医療用医薬品 詳細表示

トロビシン筋注用2g

処方せん医薬品

添付文書番号
企業コード
作成又は改訂年月
日本標準商品分類番号
薬効分類名
承認等
一般的名称
2.禁忌(次の患者には投与しないこと)
3.組成・性状
3.1組成
3.2製剤の性状
4.効能又は効果
6.用法及び用量
7.用法及び用量に関連する注意
8.重要な基本的注意
9.特定の背景を有する患者に関する注意
9.1合併症・既往歴等のある患者
9.5妊婦
9.6授乳婦
9.7小児等
9.8高齢者
11.副作用
11.1重大な副作用
11.2その他の副作用
14.適用上の注意
16.薬物動態
16.1血中濃度
16.4代謝
16.5排泄
17.臨床成績
17.1有効性及び安全性に関する試験
18.薬効薬理
18.1作用機序
18.2抗菌作用
19.有効成分に関する理化学的知見
22.包装
23.主要文献
24.文献請求先及び問い合わせ先
26.製造販売業者等

トロビシン筋注用2g

添付文書番号

6124400D1030_3_02

企業コード

672212

作成又は改訂年月

2022年7月改訂(第1版)

日本標準商品分類番号

876129

薬効分類名

抗生物質製剤

承認等

トロビシン筋注用2g

販売名コード

YJコード

6124400D1030

販売名英語表記

Trobicin for Intramuscular Use 2g

販売名ひらがな

とろびしんきんちゅうよう2g

承認番号等

承認番号

22100AMX00001

販売開始年月

1978年9月

貯法・有効期間

貯法

室温保存

有効期間

5年

基準名

日本薬局方

注射用スペクチノマイシン塩酸塩

一般的名称

スペクチノマイシン塩酸塩水和物

2. 禁忌(次の患者には投与しないこと)

本剤の成分に対し過敏症の既往歴のある患者

3. 組成・性状

3.1 組成

トロビシン筋注用2g

粉末バイアル
1バイアル中
有効成分
  日局 スペクチノマイシン塩酸塩水和物
2g(力価)
添付懸濁用液
1アンプル中
(容量)
添加剤
  
(3.2mL)
ベンジルアルコール 28.8mg

なお、本品を懸濁するとき、その1mL中にはスペクチノマイシン塩酸塩水和物400mg(力価)を含有する。

3.2 製剤の性状

トロビシン筋注用2g

色・性状白色~淡黄白色の結晶性粉末(粉末バイアル)
剤形用時懸濁して用いる注射剤
pH4.0~7.0(添付懸濁用液調製時)
浸透圧比
(生理食塩液対比)
約5(添付懸濁用液調製時)

4. 効能又は効果

  • 〈適応菌種〉

    スペクチノマイシンに感性の淋菌

  • 〈適応症〉

    淋菌感染症

6. 用法及び用量

  • 〈筋注〉

    スペクチノマイシンとして、通常成人は2g(力価)を1回臀部筋肉内に注射する。また、2g(力価)1回投与にて効果の不十分なときは、4g(力価)を1回追加投与する。4g(力価)投与は左右の臀筋の2箇所に分けてもよい。
    なお、年齢、症状により適宜増減する。

7. 用法及び用量に関連する注意

本剤は1回投与後3~5日間は経過を観察し、効果判定をすること。なお、追加投与の必要のある場合は、用法及び用量に準ずること。

8. 重要な基本的注意

  1. 8.1 本剤によるショック、アナフィラキシーの発生を確実に予知できる方法がないので、次の措置をとること。
    1. 8.1.1 事前に既往歴等について十分な問診を行うこと。なお、抗生物質等によるアレルギー歴は必ず確認すること。
    2. 8.1.2 投与に際しては、必ずショック等に対する救急処置のとれる準備をしておくこと。
    3. 8.1.3 投与開始から投与終了後まで、患者を安静の状態に保たせ、十分な観察を行うこと。特に、投与開始直後は注意深く観察すること。
  2. 8.2 潜伏状態の梅毒の兆候を遮蔽したり遅延させる可能性があるため、淋疾の治療の際には梅毒の血清学的検査を行うこと。
  3. 8.3 本剤投与後、ときに淋疾後尿道炎(postgonococcal urethritis)があらわれることがあるので、適切な治療を行うこと。
  4. 8.4 本剤の使用にあたっては、耐性菌の発現等を防ぐため、原則として感受性を確認し、疾病の治療上必要な最小限の期間の投与にとどめること。

9. 特定の背景を有する患者に関する注意

9.1 合併症・既往歴等のある患者

  1. 9.1.1 アトピー性体質の患者

    重症の即時型アレルギー反応があらわれるおそれがある。

9.5 妊婦

妊婦又は妊娠している可能性のある女性には投与しないこと。

9.6 授乳婦

治療上の有益性及び母乳栄養の有益性を考慮し、授乳の継続又は中止を検討すること。動物実験(ウシ、ヒツジ)で乳汁中に移行することが認められている。

9.7 小児等

  1. 9.7.1 特に必要とする場合には慎重に投与すること。小児等を対象とした臨床試験は実施していない。
  2. 9.7.2 低出生体重児、新生児に使用する場合には十分注意すること。外国において、ベンジルアルコールの静脈内大量投与(99~234mg/kg)により、中毒症状(あえぎ呼吸、アシドーシス、痙攣等)が低出生体重児に発現したとの報告がある。本剤は添加剤としてベンジルアルコールを含有している。

