医療用医薬品 詳細表示

スルペラゾン静注用0.5g/スルペラゾン静注用1g

処方せん医薬品

添付文書番号
企業コード
作成又は改訂年月
日本標準商品分類番号
薬効分類名
承認等
一般的名称
2.禁忌(次の患者には投与しないこと)
3.組成・性状
3.1組成
3.2製剤の性状
4.効能又は効果
5.効能又は効果に関連する注意
6.用法及び用量
8.重要な基本的注意
9.特定の背景を有する患者に関する注意
9.1合併症・既往歴等のある患者
9.2腎機能障害患者
9.3肝機能障害患者
9.5妊婦
9.6授乳婦
9.7小児等
9.8高齢者
10.相互作用
10.2併用注意(併用に注意すること)
11.副作用
11.1重大な副作用
11.2その他の副作用
12.臨床検査結果に及ぼす影響
13.過量投与
14.適用上の注意
15.その他の注意
15.2非臨床試験に基づく情報
16.薬物動態
16.1血中濃度
16.3分布
16.4代謝
16.5排泄
17.臨床成績
17.1有効性及び安全性に関する試験
18.薬効薬理
18.1作用機序
18.2抗菌作用
19.有効成分に関する理化学的知見
22.包装
23.主要文献
24.文献請求先及び問い合わせ先
26.製造販売業者等

スルペラゾン静注用0.5g/スルペラゾン静注用1g

添付文書番号

6139500F1024_3_03

企業コード

672212

作成又は改訂年月

**2023年12月改訂(第2版)
2021年10月改訂

日本標準商品分類番号

876139

薬効分類名

β-ラクタマーゼ阻害剤配合抗生物質製剤

承認等

スルペラゾン静注用0.5g

販売名コード

YJコード

6139500F1024

販売名英語表記

Sulperazon for Intravenous Use 0.5g

販売名ひらがな

するぺらぞんじょうちゅうよう0.5g

承認番号等

承認番号

16100EMZ01710

販売開始年月

1986年6月

貯法・有効期間

貯法

室温保存

有効期間

3年

基準名

日本薬局方

注射用セフォペラゾンナトリウム・スルバクタムナトリウム

スルペラゾン静注用1g

販売名コード

YJコード

6139500F2020

販売名英語表記

Sulperazon for Intravenous Use 1g

販売名ひらがな

するぺらぞんじょうちゅうよう1g

承認番号等

承認番号

16100EMZ01711

販売開始年月

1986年6月

貯法・有効期間

貯法

室温保存

有効期間

3年

基準名

日本薬局方

注射用セフォペラゾンナトリウム・スルバクタムナトリウム

一般的名称

セフォペラゾンナトリウム
スルバクタムナトリウム

2. 禁忌(次の患者には投与しないこと)

本剤の成分に対し過敏症の既往歴のある患者

3. 組成・性状

3.1 組成

スルペラゾン静注用0.5g

有効成分1バイアル中
日局 セフォペラゾンナトリウム 0.25g(力価)
日局 スルバクタムナトリウム 0.25g(力価)  
添加剤pH調節剤

スルペラゾン静注用1g

有効成分1バイアル中
日局 セフォペラゾンナトリウム
0.5g(力価)
日局 スルバクタムナトリウム
0.5g(力価)  
添加剤pH調節剤

3.2 製剤の性状

スルペラゾン静注用0.5g

外観白色~帯黄白色の塊又は粉末
溶解性水又は生理食塩液に溶けやすい
pH4.5~6.5(1g(力価)/10mL、蒸留水)

本剤を下記溶解液に溶解したときの浸透圧比は次のとおりである。
日局 注射用水
濃度1g(力価)/10mL
pH5.7
浸透圧比(生理食塩液に対する比)約2
日局 生理食塩液
濃度1g(力価)/10mL
1g(力価)/100mL
pH5.8
浸透圧比(生理食塩液に対する比)約3(/10mL)
約1(/100mL)
日局 ブドウ糖注射液5%
濃度1g(力価)/10mL
1g(力価)/100mL
pH6.0(/10mL)
5.3(/100mL)
浸透圧比(生理食塩液に対する比)約3(/10mL)
約1(/100mL)

スルペラゾン静注用1g

外観白色~帯黄白色の塊又は粉末
溶解性水又は生理食塩液に溶けやすい
pH4.5~6.5(1g(力価)/10mL、蒸留水)

