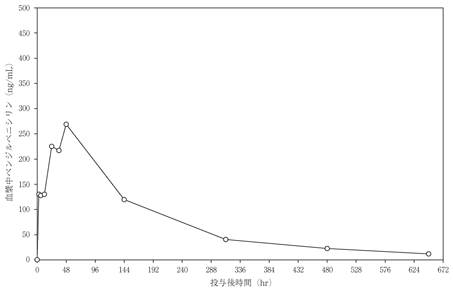
    16. 薬物動態

    16.1 血中濃度

    1. 16.1.1 単回投与

      日本人健康成人に本剤240万単位を単回筋注したとき、ベンジルペニシリンの最高血漿中濃度到達時間は48時間であり、見かけの半減期は188.8時間であった1)

      投与量

      例数

      Cmax(ng/mL)

      Tmax(hr)a)

      AUCinf(ng・hr/mL)

      t1/2(hr)b)

      240万単位

      6例

      259.0(28)

      48.00(3.00-48.00)

      50770(11)

      188.8±50.98

      幾何平均値(変動係数%)
      a) 中央値(範囲)
      b) 算術平均値±標準偏差

      健康成人に本剤240万単位を単回筋注したときの血漿中ベンジルペニシリン濃度(中央値)推移

    16.3 分布

    健康成人に本剤240万単位を単回筋注したときの見かけの分布容積(変動係数)は7110L(30%)であった1)。ベンジルペニシリンは広範に組織に分布する。ベンジルペニシリンのタンパク結合率は約60%であった。

    16.5 排泄

    筋注後、ベンジルペニシリンは主に腎臓によって排泄される。,

    18. 薬効薬理

    18.1 作用機序

    細菌のペニシリン結合タンパクの活性部位に共有結合し、細菌の細胞壁の主成分を阻害することにより細胞分裂時の細菌の細胞壁を脆弱化し、細胞内外の浸透圧差から溶菌が起こる。

    18.2 In vitro抗菌作用

    ベンジルペニシリンの梅毒トレポネーマ(Nichols株)に対する最小発育阻止濃度は0.0005μg/mLとの報告がある2)

    19. 有効成分に関する理化学的知見

    一般的名称

    ベンジルペニシリンベンザチン水和物(Benzylpenicillin Benzathine Hydrate)

    化学名

    (2S,5R,6R)-3,3-Dimethyl-7-oxo-6-[(phenylacetyl)amino]-4-thia-1-azabicyclo[3.2.0]heptane-2-carboxylic acid hemi(N,N’-dibenzylethane-1,2-diamine) dihydrate

    分子式

    (C16H18N2O4S)2・C16H20N2・4H2O

    分子量

    981.18

    性状

    白色の結晶性粉末

    化学構造式

    22. 包装

    60万単位 [1シリンジ]
    240万単位[1シリンジ]

    24. 文献請求先及び問い合わせ先

    ファイザー株式会社
    Pfizer Connect/メディカル・インフォメーション

    〒151-8589 東京都渋谷区代々木3-22-7

    TEL 0120-664-467

    26. 製造販売業者等

    26.1 製造販売元

    ファイザー株式会社

    東京都渋谷区代々木3-22-7

    〒100-0013 東京都千代田区霞が関3-3-2 新霞が関ビル

    画面を閉じる

    Copyright © Pharmaceuticals and Medical Devices Agency, All Rights reserved.