9.8 高齢者

生理機能が低下していることが多く、副作用があらわれやすい。

11. 副作用

次の副作用があらわれることがあるので、観察を十分に行い、異常が認められた場合には投与を中止するなど適切な処置を行うこと。

11.1 重大な副作用

  1. 11.1.1 ショック(0.04%)

    不快感、口内異常感、喘鳴、眩暈、便意、耳鳴等のアナフィラキシーを伴うことがあるので、観察を十分に行い、異常が認められた場合には血圧の維持、体液の補充管理、気道の確保等の適切な処置を行うこと。

11.2 その他の副作用

0.1~5%未満

0.1%未満

頻度不明

注射部位

疼痛の持続

発赤、硬結

過敏症

皮疹

蕁麻疹

神経系

頭重感、しびれ感

めまい、不眠

消化器

悪心・嘔吐、胃痛、下腹部痛、下腹部膨満感

腎臓

乏尿、BUNの上昇、クレアチニン・クリアランスの低下

その他

倦怠感

悪寒、発熱、ALT上昇、Al-P上昇、ヘマトクリット値減少、ヘモグロビン減少

注)使用成績調査を含む

14. 適用上の注意

14.1 薬剤調製時の注意

  1. 14.1.1 懸濁直後及び注射筒に吸引時、強く振盪すること。
  2. 14.1.2 調製した懸濁液は24時間以内に使用すること。

14.2 薬剤投与時の注意

  1. 14.2.1 20ゲージの針を使用することが望ましい。
  2. 14.2.2 同一部位への反復投与は行わないこと。
  3. 14.2.3 神経走行部位を避けること。
  4. 14.2.4 注射針を刺入したとき、激痛を訴えたり血液の逆流をみた場合は直ちに針を抜き、部位を変えて注射すること。
  5. 14.2.5 注射部位に壊死をみることがある。

16. 薬物動態

16.1 血中濃度

健康成人にスペクチノマイシン2g(力価)筋注後の血中濃度は、投与後30分で平均77.8μg/mLを示し、1時間でピークとなり91.4μg/mL、2時間で71.8μg/mL、4時間で45.9μg/mL、6時間でもなお20.1μg/mLの高い濃度を示す(5名平均)1)

16.4 代謝

人尿で生体内代謝産物を薄層クロマトグラフィーにより検討した結果、生体内で代謝されることなく排泄される1)

16.5 排泄

健康成人にスペクチノマイシン2g(力価)筋注後の尿中濃度は、投与後30分で1,455.6μg/mLを示し、1時間でピークとなり7,086μg/mL、2時間で5,434μg/mL、4時間で2,748μg/mL、6時間でもなお1,222μg/mLと非常に高い尿中濃度を示す。6時間までの尿中回収率は平均45.5%である(5名平均)1)

17. 臨床成績

17.1 有効性及び安全性に関する試験

  1. 17.1.1 国内臨床試験

    国内10施設、調査症例200例についての臨床試験の結果、淋菌による淋疾に対する有効率は93.0%(186/200例)であった。副作用は、注射部位の疼痛あるいは局所痛が19.0%(38/200例)に認められた。その他には特に副作用と認められる報告や臨床検査値異常が認められた症例はなかった2)

18. 薬効薬理

18.1 作用機序

細菌細胞内のリボゾーム30S Subunitに作用し蛋白合成を阻害する3)

18.2 抗菌作用

  1. 18.2.1 臨床分離淋菌に対する感受性は、ベンジルペニシリンでは0.011~6.25μg/mLの幅広い範囲に分布を示し、耐性菌も認められたが、スペクチノマイシンでは3.13~12.5μg/mLで、約60%は6.25μg/mLの感受性を有し、一峰性の感受性分布を示す4)
  2. 18.2.2 本剤とベンジルペニシリンとの間には感受性相関は認められず、ベンジルペニシリン感性株、耐性株のいずれに対しても良好な感受性を示す4)
  3. 18.2.3 淋菌の増殖曲線に及ぼす影響について、12.5、25、50μg/mLにおいて濁度法及び生菌数測定の両面より、静菌作用と殺菌作用の検討を行った。濁度法においては静菌的な変化を示したが、生菌数測定においては著明な殺菌作用を示した。6.25μg/mLでも添加後4時間目より殺菌作用があらわれ、24時間以内に生菌数は約2×107cells/mLから101cells/mL以下となった4)

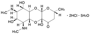
19. 有効成分に関する理化学的知見

一般的名称

スペクチノマイシン塩酸塩水和物
(Spectinomycin Hydrochloride Hydrate)

化学名

(2R,4aR,5aR,6S,7S,8R,9S,9aR,10aS)-4a,7,9-Trihydroxy-2-methyl-6,8-bis(methylamino)-2,3,4a,5a,6,7,8,9,9a,10a-decahydro-4H-pyrano[2,3-b][1,4]benzodioxin-4-one dihydrochloride pentahydrate

分子式

C14H24N2O7・2HCl・5H2O

分子量

495.35

性状

本品は白色~淡黄白色の結晶性の粉末である。水に溶けやすく、エタノール(95)にほとんど溶けない。

化学構造式

略号

SPCM

22. 包装

2g(力価)×5バイアル(懸濁用液添付)

24. 文献請求先及び問い合わせ先

ファイザー株式会社 製品情報センター

〒151-8589 東京都渋谷区代々木3-22-7

学術情報ダイヤル 0120-664-467
FAX  03-3379-3053

26. 製造販売業者等

26.1 製造販売元

ファイザー株式会社

東京都渋谷区代々木3-22-7

〒100-0013 東京都千代田区霞が関3-3-2 新霞が関ビル

画面を閉じる

Copyright © Pharmaceuticals and Medical Devices Agency, All Rights reserved.