本剤を下記溶解液に溶解したときの浸透圧比は次のとおりである。
日局 注射用水
濃度1g(力価)/10mL
pH5.7
浸透圧比(生理食塩液に対する比)約2
日局 生理食塩液
濃度1g(力価)/10mL
1g(力価)/100mL
pH5.8
浸透圧比(生理食塩液に対する比)約3(/10mL)
約1(/100mL)
日局 ブドウ糖注射液5%
濃度1g(力価)/10mL
1g(力価)/100mL
pH6.0(/10mL)
5.3(/100mL)
浸透圧比(生理食塩液に対する比)約3(/10mL)
約1(/100mL)

4. 効能又は効果

〈適応菌種〉
本剤に感性のブドウ球菌属、大腸菌、シトロバクター属、クレブシエラ属、エンテロバクター属、セラチア属、プロテウス属、プロビデンシア・レットゲリ、モルガネラ・モルガニー、インフルエンザ菌、緑膿菌、アシネトバクター属、バクテロイデス属、プレボテラ属
〈適応症〉
敗血症、感染性心内膜炎、外傷・熱傷及び手術創等の二次感染、咽頭・喉頭炎、扁桃炎、急性気管支炎、肺炎、肺膿瘍、膿胸、慢性呼吸器病変の二次感染、膀胱炎、腎盂腎炎、腹膜炎、腹腔内膿瘍、胆嚢炎、胆管炎、肝膿瘍、バルトリン腺炎、子宮内感染、子宮付属器炎、子宮旁結合織炎

5. 効能又は効果に関連する注意

  • 〈咽頭・喉頭炎、扁桃炎、急性気管支炎〉

    「抗微生物薬適正使用の手引き」1)を参照し、抗菌薬投与の必要性を判断した上で、本剤の投与が適切と判断される場合に投与すること。

6. 用法及び用量

スルバクタムナトリウム・セフォペラゾンナトリウムとして、通常成人には1日1~2g(力価)を2回に分けて静脈内注射する。小児にはスルバクタムナトリウム・セフォペラゾンナトリウムとして、1日40~80mg(力価)/kgを2~4回に分けて静脈内注射する。
難治性又は重症感染症には症状に応じて、成人では1日量4g(力価)まで増量し2回に分けて投与する。小児では1日量160mg(力価)/kgまで増量し2~4回に分割投与する。

  • 〈静脈内注射〉

    日局注射用水、日局生理食塩液又は日局ブドウ糖注射液に溶解し、緩徐に投与する。

  • 〈点滴静脈内注射〉

    補液に溶解して用いる。

8. 重要な基本的注意

  1. 8.1 本剤の使用にあたっては、耐性菌の発現等を防ぐため、β-ラクタマーゼ産生菌、かつセフォペラゾン耐性菌を確認し、疾病の治療上必要な最小限の期間の投与にとどめること。
  2. 8.2 *本剤によるショック、アナフィラキシー、アレルギー反応に伴う急性冠症候群の発生を確実に予知できる方法がないので、次の措置をとること。
    • 事前に既往歴等について十分な問診を行うこと。なお、抗生物質等によるアレルギー歴は必ず確認すること。
    • 投与に際しては、必ずショック等に対する救急処置のとれる準備をしておくこと。
    • 投与開始から投与終了後まで、患者を安静の状態に保たせ、十分な観察を行うこと。特に、投与開始直後は注意深く観察すること。
  3. 8.3 急性腎障害等の重篤な腎障害があらわれることがあるので、定期的に検査を行うなど観察を十分に行うこと。
  4. 8.4 溶血性貧血、汎血球減少症、顆粒球減少(無顆粒球症を含む)、血小板減少等の重篤な血液障害があらわれることがあるので、定期的に検査を行うなど観察を十分に行うこと。
  5. 8.5 劇症肝炎等の重篤な肝炎、AST、ALT、Al-Pの上昇等を伴う肝機能障害、黄疸があらわれることがあるので、定期的に検査を行うなど観察を十分に行うこと。

9. 特定の背景を有する患者に関する注意

9.1 合併症・既往歴等のある患者

    1. 9.1.1 セフェム系抗生物質に対し過敏症の既往歴のある患者(ただし、本剤に対し過敏症の既往歴のある患者には投与しないこと)

      治療上やむを得ないと判断される場合を除き、投与しない。

    2. 9.1.2 ペニシリン系抗生物質に対し過敏症の既往歴のある患者
    3. 9.1.3 本人又は両親、兄弟に気管支喘息、発疹、蕁麻疹等のアレルギー症状を起こしやすい体質を有する患者
    4. 9.1.4 経口摂取の不良な患者又は非経口栄養の患者、全身状態の悪い患者

      観察を十分に行うこと。ビタミンK欠乏による出血傾向があらわれることがある。

9.2 腎機能障害患者

    1. 9.2.1 高度の腎機能障害のある患者

      投与量・投与間隔に注意すること。血中濃度半減期が延長する。

9.3 肝機能障害患者

  1. 9.3.1 高度の肝機能障害のある患者

    投与量・投与間隔に注意すること。血中濃度半減期が延長する。

9.5 妊婦

妊婦又は妊娠している可能性のある女性には、治療上の有益性が危険性を上回ると判断される場合にのみ投与すること。

9.6 授乳婦

治療上の有益性及び母乳栄養の有益性を考慮し、授乳の継続又は中止を検討すること。ヒト母乳中へ移行することが報告されている2)

9.7 小児等

低出生体重児、新生児を対象とした臨床試験は実施していない。

9.8 高齢者

次の点に注意し、用量並びに投与間隔に留意するなど患者の状態を観察しながら慎重に投与すること。

  • 一般的に生理機能が低下していることが多く副作用が発現しやすい。
  • ビタミンK欠乏による出血傾向があらわれることがある。

10. 相互作用

    10.2 併用注意(併用に注意すること)

    薬剤名等臨床症状・措置方法機序・危険因子

    利尿剤(フロセミド等)

    類似化合物(他のセフェム系薬剤)との併用により腎障害増強作用が報告されているので、併用する場合には腎機能に注意すること。

    機序は不明だが、利尿剤による脱水等で尿細管細胞へのセフェム薬の取り込みが亢進し、腎毒性を発揮すると考えられている。

    アルコール

    ジスルフィラム様作用(潮紅、悪心、頻脈、多汗、頭痛等)があらわれることがあるので、投与期間中及び投与後少なくとも1週間はアルコールの摂取を避けること。

    テトラゾールチオメチル基が、肝におけるエタノールの分解を阻害することで、血中アセトアルデヒドの蓄積が生じ、潮紅、悪心、頻脈、多汗、頭痛等があらわれることがある。

    11. 副作用

    次の副作用があらわれることがあるので、観察を十分に行い、異常が認められた場合には投与を中止するなど適切な処置を行うこと3)

    11.1 重大な副作用

    1. 11.1.1 *ショック(頻度不明)、アナフィラキシー(呼吸困難等)(頻度不明)、アレルギー反応に伴う急性冠症候群(頻度不明)

    2. 11.1.2 急性腎障害(頻度不明)

      急性腎障害等の重篤な腎障害があらわれることがある。

    3. 11.1.3 偽膜性大腸炎(頻度不明)

      偽膜性大腸炎等の血便を伴う重篤な大腸炎があらわれることがある。腹痛、頻回の下痢があらわれた場合には直ちに投与を中止するなど適切な処置を行うこと。

    4. 11.1.4 間質性肺炎(頻度不明)、PIE症候群(頻度不明)

      発熱、咳嗽、呼吸困難、胸部X線異常、好酸球増多等を伴う間質性肺炎、PIE症候群等があらわれることがあるので、このような症状があらわれた場合には投与を中止し、副腎皮質ホルモン剤の投与等の適切な処置を行うこと。

    5. 11.1.5 中毒性表皮壊死融解症(Toxic Epidermal Necrolysis:TEN)(頻度不明)、皮膚粘膜眼症候群(Stevens-Johnson症候群)(頻度不明)
    6. 11.1.6 血液障害(頻度不明)

      溶血性貧血、汎血球減少症、顆粒球減少(無顆粒球症を含む)、血小板減少等の重篤な血液障害があらわれることがある。

    7. 11.1.7 劇症肝炎(頻度不明)、肝機能障害(頻度不明)、黄疸(0.1%未満)

      劇症肝炎等の重篤な肝炎、AST、ALT、Al-Pの上昇等を伴う肝機能障害、黄疸があらわれることがある。

    11.2 その他の副作用

    1%以上

    0.1~1%未満

    0.1%未満

    頻度不明

    過敏症

    発疹(斑状丘疹性皮疹等)、そう痒

    蕁麻疹、紅斑

    血液

    赤血球減少、血小板増多、白血球減少、好酸球増多

    貧血

    肝臓

    AST、ALT、Al-Pの上昇

    ビリルビンの上昇

    消化器

    下痢、軟便、悪心・嘔吐

    中枢神経

    痙攣

    菌交代

    口内炎、カンジダ症

    その他

    発熱

    頭痛、血尿

    ビタミンK欠乏症状(低プロトロンビン血症、出血傾向等)、ビタミンB群欠乏症状(舌炎、口内炎、食欲不振、神経炎等)、低血圧、血管炎、注射部静脈炎、注射部痛

    12. 臨床検査結果に及ぼす影響

    1. 12.1 テステープ反応を除くベネディクト試薬、フェーリング試薬による尿糖検査では偽陽性を呈することがあるので注意すること。
    2. 12.2 直接クームス試験陽性を呈することがあるので注意すること。

    13. 過量投与

    1. 13.1 症状

      β-ラクタム系抗生物質製剤の脳脊髄液中濃度が高くなると、痙攣等を含む神経系の副作用を引き起こすことが考えられる。

    2. 13.2 処置

      腎機能障害患者に過量投与された場合は血液透析等を用いて体内から除去すること。

    14. 適用上の注意

    14.1 薬剤調製時の注意

      1. 14.1.1 本剤の使用に当っては、完全に溶解したことを確認し、溶解後は速やかに使用すること。なお、やむを得ず溶液保存を必要とする場合でも、室温保存で6時間以内に、冷蔵庫保存では48時間以内に使用すること。
      2. 14.1.2 点滴静注を行う場合、注射用水を用いると溶液が等張にならないため用いないこと。

    14.2 薬剤投与前の注意

    1. 14.2.1 輸注に際しては、感染に対する配慮をすること(患者の皮膚や器具消毒)。
    2. 14.2.2 寒冷期には体温程度に温めて使用すること。

    14.3 薬剤投与時の注意

      1. 14.3.1 静脈内大量投与により、まれに血管痛、血栓性静脈炎を起こすことがあるので、これを予防するために注射液の調製、注射部位、注射方法等について十分注意し、注射速度をできるだけ遅くすること。また、血管痛があらわれた場合には、注射部位を変更するか、場合によっては投与を中止すること。

    15. その他の注意

    15.2 非臨床試験に基づく情報

    幼若ラットに皮下投与した実験において精巣萎縮、精子形成抑制作用が発現したとの報告がある。

    16. 薬物動態

    16.1 血中濃度

    成人患者5例に1g(力価)また健常成人4名に2g(力価)を1時間かけて点滴静注したときのセフォペラゾン、スルバクタムの平均血中濃度の推移は図1のとおりであり、健常成人5名に2g(力価)を5分間かけて静注したときは図2のとおりであった4),5),6)
    また2g(力価)を1日2回、3日間連続投与したが、ほぼ同じ血中濃度の推移が得られ、蓄積は認められなかった7)

    16.3 分布

    1. 16.3.1 胆汁内濃度:成人患者6例に1g(力価)を静注後、25分から2時間25分までの間に測定した総胆管胆汁内濃度は、スルバクタムは2.5~20.8μg/mL、セフォペラゾンは170.8~2,087.5μg/mLであった8)
    2. 16.3.2 その他:喀痰、腹腔内滲出液、虫垂、前立腺、羊水、臍帯血、子宮組織、骨盤死腔液、髄液等への移行が良好であることが認められている9),10),11),12),13),14)

    16.4 代謝

    本剤中のスルバクタム、セフォペラゾンはいずれもほとんど代謝されることなく、大部分は未変化体として排泄される。

    16.5 排泄

    1. 16.5.1 成人患者5例に1g(力価)を点滴静注した時の平均尿中濃度は、静注後2~3時間でスルバクタム1,704.5μg/mL、セフォペラゾン559.7μg/mLとなり、以後漸減し、投与後12時間までの尿中回収率はスルバクタム72.0%、セフォペラゾン25.3%であった4)
    2. 16.5.2 セフォペラゾンの多くは糞中に、スルバクタムは尿中に排泄される。

    17. 臨床成績

    17.1 有効性及び安全性に関する試験

    1. 17.1.1 国内臨床試験

      一般臨床試験及び比較臨床試験(1,837症例)における臨床効果の概要は下表のとおりである。成人では1日1~2g(力価)投与例が約70%を占め、投与期間は大部分が1~2週間である15)
      また、複雑性尿路感染症、呼吸器感染症、術後感染症に対する比較臨床試験により、本剤の有用性が認められている16),17),18)

      疾患群

      有効例/症例

      有効率(%)

      敗血症・細菌性心内膜炎

      16/30

      53.3

      外傷・手術創等の表在性二次感染

      81/99

      81.8

      呼吸器感染症
      (肺炎、気管支炎、肺化膿症等)

      531/640

      83.0

      尿路感染症
      (腎盂腎炎、膀胱炎等)

      614/843

      72.8

      肝・胆道感染症
      (胆のう炎、肝膿瘍等)

      34/37

      91.9

      腹膜炎
      (含、骨盤腹膜炎、ダグラス窩膿瘍)

      53/58

      91.4

      産婦人科領域感染症
      (子宮付属器炎、子宮内感染等)

      124/130

      95.4

      一般臨床試験で細菌学的検討が行われた1496株の菌消失率は81.8%(1224/1496株)であった。また、菌の薬剤感受性及びβ-ラクタマーゼ活性を測定した797株中セフォペラゾン耐性菌注)は385株で、そのうち本剤による菌消失率は72.2%(278/385株)であった。一方、β-ラクタマーゼ高度産生株に対する菌消失率は74.7%(236/316株)であった15)
      注:耐性菌はセフォペラゾンのMIC≧25μg/mL(セフォペラゾンディスク感受性-、+に相当)とした。ただし、インフルエンザ菌についてはMIC≧3.13μg/mLとした。

    18. 薬効薬理

    18.1 作用機序

    本剤は、スルバクタムがβ-ラクタマーゼのⅠc、Ⅱ、Ⅲ及びⅣ型を強く、Ⅰa及びⅤ型を軽度に不可逆的に不活性化するため、セフォペラゾンがこれらの酵素により加水分解されることを防ぎ、セフォペラゾン耐性菌にも抗菌力を示す19)
    セフォペラゾンは、細菌増殖期の細胞壁合成系のうちペプチドグリカン架橋形成を強く阻害し、殺菌的に作用する20)

    18.2 抗菌作用

    1. 18.2.1 本剤は、ブドウ球菌属等のグラム陽性菌、大腸菌、シトロバクター属、クレブシエラ属、エンテロバクター属、セラチア属、プロテウス属、緑膿菌、インフルエンザ菌、アシネトバクター属等のグラム陰性菌及びバクテロイデス属等の嫌気性菌まで広範囲の抗菌スペクトルを有し、殺菌的に作用する21),22),23)
    2. 18.2.2 β-ラクタマーゼ産生菌を含む複数菌による混合感染の場合にも、スルバクタムのβ-ラクタマーゼ阻害作用によりセフォペラゾンの生体内での安定性を高めて本来の抗菌力を発揮させるので、本剤はセフォペラゾン単独投与時より強い感染防御効果(マウス)が認められている22)

    19. 有効成分に関する理化学的知見

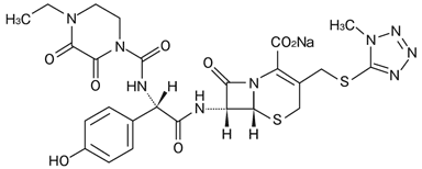
    セフォペラゾンナトリウム

    一般的名称

    セフォペラゾンナトリウム(Cefoperazone Sodium)

    化学名

    Monosodium(6R,7R)-7-{(2R)-2-[(4-ethyl-2,3-dioxopiperazine-1-carbonyl)amino]-2-(4-hydroxyphenyl)acetylamino}-3-(1-methyl-1H-tetrazol-5-ylsulfanylmethyl)-8-oxo-5-thia-1-azabicyclo[4.2.0]oct-2-ene-2-carboxylate

    分子式

    C25H26N9NaO8S2

    分子量

    667.65

    性状

    セフォペラゾンナトリウムは白色~帯黄白色の結晶性の粉末である。水に極めて溶けやすく、メタノールにやや溶けやすく、エタノール(99.5)に溶けにくい。

    化学構造式

    力価

    セフォペラゾンナトリウムの力価は、セフォペラゾン(C25H27N9O8S2)としての量を質量(力価)で示す。

    略号

    CPZ

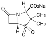
    スルバクタムナトリウム

    一般的名称

    スルバクタムナトリウム(Sulbactam Sodium)

    化学名

    Monosodium(2S,5R)-3,3-dimethyl-7-oxo-4-thia-1-azabicyclo[3.2.0]heptane-2-carboxylate 4,4-dioxide

    分子式

    C8H10NNaO5S

    分子量

    255.22

    性状

    スルバクタムナトリウムは白色~帯黄白色の結晶性の粉末である。水に溶けやすく、メタノールにやや溶けにくく、エタノール(99.5)に極めて溶けにくく、アセトニトリルにほとんど溶けない。

    化学構造式

    力価

    スルバクタムナトリウムの力価は、スルバクタム(C8H11NO5S)としての量を質量(力価)で示す。

    略号

    SBT

    22. 包装

    • 〈スルペラゾン静注用0.5g〉

      10バイアル

    • 〈スルペラゾン静注用1g〉

      10バイアル

    23. 主要文献

    1) 厚生労働省健康局結核感染症課編:抗微生物薬適正使用の手引き

    2) 松田 静治ほか:Jpn J Antibiot. 1985;38(2):223-229

    3) 厚生省薬務局:医薬品研究. 1994;25(3):332-334

    4) 早崎 源基ほか:Chemotherapy(Tokyo). 1984;32(Suppl.4):649-665

    5) 岡田 敬司ほか:Chemotherapy(Tokyo). 1984;32(Suppl.4):483-493

    6) 斎藤 篤ほか:Chemotherapy(Tokyo). 1984;32(Suppl.4):192-201

    7) 熊田 徹平:Chemotherapy(Tokyo). 1984;32(Suppl.4):214-221

    8) 中西 昌美ほか:Chemotherapy(Tokyo). 1984;32(Suppl.4):379-391

    9) 松本 慶蔵ほか:Chemotherapy(Tokyo). 1984;32(Suppl.4):368-375

    10) 露木 建ほか:Chemotherapy(Tokyo). 1984;32(Suppl.4):404-412

    11) 赤沢 信幸ほか:Chemotherapy(Tokyo). 1985;33(6):548-552

    12) 松田 静治ほか:Chemotherapy(Tokyo). 1984;32(Suppl.4):627-632

    13) 張 南薫ほか:産婦人科の世界. 1984;36(8):649-675

    14) 本廣 孝ほか:Jpn J Antibiot. 1984;37(10):1898-1918

    15) Chemotherapy(Tokyo). 1984;32(Suppl.4)SULBACTAM/CEFOPERAZONE論文特集号を中心に集計

    16) 河田 幸道ほか:Chemotherapy(Tokyo). 1984;32(Suppl.4):606-626

    17) 原 耕平ほか:Chemotherapy(Tokyo). 1985;33(2):159-188

    18) 由良 二郎ほか:Jpn J Antibiot. 1985;38(3):643-670

    19) 横田 健ほか:Chemotherapy(Tokyo). 1984;32(Suppl.4):11-19

    20) Matsubara, N. et al.:Antimicrob Agents Chemother. 1980;18(1):195-199

    21) 横田 健ほか:Chemotherapy(Tokyo). 1984;32(Suppl.4):1-10

    22) 五島 瑳智子ほか:Chemotherapy(Tokyo). 1984;32(Suppl.4):38-50

    23) 川崎 賢二ほか:Chemotherapy(Tokyo). 1984;32(Suppl.4):78-96

    24. 文献請求先及び問い合わせ先

    ファイザー株式会社 製品情報センター

    〒151-8589 東京都渋谷区代々木3-22-7

    学術情報ダイヤル 0120-664-467
    FAX 03-3379-3053

    26. 製造販売業者等

    26.1 製造販売元

    ファイザー株式会社

    東京都渋谷区代々木3-22-7

    〒100-0013 東京都千代田区霞が関3-3-2 新霞が関ビル

    画面を閉じる

    Copyright © Pharmaceuticals and Medical Devices Agency, All Rights reserved.